Mucoadhesive Chitosan Delivery System with Chelidonii Herba Lyophilized Extract as a Promising Strategy for Vaginitis Treatment
Abstract
1. Introduction
2. Experimental Section
2.1. Chemicals and Instruments
2.2. Preparation and Analysis of Chelidonii herba Extract
2.2.1. Plant Material
2.2.2. Extract Preparation and Freeze-Drying
2.2.3. Determination of Chelidonine and Sanguinarine Content in Chelidonii herba Lyophilized Extract
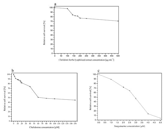
2.2.4. MTT Test
2.2.5. Permeability Studies
2.3. Preformulation Studies of Chitosan Delivery System with Chelidonii herba Lyophilized Extract
2.3.1. System Preparation
2.3.2. Dissolution Studies
2.3.3. Microbiological Activity
2.4. Formulation Studies
2.4.1. Tableting Process
2.4.2. Tablet Characterization
2.4.3. In Vitro Release Studies
2.4.4. Determination of the Ex Vivo Mucoadhesive Properties
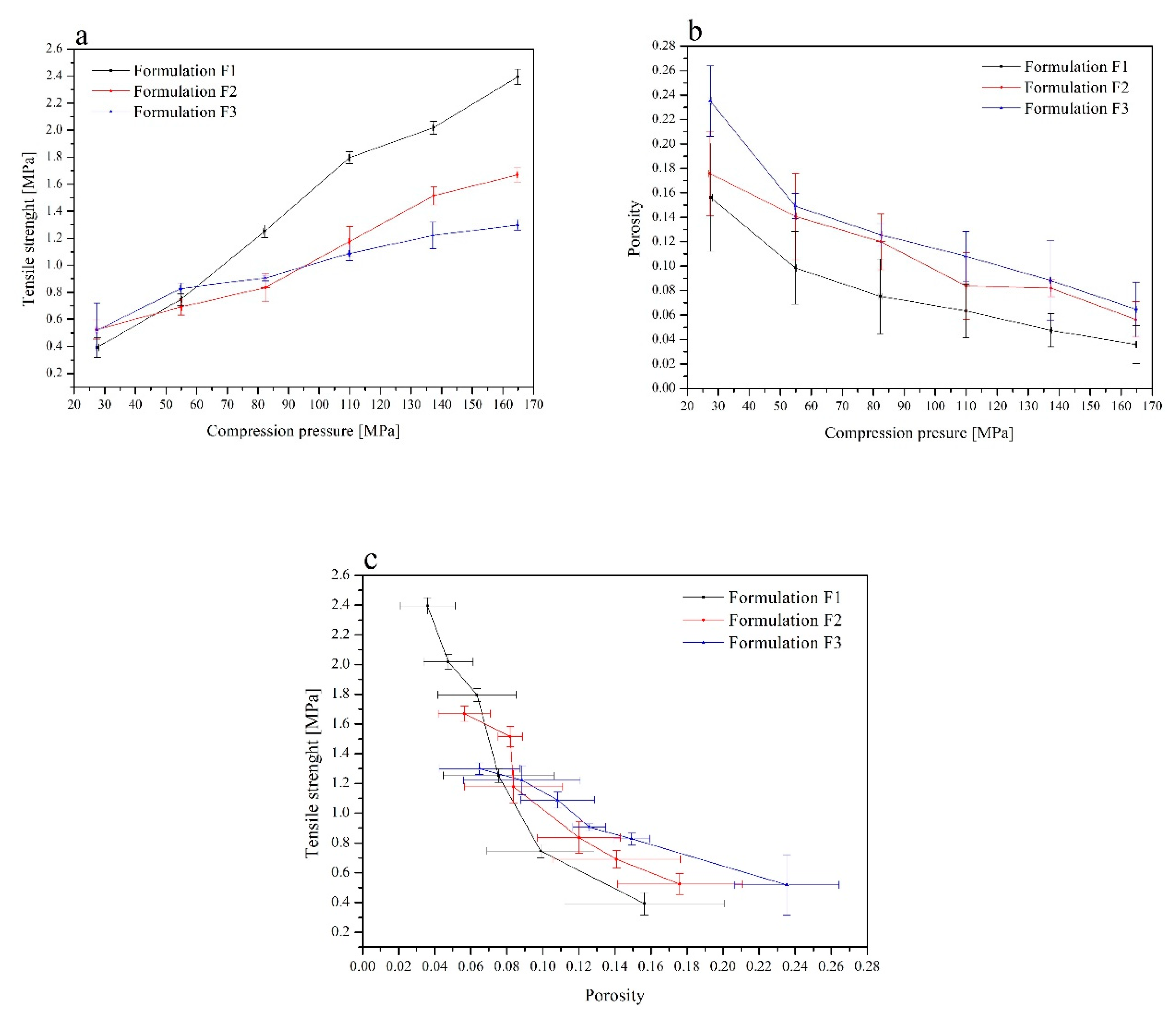
3. Results and Discussion
4. Conclusions
Supplementary Materials
Author Contributions
Funding
Conflicts of Interest
References
- Tempera, G. Vaginal infections: Epidemiology and risk factors. Giornale Italiano di Ostetricia e Ginecologia 2005, 27, 280–283. [Google Scholar]
- Willems, H.M.E.; Ahmed, S.S.; Liu, J.; Xu, Z.; Peters, B.M. Vulvovaginal Candidiasis: A Current Understanding and Burning Questions. J. Fungi 2020, 6, 27. [Google Scholar] [CrossRef] [PubMed]
- Muzny, C.A.; Schwebke, J.R. Vaginal infections. In Women and Health, 2nd ed.; Academic Press: Waltham, MA, USA, 2013; pp. 473–483. [Google Scholar]
