Central Resistance to Thyroid Hormones in Morbidly Obese Subjects Is Reversed after Bariatric Surgery-Induced Weight Loss
Abstract
1. Introduction
2. Patients and Methods
2.1. Patients and Controls
2.2. Parameters Evaluated
2.3. Assays and Other Methods
2.4. Calculations
2.5. Statistical Analysis
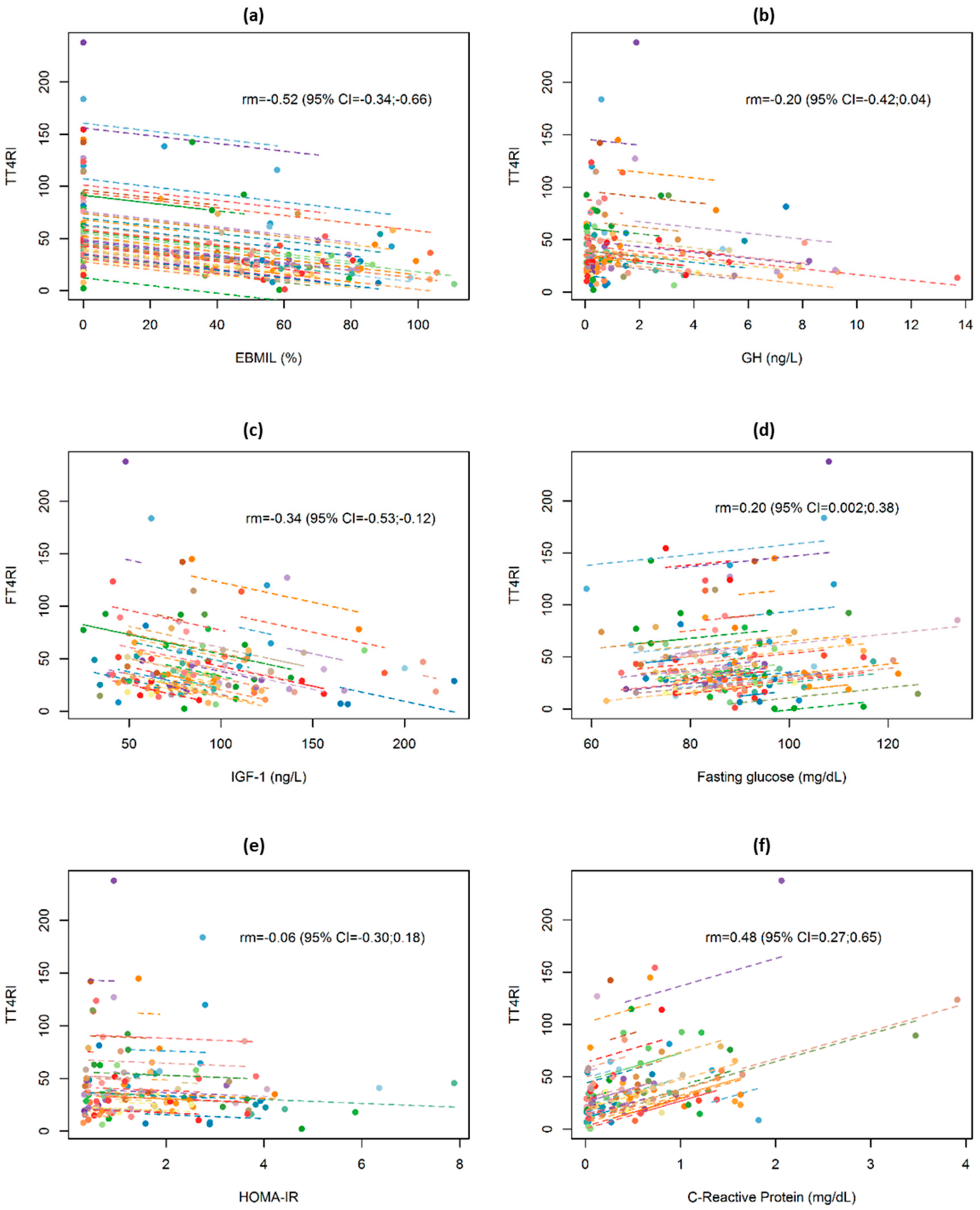
3. Results
3.1. Preoperative Characteristic of the Obese Patients and the Control Group
3.2. Fasting Serum Levels
3.3. Evolution over Time of the Clinical and Analytical Parameters
4. Discussion
5. Conclusions
Author Contributions
Funding
Conflicts of Interest
Abbreviations
| BMI | body mass index |
| BS | bariatric surgery |
| CRP | C-reactive protein |
| CV | coefficient of variation |
| DL | dyslipidemia |
| EBMIL | excessive BMI loss in percentage |
| FT4 | free thyroxine |
| GEE | generalized estimating equations |
| HTA | hypertension |
| RYGB | Roux-en-Y gastric bypass |
| SG | sleeve gastrectomy |
| TH | thyroid hormone |
| TSH | thyroid stimulating hormone |
| TSHRI | TSH index |
| T4 | thyroxine |
| TT4RI | thyrotroph thyroxine resistance index |
References
- GBD 2015 Obesity Collaborators; Afshin, A.; Forouzanfar, M.H.; Reitsma, M.B.; Sur, P.; Estep, K.; Lee, A.; Marczak, L.; Mokdad, A.H.; Moradi-Lakeh, M.; et al. Health Effects of Overweight and Obesity in 195 Countries over 25 Years. N. Engl. J. Med. 2017, 377, 13–27. [Google Scholar] [CrossRef]
- Flegal, K.M.; Kruszon-Moran, D.; Carroll, M.D.; Fryar, C.D.; Ogden, C.L. Trends in Obesity Among Adults in the United States, 2005 to 2014. JAMA 2016, 315, 2284–2291. [Google Scholar] [CrossRef] [PubMed]
- Ward, Z.J.; Bleich, S.N.; Cradock, A.L.; Barrett, J.L.; Giles, C.M.; Flax, C.; Long, M.W.; Gortmaker, S.L. Projected U.S. State-Level Prevalence of Adult Obesity and Severe Obesity. N. Engl. J. Med. 2019, 381, 2440–2450. [Google Scholar] [CrossRef] [PubMed]
- Gutierrez-Fisac, J.L.; Guallar-Castillon, P.; Leon-Munoz, L.M.; Graciani, A.; Banegas, J.R.; Rodriguez-Artalejo, F. Prevalence of general and abdominal obesity in the adult population of Spain, 2008–2010: The ENRICA study. Obes. Rev. 2012, 13, 388–392. [Google Scholar] [CrossRef]
- Ng, M.; Fleming, T.; Robinson, M.; Thomson, B.; Graetz, N.; Margono, C.; Mullany, E.C.; Biryukov, S.; Abbafati, C.; Abera, S.F.; et al. Global, regional, and national prevalence of overweight and obesity in children and adults during 1980–2013: A systematic analysis for the Global Burden of Disease Study 2013. Lancet 2014, 384, 766–781. [Google Scholar] [CrossRef]
- Magkos, F.; Fraterrigo, G.; Yoshino, J.; Luecking, C.; Kirbach, K.; Kelly, S.C.; de Las Fuentes, L.; He, S.; Okunade, A.L.; Patterson, B.W.; et al. Effects of Moderate and Subsequent Progressive Weight Loss on Metabolic Function and Adipose Tissue Biology in Humans with Obesity. Cell Metab. 2016, 23, 591–601. [Google Scholar] [CrossRef]
