Age- and Sex-Specific TSH Upper-Limit Reference Intervals in the General French Population: There Is a Need to Adjust Our Actual Practices
Abstract
1. Introduction
2. Experimental Section
3. Results
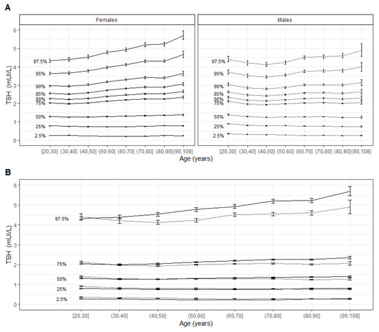
Modeling According to Age Group
4. Discussion
5. Conclusions
Author Contributions
Acknowledgments
Conflicts of Interest
References
- Biondi, B.; Cappola, A.R.; Cooper, D.S. Subclinical Hypothyroidism: A Review. JAMA 2019, 322, 153–160. [Google Scholar] [CrossRef]
 - Surks, M.I.; Hollowell, J.G. Age-specific distribution of serum thyrotropin and antithyroid antibodies in the US population: Implications for the prevalence of subclinical hypothyroidism. J. Clin. Endocrinol. Metab. 2007, 92, 4575–4782. [Google Scholar] [CrossRef]
 - Bremner, A.P.; Feddema, P.; Leedman, P.J.; Brown, S.J.; Beilby, J.P.; Lim, E.M.; Wilson, S.G.; O’Leary, P.C.; Walsh, J.P. Age-related changes in thyroid function: A longitudinal study of a community-based cohort. J. Clin. Endocrinol. Metab. 2012, 97, 1554–1562. [Google Scholar] [CrossRef] [PubMed]
 - Kahapola-Arachchige, K.M.; Hadlow, N.; Wardrop, R.; Lim, E.M.; Walsh, J.P. Age-specific TSH reference ranges have minimal impact on the diagnosis of thyroid dysfunction. Clin. Endocrinol. 2012, 77, 773–779. [Google Scholar] [CrossRef] [PubMed]
 - Vadiveloo, T.; Donnan, P.T.; Murphy, M.J.; Leese, G.P. Age- and gender-specific TSH reference intervals in people with no obvious thyroid disease in Tayside, Scotland: The Thyroid Epidemiology, Audit, and Research Study (TEARS). J. Clin. Endocrinol. Metab. 2013, 98, 1147–1153. [Google Scholar] [CrossRef] [PubMed]
 - Franceschi, C.; Ostan, R.; Mariotti, S.; Monti, D.; Vitale, G. The Aging Thyroid: A Reappraisal Within the Geroscience Integrated Perspective. Endocr. Rev. 2019, 40, 1250–1270. [Google Scholar] [CrossRef] [PubMed]
 - Chaker, L.; Korevaar, T.I.; Medici, M.; Uitterlinden, A.G.; Hofman, A.; Dehghan, A.; Franco, O.H.; Peeters, R.P. Thyroid Function Characteristics and Determinants: The Rotterdam Study. Thyroid 2016, 26, 1195–1204. [Google Scholar] [CrossRef]
 - Hennessey, J.V.; Espaillat, R. Subclinical hypothyroidism: A historical view and shifting prevalence. Int. J. Clin. Pract. 2015, 69, 771–782. [Google Scholar] [CrossRef]
 - Spencer, C.A.; Hollowell, J.G.; Kazarosyan, M.; Braverman, L.E. National Health and Nutrition Examination Survey III thyroid-stimulating hormone (TSH)-thyroperoxidase antibody relationships demonstrate that TSH upper reference limits may be skewed by occult thyroid dysfunction. J. Clin. Endocrinol. Metab. 2007, 92, 4236–4240. [Google Scholar] [CrossRef]