- Nyirjesy, P.; Peyton, C.; Weitz, M.V.; Mathew, L.; Culhane, J.F. Causes of chronic vaginitis: Analysis of a prospective database of affected women. Obstet. Gynecol. 2006, 108, 1185–1191. [Google Scholar] [CrossRef] [PubMed]
- Makanjuola, O.; Bongomin, F.; Fayemiwo, S.A. An Update on the Roles of Non-albicans Candida Species in Vulvovaginitis. J. Fungi 2018, 4, 121. [Google Scholar] [CrossRef]
- Neal, C.M.; Kus, L.H.; Eckert, L.O.; Peipert, J.F. Noncandidal vaginitis: A comprehensive approach to diagnosis and management. Am. J. Obstet. Gynecol. 2020, 222, 114–122. [Google Scholar] [CrossRef]
- Allsworth, J.E.; Peipert, J.F. Prevalence of bacterial vaginosis: 2001–2004 National Health and Nutrition Examination Survey data. Obstet. Gynecol. 2007, 109, 114–120. [Google Scholar] [CrossRef]
- Jacob, L.; John, M.; Kalder, M.; Kostev, K. Prevalence of vulvovaginal candidiasis in gynecological practices in Germany: A retrospective study of 954,186 patients. Curr. Med. Mycol. 2018, 4, 6–11. [Google Scholar] [CrossRef]
- Jeanmonod, R.; Jeanmonod, D. Vaginal candidiasis (Vulvovaginal candidiasis). In StatPearls; StatPearls Publishing: Treasure Island, FL, USA, 2019. [Google Scholar]
- European Medicines Agency (EMA). Assessment Report on Chelidonium majus L., Herba; EMA: 2012. Available online: https://www.ema.europa.eu/en/documents/herbal-report/final-assessment-report-chelidonium-majus-l-herba_en.pdf (accessed on 20 April 2020).