- Reges, O.; Greenland, P.; Dicker, D.; Leibowitz, M.; Hoshen, M.; Gofer, I.; Rasmussen-Torvik, L.J.; Balicer, R.D. Association of Bariatric Surgery Using Laparoscopic Banding, Roux-en-Y Gastric Bypass, or Laparoscopic Sleeve Gastrectomy vs Usual Care Obesity Management With All-Cause Mortality. JAMA 2018, 319, 279–290. [Google Scholar] [CrossRef]
- Pena-Bello, L.; Seoane-Pillado, T.; Sangiao-Alvarellos, S.; Outeirino-Blanco, E.; Varela-Rodriguez, B.; Juiz-Valina, P.; Cordido, M.; Cordido, F. Oral glucose-stimulated growth hormone (GH) test in adult GH deficiency patients and controls: Potential utility of a novel test. Eur. J. Intern. Med. 2017, 44, 55–61. [Google Scholar] [CrossRef]
- Pena-Bello, L.; Pertega-Diaz, S.; Outeirino-Blanco, E.; Garcia-Buela, J.; Tovar, S.; Sangiao-Alvarellos, S.; Dieguez, C.; Cordido, F. Effect of oral glucose administration on rebound growth hormone release in normal and obese women: The role of adiposity, insulin sensitivity and ghrelin. PLoS ONE 2015, 10, e0121087. [Google Scholar] [CrossRef]
- Alvarez-Castro, P.; Sangiao-Alvarellos, S.; Brandon-Sanda, I.; Cordido, F. Endocrine function in obesity. Endocrinol. Nutr. 2011, 58, 422–432. [Google Scholar] [CrossRef]
- Biondi, B. Thyroid and obesity: An intriguing relationship. J. Clin. Endocrinol. Metab. 2010, 95, 3614–3617. [Google Scholar] [CrossRef] [PubMed]
- Reinehr, T. Obesity and thyroid function. Mol. Cell. Endocrinol. 2010, 316, 165–171. [Google Scholar] [CrossRef] [PubMed]
- Rotondi, M.; Leporati, P.; La Manna, A.; Pirali, B.; Mondello, T.; Fonte, R.; Magri, F.; Chiovato, L. Raised serum TSH levels in patients with morbid obesity: Is it enough to diagnose subclinical hypothyroidism? Eur. J. Endocrinol. 2009, 160, 403–408. [Google Scholar] [CrossRef] [PubMed]
- Reinehr, T.; Andler, W. Thyroid hormones before and after weight loss in obesity. Arch. Dis. Child. 2002, 87, 320–323. [Google Scholar] [CrossRef] [PubMed]
- Guan, B.; Chen, Y.; Yang, J.; Yang, W.; Wang, C. Effect of Bariatric Surgery on Thyroid Function in Obese Patients: A Systematic Review and Meta-Analysis. Obes. Surg. 2017, 27, 3292–3305. [Google Scholar] [CrossRef] [PubMed]
- Liu, G.; Liang, L.; Bray, G.A.; Qi, L.; Hu, F.B.; Rood, J.; Sacks, F.M.; Sun, Q. Thyroid hormones and changes in body weight and metabolic parameters in response to weight loss diets: The POUNDS LOST trial. Int. J. Obes. 2017, 41, 878–886. [Google Scholar] [CrossRef]
- Neves, J.S.; Castro Oliveira, S.; Souteiro, P.; Pedro, J.; Magalhaes, D.; Guerreiro, V.; Bettencourt-Silva, R.; Costa, M.M.; Cristina Santos, A.; Queiros, J.; et al. Effect of Weight Loss after Bariatric Surgery on Thyroid-Stimulating Hormone Levels in Patients with Morbid Obesity and Normal Thyroid Function. Obes. Surg. 2018, 28, 97–103. [Google Scholar] [CrossRef]