 - Jones, G.R.D.; Haeckel, R.; Loh, T.P.; Sikaris, K.; Streichert, T.; Katayev, A.; Barth, J.H.; Ozarda, Y.; IFCC Committee on Reference Intervals and Decision Limits. Indirect methods for reference interval determination—Review and recommendations. Clin. Chem. Lab. Med. 2018, 57, 20–29. [Google Scholar] [CrossRef]
 - Katayev, A.; Balciza, C.; Seccombe, D.W. Establishing reference intervals for clinical laboratory test results: Is there a better way? Am. J. Clin. Pathol. 2010, 133, 180–186. [Google Scholar] [CrossRef] [PubMed]
 - Takeda, K.; Mishiba, M.; Sugiura, H.; Nakajima, A.; Kohama, M.; Hiramatsu, S. Evaluated reference intervals for serum free thyroxine and thyrotropin using the conventional outliner rejection test without regard to presence of thyroid antibodies and prevalence of thyroid dysfunction in Japanese subjects. Endocr. J. 2009, 56, 1059–1066. [Google Scholar] [CrossRef] [PubMed]
 - Waring, A.C.; Arnold, A.M.; Newman, A.B.; Buzkova, P.; Hirsch, C.; Cappola, A.R. Longitudinal changes in thyroid function in the oldest old and survival: The cardiovascular health study all-stars study. J. Clin. Endocrinol. Metab. 2012, 97, 3944–3950. [Google Scholar] [CrossRef] [PubMed]
 - Hollowell, J.G.; Staehling, N.W.; Flanders, W.D.; Hannon, W.H.; Gunter, E.W.; Spencer, C.A.; Braverman, L.E. Serum TSH, T(4), and thyroid antibodies in the United States population (1988 to 1994): National Health and Nutrition Examination Survey (NHANES III). J. Clin. Endocrinol. Metab. 2002, 87, 489–499. [Google Scholar] [CrossRef]
 - Yoshihara, A.; Noh, J.Y.; Watanabe, N.; Iwaku, K.; Kunii, Y.; Ohye, H.; Suzuki, M.; Matsumoto, M.; Suzuki, N.; Sugino, K.; et al. Seasonal Changes in Serum Thyrotropin Concentrations Observed from Big Data Obtained During Six Consecutive Years from 2010 to 2015 at a Single Hospital in Japan. Thyroid 2018, 28, 429–436. [Google Scholar] [CrossRef]
 - Santos Palacios, S.; Llavero Valero, M.; Brugos-Larumbe, A.; Diez, J.J.; Guillen-Grima, F.; Galofre, J.C. Prevalence of thyroid dysfunction in a Large Southern European Population. Analysis of modulatory factors. The APNA study. Clin. Endocrinol. 2018, 89, 367–375. [Google Scholar] [CrossRef]
 - Zhai, X.; Zhang, L.; Chen, L.; Lian, X.; Liu, C.; Shi, B.; Shi, L.; Tong, N.; Wang, S.; Weng, J.; et al. An Age-Specific Serum Thyrotropin Reference Range for the Diagnosis of Thyroid Diseases in Older Adults: A Cross-Sectional Survey in China. Thyroid 2018. [Google Scholar] [CrossRef]
 - Vila, L.; Donnay, S.; Arena, J.; Arrizabalaga, J.J.; Pineda, J.; Garcia-Fuentes, E.; García-Rey, C.; Marín, J.L.; Serra-Prat, M.; Velasco, I.; et al. Iodine status and thyroid function among Spanish schoolchildren aged 6-7 years: The Tirokid study. Br. J. Nutr. 2016, 115, 1623–1631. [Google Scholar] [CrossRef]
 - IGN. Global Scorecard of Iodine Nutrition in 2019 Based on Median Urinary Iodine Concentration (mUIC) in School-Age Children (SAC); The Iodine Global Network: Zurich, Switzerland, 2019. [Google Scholar]