- Zielińska, S.; Wójciak-Kosior, M.; Dzągwa-Becker, M.; Gleńsk, M.; Sowa, I.; Fijałkowski, K.; Rurańska-Smutnicka, D.; Matkowski, A.; Junka, A. The Activity of Isoquinoline Alkaloids and Extracts from Chelidonium majus against Pathogenic Bacteria and Candida sp. Toxins 2019, 11, 406. [Google Scholar] [CrossRef]
- Monavari, S.; Shahrabadi, M.; Keyvani, H.; Bokharaei-Salim, F. Evaluation of in vitro antiviral activity of Chelidonium majus L. against herpes simplex virus type-1. Afr. J. Microbiol. Res. 2012, 6, 4360–4364. [Google Scholar]
- Pantano, F.; Mannocchi, G.; Marinelli, E.; Gentili, S.; Graziano, S.; Busardò, F.P.; di Luca, N.M. Hepatotoxicity induced by greater celandine (Chelidonium majus L.): A review of the literature. Eur. Rev. Med. Pharmacol Sci. 2017, 21, 46–52. [Google Scholar]
- World Health Organization. WHO Monographs on Medicinal Plants Commonly Used in the Newly Independent States (NIS); World Health Organization: Geneva, Switzerland, 2010. [Google Scholar]
- Bombardelli, E.; Fontana, G.; Morazzoni, P.; Riva, A.; Ronchi, M. Formulations with Sanguinarine, Chelerythrine e or Chelidonine for the Treatment of Warts, Verrucas and Psoriatic Plaques. U.S. Patent 8226994B2, 24 July 2012. [Google Scholar]
- Bombardelli, E.; Fontana, G.; Giori, A.; Morazzoni, P.; Riva, A.; Ronchi, M. Compositions for the Treatment of Vaginal Infections with Chronic. Inflammation. Patent WO2009129927A1, 29 October 2009. [Google Scholar]
- Hussain, A.; Ahsan, F. The vagina as a route for systemic drug delivery. J. Control. Release 2005, 103, 301–313. [Google Scholar] [CrossRef] [PubMed]
- Acartürk, F. Mucoadhesive vaginal drug delivery systems. Recent Pat. Drug Deliv. Formul. 2009, 3, 193–205. [Google Scholar] [CrossRef] [PubMed]
- Gupta, S.; Gabrani, R.; Ali, J.; Dang, S. Exploring novel approaches to vaginal drug delivery. Recent Pat. Drug Deliv. Formul. 2011, 5, 82–94. [Google Scholar] [CrossRef] [PubMed]
- Vermani, K.; Garg, S. The scope and potential of vaginal drug delivery. Pharm. Sci. Technol. Today 2000, 3, 359–364. [Google Scholar] [CrossRef]
- Vanić, Ž.; Škalko-Basnet, N. Nanopharmaceuticals for improved topical vaginal therapy: Can they deliver? Eur. J. Pharm. Sci. 2013, 50, 29–41. [Google Scholar] [CrossRef]
- Fitaihi, R.A.; Aleanizy, F.S.; Elsamaligy, S.; Mahmoud, H.A.; Bayomi, M.A. Role of chitosan on controlling the characteristics and antifungal activity of bioadhesive fluconazole vaginal tablets. Saudi Pharm. J. 2018, 26, 151–161. [Google Scholar] [CrossRef]
- Tietz, K.; Klein, S. In Vitro Methods for Evaluating Drug Release of Vaginal Ring Formulations—A Critical Review. Pharmaceutics 2019, 11, 538. [Google Scholar] [CrossRef]
- Perioli, L.; Ambrogi, V.; Pagano, C.; Massetti, E.; Rossi, C. New solid mucoadhesive systems for benzydamine vaginal administration. Colloids Surf. B 2011, 84, 413–420. [Google Scholar] [CrossRef]
- Cazorla-Luna, R.; Notario-Pérez, F.; Martín-Illana, A.; Ruiz-Caro, R.; Tamayo, A.; Rubio, J.; Veiga, M.D. Chitosan-Based Mucoadhesive Vaginal Tablets for Controlled Release of the Anti-HIV Drug Tenofovir. Pharmaceutics 2019, 11, 20. [Google Scholar] [CrossRef]