- Dall’Asta, C.; Paganelli, M.; Morabito, A.; Vedani, P.; Barbieri, M.; Paolisso, G.; Folli, F.; Pontiroli, A.E. Weight loss through gastric banding: Effects on TSH and thyroid hormones in obese subjects with normal thyroid function. Obesity 2010, 18, 854–857. [Google Scholar] [CrossRef]
- Juiz-Valina, P.; Outeirino-Blanco, E.; Pertega, S.; Varela-Rodriguez, B.M.; Garcia-Brao, M.J.; Mena, E.; Pena-Bello, L.; Cordido, M.; Sangiao-Alvarellos, S.; Cordido, F. Effect of Weight Loss after Bariatric Surgery on Thyroid-Stimulating Hormone Levels in Euthyroid Patients with Morbid Obesity. Nutrients 2019, 11, 1121. [Google Scholar] [CrossRef]
- Mullur, R.; Liu, Y.Y.; Brent, G.A. Thyroid hormone regulation of metabolism. Physiol. Rev. 2014, 94, 355–382. [Google Scholar] [CrossRef]
- Dumitrescu, A.M.; Refetoff, S. The syndromes of reduced sensitivity to thyroid hormone. Biochim. Biophys. Acta 2013, 1830, 3987–4003. [Google Scholar] [CrossRef] [PubMed]
- Ortiga-Carvalho, T.M.; Sidhaye, A.R.; Wondisford, F.E. Thyroid hormone receptors and resistance to thyroid hormone disorders. Nat. Rev. Endocrinol. 2014, 10, 582–591. [Google Scholar] [CrossRef] [PubMed]
- Yagi, H.; Pohlenz, J.; Hayashi, Y.; Sakurai, A.; Refetoff, S. Resistance to thyroid hormone caused by two mutant thyroid hormone receptors beta, R243Q and R243W, with marked impairment of function that cannot be explained by altered in vitro 3,5,3′-triiodothyroinine binding affinity. J. Clin. Endocrinol. Metab. 1997, 82, 1608–1614. [Google Scholar] [CrossRef] [PubMed]
- Jostel, A.; Ryder, W.D.; Shalet, S.M. The use of thyroid function tests in the diagnosis of hypopituitarism: Definition and evaluation of the TSH Index. Clin. Endocrinol. 2009, 71, 529–534. [Google Scholar] [CrossRef]
- Laurberg, P.; Knudsen, N.; Andersen, S.; Carle, A.; Pedersen, I.B.; Karmisholt, J. Thyroid function and obesity. Eur. Thyroid J. 2012, 1, 159–167. [Google Scholar] [CrossRef]
- Tjorve, E.; Tjorve, K.M.; Olsen, J.O.; Senum, R.; Oftebro, H. On commonness and rarity of thyroid hormone resistance: A discussion based on mechanisms of reduced sensitivity in peripheral tissues. Med. Hypotheses 2007, 69, 913–921. [Google Scholar] [CrossRef]
- Laclaustra, M.; Moreno-Franco, B.; Lou-Bonafonte, J.M.; Mateo-Gallego, R.; Casasnovas, J.A.; Guallar-Castillon, P.; Cenarro, A.; Civeira, F. Impaired Sensitivity to Thyroid Hormones Is Associated With Diabetes and Metabolic Syndrome. Diabetes Care 2019, 42, 303–310. [Google Scholar] [CrossRef]
- Bakdash, J.Z.; Marusich, L.R. Repeated Measures Correlation. Front. Psychol. 2017, 8, 456. [Google Scholar] [CrossRef]