 - Andersson, M.; Karumbunathan, V.; Zimmermann, M.B. Global iodine status in 2011 and trends over the past decade. J. Nutr. 2012, 142, 744–750. [Google Scholar] [CrossRef]
 - Raverot, V.; Bournaud, C.; Sassolas, G.; Orgiazzi, J.; Claustrat, F.; Gaucherand, P.; Mellier, G.; Claustrat, B.; Borson-Chazot, F.; Zimmermann, M. Pregnant French women living in the Lyon area are iodine deficient and have elevated serum thyroglobulin concentrations. Thyroid 2012, 22, 522–528. [Google Scholar] [CrossRef]
 - Ehrenkranz, J.; Bach, P.R.; Snow, G.L.; Schneider, A.; Lee, J.L.; Ilstrup, S.; Bennett, S.T.; Benvenga, S. Circadian and Circannual Rhythms in Thyroid Hormones: Determining the TSH and Free T4 Reference Intervals Based Upon Time of Day, Age, and Sex. Thyroid 2015, 25, 954–961. [Google Scholar] [CrossRef] [PubMed]
 - Bekkering, G.E.; Agoritsas, T.; Lytvyn, L.; Heen, A.F.; Feller, M.; Moutzouri, E.; Abdulazeem, H.; Aertgeerts, B.; Beecher, D.; Brito, J.P.; et al. Thyroid hormones treatment for subclinical hypothyroidism: A clinical practice guideline. BMJ 2019, 365, l2006. [Google Scholar] [CrossRef] [PubMed]
 - Taylor, P.; Bianco, A.C. Urgent need for further research in subclinical hypothyroidism. Nat. Rev. Endocrinol. 2019, 15, 503–504. [Google Scholar] [CrossRef] [PubMed]
 - Birtwhistle, R.; Morissette, K.; Dickinson, J.A.; Reynolds, D.L.; Avey, M.T.; Domingo, F.R.; Rodin, R.; Thombs, B.D.; Canadian Task Force on Preventive Health Care. Recommendation on screening adults for asymptomatic thyroid dysfunction in primary care. CMAJ 2019, 191, E1274–E1280. [Google Scholar] [CrossRef] [PubMed]
 





| TSH (mUI/L) [95%CI] | |||||||||||
|---|---|---|---|---|---|---|---|---|---|---|---|
| 2.50% | 25% | 50% | 75% | 80% | 85% | 90% | 95% | 97.50% | |||
| Age | n | ||||||||||
| Female | (20,30) | 10,906 | 0.26 (0.26, 0.27) | 0.79 (0.77, 0.80) | 1.30 (1.28, 1.32) | 2.04 (2.01, 2.07) | 2.27 (2.24, 2.30) | 2.56 (2.52, 2.59) | 2.96 (2.91, 3.00) | 3.64 (3.58, 3.71) | 4.32 (4.24, 4.41) | 
| (30,40) | 11,824 | 0.27 (0.26, 0.28) | 0.77 (0.75, 0.78) | 1.26 (1.24, 1.28) | 2.00 (1.97, 2.02) | 2.23 (2.19, 2.26) | 2.52 (2.48, 2.56) | 2.94 (2.89, 2.98) | 3.66 (3.60, 3.73) | 4.39 (4.31, 4.49) | |
| (40,50) | 10,500 | 0.24 (0.23, 0.24) | 0.74 (0.73, 0.75) | 1.26 (1.24, 1.28) | 2.04 (2.01, 2.07) | 2.28 (2.25, 2.32) | 2.59 (2.55, 2.63) | 3.03 (2.98, 3.08) | 3.78 (3.71, 3.85) | 4.53 (4.44, 4.64) | |
| (50,60) | 12,530 | 0.22 (0.21, 0.23) | 0.74 (0.72, 0.75) | 1.29 (1.27, 1.31) | 2.13 (2.10, 2.15) | 2.39 (2.35, 2.42) | 2.72 (2.68, 2.76) | 3.18 (3.13, 3.23) | 3.98 (3.91, 4.05) | 4.78 (4.68, 4.87) | |
| (60,70) | 13,846 | 0.21 (0.20, 0.21) | 0.74 (0.73, 0.75) | 1.32 (1.30, 1.34) | 2.20 (2.17, 2.23) | 2.47 (2.44, 2.50) | 2.82 (2.78, 2.85) | 3.30 (3.25, 3.35) | 4.12 (4.05, 4.19) | 4.93 (4.84, 5.02) | |