- Leyva-Gómez, G.; Piñón-Segundo, E.; Mendoza-Muñoz, N.; Zambrano-Zaragoza, M.L.; Mendoza-Elvira, S.; Quintanar-Guerrero, D. Approaches in Polymeric Nanoparticles for Vaginal Drug Delivery: A Review of the State of the Art. Int. J. Mol. Sci. 2018, 19, 1549. [Google Scholar] [CrossRef]
- Cheung, R.C.; Ng, T.B.; Wong, J.H.; Chan, W.Y. Chitosan: An Update on Potential Biomedical and Pharmaceutical Applications. Mar. Drugs 2015, 13, 5156–5186. [Google Scholar] [CrossRef] [PubMed]
- Liu, X.F.; Guan, Y.L.; Yang, D.Z.; Li, Z.; Yao, K.D. Antibacterial Action of Chitosan and Carboxymethylated Chitosan. J. Appl. Polym. 2001, 79, 1324–1335. [Google Scholar]
- Muñoz-Bonilla, A.; Echeverria, C.; Sonseca, Á.; Arrieta, M.P.; Fernández-García, M. Bio-Based Polymers with Antimicrobial Properties towards Sustainable Development. Materials 2019, 12, 641. [Google Scholar] [CrossRef] [PubMed]
- Rossi, S.; Vigani, B.; Puccio, A.; Bonferoni, M.C.; Sandri, G.; Ferrari, F. Chitosan Ascorbate Nanoparticles for the Vaginal Delivery of Antibiotic Drugs in Atrophic Vaginitis. Mar. Drugs 2017, 15, 319. [Google Scholar] [CrossRef] [PubMed]
- European Pharmacopoeia (01/2008:1861) Monograph Chelidonii herba; EDQM Council of Europe: Strasbourg, France, 2008.
- Gu, Y.; Qian, D.; Duan, J.-A.; Wang, Z.; Guo, J.; Tang, Y.; Guo, S. Simultaneous determination of seven main alkaloids of Chelidonium majus L. by ultra-performance LC with photodiode-array detection. J. Sep. Sci. 2010, 33, 1004–1009. [Google Scholar]
- ICH. Validation of analytical procedures Q2(R2). In Proceedings of the International Conference of Harmonisation, Geneva, Switzerland, 14 November 2018. [Google Scholar]
- Rubis, B.; Kaczmarek, M.; Szymanowska, N.; Galezowska, E.; Czyrski, A.; Juskowiak, B.; Hermann, T.; Rybczynska, M. The biological activity of G-quadruplex DNA binding papaverine-derived ligand in breast cancer cells. Investig. New Drugs 2009, 27, 289–296. [Google Scholar] [CrossRef]
- Yee, S. In vitro permeability across Caco3 cells (colonic) can predict in vivo (small intestinal) absorption in man—Fact or myth. Pharm. Res. 1997, 14, 763–766. [Google Scholar] [CrossRef]
- Dissolution test for solid dosage forms. In European Pharmacopoeia, 10th ed.; Council of Europe: Strasbourg, France, 2020; Chapter 2.9.3.
- Moore, J.W.; Flanner, H.H. Mathematical Comparison of curves with an emphasis on in vitro dissolution profiles. Pharm. Technol. 1996, 20, 64–74. [Google Scholar]
- Kobus-Cisowska, J.; Szymanowska, D.; Szczepaniak, O.; Kmiecik, D.; Przeor, M.; Gramza-Michałowska, A.; Cielecka-Piontek, J.; Smuga-Kogut, M.; Szulc, P. Composition and in vitro effects of cultivars of Humulus lupulus L. hops on cholinesterase activity and microbial growth. Nutrients 2019, 11, 1377. [Google Scholar] [CrossRef]
- Uniformity of dosage units. In European Pharmacopoeia 9.1; Council of Europe: Strasbourg, France, 2017; Chapter 2.9.40.