- Licenziati, M.R.; Valerio, G.; Vetrani, I.; De Maria, G.; Liotta, F.; Radetti, G. Altered Thyroid Function and Structure in Children and Adolescents Who Are Overweight and Obese: Reversal After Weight Loss. J. Clin. Endocrinol. Metab. 2019, 104, 2757–2765. [Google Scholar] [CrossRef]
- Gokosmanoglu, F.; Aksoy, E.; Onmez, A.; Ergenc, H.; Topkaya, S. Thyroid Homeostasis After Bariatric Surgery in Obese Cases. Obes. Surg. 2019. [Google Scholar] [CrossRef]
- Bianco, A.C.; Dumitrescu, A.; Gereben, B.; Ribeiro, M.O.; Fonseca, T.L.; Fernandes, G.W.; Bocco, B. Paradigms of Dynamic Control of Thyroid Hormone Signaling. Endocr. Rev. 2019, 40, 1000–1047. [Google Scholar] [CrossRef] [PubMed]
- Castillo, M.; Freitas, B.C.; Rosene, M.L.; Drigo, R.A.; Grozovsky, R.; Maciel, R.M.; Patti, M.E.; Ribeiro, M.O.; Bianco, A.C. Impaired metabolic effects of a thyroid hormone receptor beta-selective agonist in a mouse model of diet-induced obesity. Thyroid 2010, 20, 545–553. [Google Scholar] [CrossRef] [PubMed]
- Nannipieri, M.; Cecchetti, F.; Anselmino, M.; Camastra, S.; Niccolini, P.; Lamacchia, M.; Rossi, M.; Iervasi, G.; Ferrannini, E. Expression of thyrotropin and thyroid hormone receptors in adipose tissue of patients with morbid obesity and/or type 2 diabetes: Effects of weight loss. Int. J. Obes. 2009, 33, 1001–1006. [Google Scholar] [CrossRef] [PubMed]
- Krause, C.; Grohs, M.; El Gammal, A.; Wolter, S.; Lehnert, H.; Mann, O.; Mittag, J.; Kirchner, H. Reduced expression of thyroid hormone receptor beta in human nonalcoholic steatohepatitis. Endocr. Connect. 2018. [Google Scholar] [CrossRef] [PubMed]
- Anselmo, J.D.; Scherberg, N.; Dumitrescu, A.M.; Refetoff, S. Reduced Sensitivity to Thyroid Hormone as a Transgenerational Epigenetic Marker Transmitted Along Human Male Line. Thyroid 2019. [Google Scholar] [CrossRef]
- Reinehr, T.; de Sousa, G.; Andler, W. Hyperthyrotropinemia in obese children is reversible after weight loss and is not related to lipids. J. Clin. Endocrinol. Metab. 2006, 91, 3088–3091. [Google Scholar] [CrossRef]
- Crujeiras, A.B.; Goyenechea, E.; Abete, I.; Lage, M.; Carreira, M.C.; Martinez, J.A.; Casanueva, F.F. Weight regain after a diet-induced loss is predicted by higher baseline leptin and lower ghrelin plasma levels. J. Clin. Endocrinol. Metab. 2010, 95, 5037–5044. [Google Scholar] [CrossRef]
- Kushchayeva, Y.S.; Kushchayev, S.V.; Startzell, M.; Cochran, E.; Auh, S.; Dai, Y.; Lightbourne, M.; Skarulis, M.; Brown, R.J. Thyroid Abnormalities in Patients With Extreme Insulin Resistance Syndromes. J. Clin. Endocrinol. Metab. 2019, 104, 2216–2228. [Google Scholar] [CrossRef]
- Wysocki, M.; Waledziak, M.; Hady, H.R.; Czerniawski, M.; Proczko-Stepaniak, M.; Szymanski, M.; Dowgiallo-Wnukiewicz, N.; Kozera, P.; Szeliga, J.; Orlowski, M.; et al. Type 2 Diabetes Mellitus and Preoperative HbA1c Level Have no Consequence on Outcomes after Laparoscopic Sleeve Gastrectomy-a Cohort Study. Obes. Surg. 2019, 29, 2957–2962. [Google Scholar] [CrossRef]