| (70,80) | 13,880 | 0.22 (0.21, 0.23) | 0.76 (0.74, 0.77) | 1.34 (1.32, 1.36) | 2.25 (2.22, 2.28) | 2.53 (2.50, 2.57) | 2.90 (2.86, 2.94) | 3.41 (3.36, 3.47) | 4.31 (4.23, 4.38) | 5.20 (5.10, 5.31) | |
| (80,90) | 13,643 | 0.25 (0.25, 0.26) | 0.79 (0.78, 0.81) | 1.36 (1.34, 1.38) | 2.25 (2.22, 2.28) | 2.53 (2.49, 2.56) | 2.89 (2.85, 2.93) | 3.41 (3.36, 3.46) | 4.31 (4.24, 4.39) | 5.23 (5.13, 5.34) | |
| (90,108) | 3409 | 0.25 (0.23, 0.26) | 0.79 (0.76, 0.82) | 1.39 (1.35, 1.43) | 2.34 (2.28, 2.41) | 2.65 (2.58, 2.73) | 3.06 (2.97, 3.16) | 3.64 (3.53, 3.77) | 4.66 (4.49, 4.85) | 5.71 (5.47, 5.95) | |
| Male | (20,30) | 4294 | 0.36 (0.34, 0.37) | 0.90 (0.88, 0.92) | 1.40 (1.37, 1.43) | 2.13 (2.08, 2.17) | 2.35 (2.30, 2.40) | 2.63 (2.58, 2.69) | 3.03 (2.96, 3.11) | 3.72 (3.62, 3.83) | 4.42 (4.28, 4.56) | 
| (30,40) | 5119 | 0.32 (0.31, 0.33) | 0.82 (0.80, 0.83) | 1.29 (1.26, 1.31) | 1.97 (1.94, 2.01) | 2.19 (2.15, 2.23) | 2.46 (2.41, 2.51) | 2.85 (2.79, 2.91) | 3.52 (3.43, 3.61) | 4.21 (4.08, 4.34) | |
| (40,50) | 7551 | 0.30 (0.29, 0.31) | 0.79 (0.77, 0.80) | 1.25 (1.23, 1.27) | 1.93 (1.90, 1.97) | 2.15 (2.11, 2.18) | 2.42 (2.37, 2.46) | 2.80 (2.75, 2.85) | 3.45 (3.38, 3.53) | 4.13 (4.03, 4.23) | |
| (50,60) | 11,282 | 0.29 (0.28, 0.30) | 0.79 (0.78, 0.81) | 1.28 (1.26, 1.30) | 1.99 (1.96, 2.01) | 2.21 (2.18, 2.24) | 2.49 (2.45, 2.52) | 2.88 (2.84, 2.92) | 3.55 (3.49, 3.61) | 4.23 (4.15, 4.32) | |
| (60,70) | 14,258 | 0.26 (0.26, 0.27) | 0.77 (0.76, 0.78) | 1.28 (1.26, 1.29) | 2.04 (2.01, 2.06) | 2.28 (2.25, 2.31) | 2.58 (2.55, 2.62) | 3.01 (2.97, 3.06) | 3.76 (3.70, 3.82) | 4.51 (4.43, 4.60) | |
| (70,80) | 13,210 | 0.27 (0.26, 0.28) | 0.78 (0.77, 0.79) | 1.28 (1.27, 1.30) | 2.05 (2.02, 2.07) | 2.29 (2.26, 2.32) | 2.59 (2.56, 2.63) | 3.03 (2.98, 3.07) | 3.78 (3.72, 3.85) | 4.55 (4.46, 4.64) | |
| (80,90) | 8520 | 0.26 (0.25, 0.27) | 0.75 (0.73, 0.76) | 1.24 (1.22, 1.26) | 2.01 (1.98, 2.04) | 2.25 (2.21, 2.29) | 2.56 (2.52, 2.61) | 3.01 (2.96, 3.07) | 3.80 (3.71, 3.88) | 4.61 (4.49, 4.73) | |
| (90,108) | 1253 | 0.27 (0.24, 0.29) | 0.75 (0.72, 0.79) | 1.26 (1.20, 1.31) | 2.05 (1.96, 2.15) | 2.31 (2.20, 2.42) | 2.64 (2.52, 2.78) | 3.13 (2.97, 3.30) | 3.99 (3.76, 4.25) | 4.89 (4.57, 5.26) | |
| Sex | Age, Years | N | Tsh Above the Conventional Upper-Limit Reference Value (4 mui/l), n (%) | Tsh Above the New Calculated Reference Values, n (%) | Proportion of Reclassified as within the Reference Interval by Using Age-Group Reference Interval Upper Limit, % | |
|---|---|---|---|---|---|---|
| Compared the Number of Subjects with tsh > 4 mui/l | Compared to Total Number of Subjects in the Group | |||||
| Female | 90,538 | 4680 (5.2) | 2611 (2.9) | 44.2 | 2.3 | |