- Pitt, K.G.; Heasley, M.G. Determination of the tensile strength of elongated tablets. Powder Technol. 2013, 238, 169–175. [Google Scholar] [CrossRef]
- Costa, P.; Sousa Lobo, J.M. Modeling and comparison of dissolution profiles. Eur. J. Pharm. 2001, 13, 123–133. [Google Scholar] [CrossRef]
- Siepmann, J.; Peppas, N.A. Modeling of drug release from delivery systems based on hydroxypropyl methylcellulose (HPMC). Adv. Drug Deliv. Rev. 2001, 48, 139–157. [Google Scholar] [CrossRef]
- Nakamura, F.; Ohta, R.; Machida, Y.; Nagai, T. In vitro and in vivo nasal mucoadhesion of some water-soluble polymers. Int. J. Pharm. 1996, 134, 173–181. [Google Scholar] [CrossRef]
- Herrmann, R.; Roller, J.; Polednik, C.; Schmidt, M. Effect of chelidonine on growth, invasion, angiogenesis and gene expression in head and neck cancer cell lines. Oncol. Lett. 2018, 16, 3108–3116. [Google Scholar] [CrossRef]
- Kaminskyy, V.; Lin, K.W.; Filyak, Y.; Stoika, R. Differential effect of sanguinarine, chelerythrine e and chelidonine on DNA damage and cell viability in primary mouse spleen cells and mouse leukemic cells. Cell Biol. Int. 2008, 32, 271–277. [Google Scholar] [CrossRef]
- Singh, N.; Sharma, B. Toxicological Effects of Berberine and Sanguinarine. Front. Mol. Biosci. 2018, 5, 21. [Google Scholar] [CrossRef]
- Warowicka, A.; Popenda, Ł.; Bartkowiak, G.; Musidlak, O.; Jagoda, L.C.; Kuźma, D.; Nawrot, R.; Jurga, S.; Goździcka-Józefiak, A. Protoberberine compounds extracted from Chelidonium majus L. as novel natural photosensitizers for cancer therapy. Phytomedicine 2019, 64, 152919. [Google Scholar] [CrossRef]
- Kosina, P.; Walterova, D.; Ulrichova, J.; Lichnovsky, V.; Stiborova, M.; Rydlova, H.; Vicar, J.; Krecman, V.; Brabec, M.J.; Simanek, V. Sanguinarine and chelerythrine e: Assessment of safety on pigs in ninety days feeding experiment. Food Chem. Toxicol. 2004, 42, 85–91. [Google Scholar] [CrossRef]
- Psotova, J.; Vecerra, R.; Zdarilova, A.; Anzenbacherova, E.; Kosina, P.; Svobodova, A.; Hrbac, J.; Jirovsky, D.; Stiborova, M.; Lichnovsky, V.; et al. Safety assessment of sanguiritrin, alkaloid fraction of Macleaya cordata, in rats. Vet. Med. 2006, 51, 145–155. [Google Scholar] [CrossRef]
- Ko, J.; Park, H.; Hwang, S.; Park, J.; Lee, J. Preparation and characterization of chitosan microparticles intended for controlled drug delivery. Int. J. Pharm. 2002, 249, 165–174. [Google Scholar] [CrossRef]
- Shiraishi, S.; Imai, T.; Otagiri, M. Controlled release of indomethacin by chitosan-polyelectrolyte complex: Optimization and in vivo/in vitro evaluation. J. Control. Release 1993, 25, 217–225. [Google Scholar] [CrossRef]
- Cheaib, D.; El Darra, N.; Rajha, H.N.; El-Ghazzawi, I.; Maroun, R.G.; Louka, N. Effect of the Extraction Process on the Biological Activity of Lyophilized Apricot Extracts Recovered from Apricot Pomace. Antioxidants 2018, 7, 11. [Google Scholar] [CrossRef] [PubMed]
- Lister, P.D.; Wolter, D.J.; Hanson, N.D. Antibacterial-resistant Pseudomonas aeruginosa: Clinical impact and complex regulation of chromosomally encoded resistance mechanisms. Clin. Microbiol. Rev. 2009, 22, 582–610. [Google Scholar] [CrossRef]
- Fair, R.J.; Tor, Y. Antibiotics and bacterial resistance in the 21st century. Perspect. Med. Chem. 2014, 6, 25–64. [Google Scholar] [CrossRef] [PubMed]
- Spampinato, C.; Leonardi, D. Candida infections, causes, targets, and resistance mechanisms: Traditional and alternative antifungal agents. Biomed Res. Int. 2013, 2013, 204237. [Google Scholar] [CrossRef] [PubMed]
- Aucamp, M.E. Assessment of the Tableting Properties of Chitosan through Wet Granulation and Direct Compression Formulations. Master's Thesis, North-West University, Potchefstroom Campus, Potchefstroom, South Africa, 2004. [Google Scholar]
- Badwan, A.A.; Rashid, I.; Omari, M.M.; Darras, F.H. Chitin and Chitosan as Direct Compression Excipients in Pharmaceutical Applications. Mar. Drugs 2015, 13, 1519–1547. [Google Scholar] [CrossRef]
- Bhisem, K.S.; Dhumal, R.S.; Chauhan, B.; Paradkar, A.; Kadam, S.S. Effect of oppositely charged polymer and dissolution medium on swelling, erosion, and drug release from chitosan matrices. AAPS PharmSciTech 2007, 8, E110–E118. [Google Scholar] [CrossRef]
- Szymańska, E.; Winnicka, K.; Amelian, A.; Cwalina, U. Vaginal chitosan tablets with clotrimazole- design and evaluation of mucoadhesive properties using porcine vaginal mucosa, mucin and gelatin. Chem. Pharm. Bull. 2014, 62, 160–167. [Google Scholar] [CrossRef]
- Smart, J.D. The basics and underlying mechanisms of mucoadhesion. Adv. Drug Deliv. Rev. 2005, 57, 1556–1568. [Google Scholar] [CrossRef]
- Caramella, C.M.; Rossi, S.; Ferrari, F.; Bonferoni, M.C.; Sandri, G. Mucoadhesive and thermogelling systems for vaginal drug delivery. Adv. Drug Deliv. Rev. 2015, 92, 39–52. [Google Scholar] [CrossRef]
- De Araújo Pereira, R.R.; Bruschi, M.L. Vaginal mucoadhesive drug delivery systems. Drug Dev. Ind. Pharm. 2012, 38, 643–652. [Google Scholar] [CrossRef] [PubMed]







| Placebo 1 (P1) | Formulation 1 (F1) | Placebo 2 (P2) | Formulation 2 (F2) | Placebo 3 (P3) | Formulation 3 (F3) | |
|---|---|---|---|---|---|---|
| Content (mg) of Compounds in One Tablet | ||||||
| Chelidonii herba lyophilized extract + Aerosil 5:1 | - | 120.0 | - | 120.0 | - | 120.0 |
| Chitosan 80/500 | 100.0 | 100.0 | 100.0 | 100.0 | 100.0 | 100.0 |
| HPMC | - | - | 50.0 | 50.0 | 100.0 | 100.0 |
| Microcrystalline cellulose (Avicel 102) | 50.0 | 50.0 | 50.0 | 50.0 | 50.0 | 50.0 |
| Lactose monohydrate | 130.0 | 130.0 | 80.0 | 80.0 | 30.0 | 30.0 |
| Magnesium stearate | 4.0 | 4.0 | 4.0 | 4.0 | 4.0 | 4.0 |
| Sum | 284.0 | 404.0 | 284.0 | 404.0 | 284.0 | 404.0 |