| (20,30) | 10,906 | 399 (3.7) | 294 (2.7) | 26.3 | 1.0 | |
| (30,40) | 11,824 | 465 (3.9) | 343 (2.9) | 26.2 | 1.0 | |
| (40,50) | 10,500 | 459 (4.4) | 301 (2.9) | 34.4 | 1.5 | |
| (50,60) | 12,530 | 617 (4.9) | 376 (3.0) | 39.1 | 1.9 | |
| (60,70) | 13,846 | 749 (5.4) | 371 (2.7) | 50.5 | 2.7 | |
| (70,80) | 13,880 | 856 (6.2) | 422 (3.0) | 50.7 | 3.1 | |
| (80,90) | 13,643 | 866 (6.3) | 410 (3.0) | 52.7 | 3.3 | |
| (90,108) | 3409 | 269 (7.9) | 94 (2.8) | 65.1 | 5.1 | |
| Male | 65,487 | 2589 (4.0) | 1836 (2.8) | 29.1 | 1.1 | |
| (20,30) | 4294 | 168 (3.9) | 121 (2.8) | 28.0 | 1.1 | |
| (30,40) | 5119 | 181 (3.5) | 150 (2.9) | 17.1 | 0.6 | |
| (40,50) | 7551 | 242 (3.2) | 209 (2.8) | 13.6 | 0.4 | |
| (50,60) | 11,282 | 393 (3.5) | 309 (2.7) | 21.4 | 0.7 | |
| (60,70) | 14,258 | 598 (4.2) | 384 (2.7) | 35.8 | 1.5 | |
| (70,80) | 13,210 | 579 (4.4) | 388 (2.9) | 33.0 | 1.4 | |
| (80,90) | 8520 | 367 (4.3) | 237 (2.8) | 35.4 | 1.5 | |
| (90,108) | 1253 | 61 (4.9) | 38 (3.0) | 37.7 | 1.8 | |
| Total population | 156,025 | 7269 (4.7) | 4447 (2.9) | 38.8 | 1.8 | |
© 2020 by the authors. Licensee MDPI, Basel, Switzerland. This article is an open access article distributed under the terms and conditions of the Creative Commons Attribution (CC BY) license (http://creativecommons.org/licenses/by/4.0/).
Share and Cite
Raverot, V.; Bonjour, M.; Abeillon du Payrat, J.; Perrin, P.; Roucher-Boulez, F.; Lasolle, H.; Subtil, F.; Borson-Chazot, F. Age- and Sex-Specific TSH Upper-Limit Reference Intervals in the General French Population: There Is a Need to Adjust Our Actual Practices. J. Clin. Med. 2020, 9, 792. https://doi.org/10.3390/jcm9030792
Raverot V, Bonjour M, Abeillon du Payrat J, Perrin P, Roucher-Boulez F, Lasolle H, Subtil F, Borson-Chazot F. Age- and Sex-Specific TSH Upper-Limit Reference Intervals in the General French Population: There Is a Need to Adjust Our Actual Practices. Journal of Clinical Medicine. 2020; 9(3):792. https://doi.org/10.3390/jcm9030792
Chicago/Turabian StyleRaverot, Véronique, Maxime Bonjour, Juliette Abeillon du Payrat, Pauline Perrin, Florence Roucher-Boulez, Helene Lasolle, Fabien Subtil, and Françoise Borson-Chazot. 2020. "Age- and Sex-Specific TSH Upper-Limit Reference Intervals in the General French Population: There Is a Need to Adjust Our Actual Practices" Journal of Clinical Medicine 9, no. 3: 792. https://doi.org/10.3390/jcm9030792
APA StyleRaverot, V., Bonjour, M., Abeillon du Payrat, J., Perrin, P., Roucher-Boulez, F., Lasolle, H., Subtil, F., & Borson-Chazot, F. (2020). Age- and Sex-Specific TSH Upper-Limit Reference Intervals in the General French Population: There Is a Need to Adjust Our Actual Practices. Journal of Clinical Medicine, 9(3), 792. https://doi.org/10.3390/jcm9030792
        