| Microorganism | Chelidonii herba Lyophilized Extract | Lyophilized Extract + Chitosan 80/500 1:1 | Lyophilized Extract + Chitosan 80/500 1:5 | Lyophilized Extract + Chitosan 80/1000 1:1 | Lyophilized Extract + Chitosan 80/1000 1:5 | Chitosan 80/500 | Chitosan 80/1000 |
|---|---|---|---|---|---|---|---|
| MBC (mg/mL) | |||||||
| S. aureus | 8 | 16 | 125 | 64 | 125 | 125 | 250 |
| S. epidermidis | 8 | 16 | 125 | 64 | 125 | 125 | 250 |
| E. faecalis | 32 | 125 | 125 | 32 | 64 | 125 | 250 |
| S. pyogenes | 8 | 32 | 32 | 16 | 125 | 125 | 250 |
| E. coli | 32 | 64 | 64 | 32 | 125 | 62 | 125 |
| P. aeruginosa | 16 | 16 | 125 | 4 ↓ | 62 | 125 | 125 |
| C. albicans | 125 | 64 ↓ | 125 | 8 ↓ | 125 | 250 | 250 |
| Formulation | Mathematical Model | ||||||||
|---|---|---|---|---|---|---|---|---|---|
| Zero-Order Kinetic | First-Order Kinetic | Higuchi Kinetic | Korsmeyer–Peppas Kinetic | ||||||
| K | R2 | K | R2 | K | R2 | K | R2 | n | |
| F2 | 2.2859 | 0.5319 | 2.1004 | 0.2670 | 3.7529 | 0.9800 | 2.3284 | 0.7645 | 0.2291 |
| F3 | 2.2492 | 0.8819 | 0.1419 | 0.4634 | 2.5691 | 0.8623 | 0.9104 | 0.9284 | 0.2465 |
| P1 | F1 | P2 | F2 | P3 | F3 | |
|---|---|---|---|---|---|---|
| Residence time (min) | <5 | <5 | 10 ± 1 | 11 ± 5 | 240 ± 10 | 255 ± 20 |
© 2020 by the authors. Licensee MDPI, Basel, Switzerland. This article is an open access article distributed under the terms and conditions of the Creative Commons Attribution (CC BY) license (http://creativecommons.org/licenses/by/4.0/).
Share and Cite
Paczkowska, M.; Chanaj-Kaczmarek, J.; Romaniuk-Drapała, A.; Rubiś, B.; Szymanowska, D.; Kobus-Cisowska, J.; Szymańska, E.; Winnicka, K.; Cielecka-Piontek, J. Mucoadhesive Chitosan Delivery System with Chelidonii Herba Lyophilized Extract as a Promising Strategy for Vaginitis Treatment. J. Clin. Med. 2020, 9, 1208. https://doi.org/10.3390/jcm9041208
Paczkowska M, Chanaj-Kaczmarek J, Romaniuk-Drapała A, Rubiś B, Szymanowska D, Kobus-Cisowska J, Szymańska E, Winnicka K, Cielecka-Piontek J. Mucoadhesive Chitosan Delivery System with Chelidonii Herba Lyophilized Extract as a Promising Strategy for Vaginitis Treatment. Journal of Clinical Medicine. 2020; 9(4):1208. https://doi.org/10.3390/jcm9041208
Chicago/Turabian StylePaczkowska, Magdalena, Justyna Chanaj-Kaczmarek, Aleksandra Romaniuk-Drapała, Błażej Rubiś, Daria Szymanowska, Joanna Kobus-Cisowska, Emilia Szymańska, Katarzyna Winnicka, and Judyta Cielecka-Piontek. 2020. "Mucoadhesive Chitosan Delivery System with Chelidonii Herba Lyophilized Extract as a Promising Strategy for Vaginitis Treatment" Journal of Clinical Medicine 9, no. 4: 1208. https://doi.org/10.3390/jcm9041208
APA StylePaczkowska, M., Chanaj-Kaczmarek, J., Romaniuk-Drapała, A., Rubiś, B., Szymanowska, D., Kobus-Cisowska, J., Szymańska, E., Winnicka, K., & Cielecka-Piontek, J. (2020). Mucoadhesive Chitosan Delivery System with Chelidonii Herba Lyophilized Extract as a Promising Strategy for Vaginitis Treatment. Journal of Clinical Medicine, 9(4), 1208. https://doi.org/10.3390/jcm9041208