- Glad, C.A.M.; Svensson, P.A.; Nystrom, F.H.; Jacobson, P.; Carlsson, L.M.S.; Johannsson, G.; Andersson-Assarsson, J.C. Expression of GHR and Downstream Signaling Genes in Human Adipose Tissue-Relation to Obesity and Weight Change. J. Clin. Endocrinol. Metab. 2019, 104, 1459–1470. [Google Scholar] [CrossRef]
- Yamauchi, I.; Sakane, Y.; Yamashita, T.; Hirota, K.; Ueda, Y.; Kanai, Y.; Yamashita, Y.; Kondo, E.; Fujii, T.; Taura, D.; et al. Effects of growth hormone on thyroid function are mediated by type 2 iodothyronine deiodinase in humans. Endocrine 2018, 59, 353–363. [Google Scholar] [CrossRef] [PubMed]
- Fleseriu, M.; Hashim, I.A.; Karavitaki, N.; Melmed, S.; Murad, M.H.; Salvatori, R.; Samuels, M.H. Hormonal Replacement in Hypopituitarism in Adults: An Endocrine Society Clinical Practice Guideline. J. Clin. Endocrinol. Metab. 2016, 101, 3888–3921. [Google Scholar] [CrossRef] [PubMed]
- Porretti, S.; Giavoli, C.; Ronchi, C.; Lombardi, G.; Zaccaria, M.; Valle, D.; Arosio, M.; Beck-Peccoz, P. Recombinant human GH replacement therapy and thyroid function in a large group of adult GH-deficient patients: When does L-T(4) therapy become mandatory? J. Clin. Endocrinol. Metab. 2002, 87, 2042–2045. [Google Scholar] [CrossRef] [PubMed]
- Zhu, C.; Gao, J.; Mei, F.; Lu, L.; Zhou, D.; Qu, S. Reduction in Thyroid-Stimulating Hormone Correlated with Improved Inflammation Markers in Chinese Patients with Morbid Obesity Undergoing Laparoscopic Sleeve Gastrectomy. Obes. Surg. 2019. [Google Scholar] [CrossRef] [PubMed]
- Neves, J.S.; Souteiro, P.; Oliveira, S.C.; Pedro, J.; Magalhaes, D.; Guerreiro, V.; Costa, M.M.; Bettencourt-Silva, R.; Santos, A.C.; Queiros, J.; et al. Preoperative thyroid function and weight loss after bariatric surgery. Int. J. Obes. 2019, 43, 432–436. [Google Scholar] [CrossRef]
- Biondi, B.; Kahaly, G.J.; Robertson, R.P. Thyroid Dysfunction and Diabetes Mellitus: Two Closely Associated Disorders. Endocr. Rev. 2019, 40, 789–824. [Google Scholar] [CrossRef]




| Control Subjects (n = 38) | Obese Subjects (n = 106) | ||||
|---|---|---|---|---|---|
| Mean ± SE | Median (IR) | Mean ± SE | Median (IR) | p | |
| Age (years) | 45.0 ± 1.5 | 42.0 (37.3;53.0) | 47.5 ± 0.9 | 46.9 (40.8;55.9) | 0.149 |
| Sex (n, %) | 0.067 | ||||
| Female | 24 | 63.2% | 83 | 78.3% | |
| Male | 14 | 36.8% | 23 | 21.7% | |
| BMI (Kg/m2) | 24.2 ± 0.6 | 23.7 (22.2;25.5) | 49.7 ± 0.9 | 47.6 (43.6;53.3) | <0.001 |
| Body fat (%) | 26.5 ± 1.3 | 24.9 (20.5;32.2) | 49.8 ± 0.7 | 50.8 (46.9;54.7) | <0.001 |
| Diabetes (%) | 0 | 0% | 40 | 37.7 | <0.001 |
| HTA (%) | 0 | 0% | 52 | 49.1 | <0.001 |
| DL (%) | 0 | 0% | 35 | 33.0 | <0.001 |
| Type of surgery (%) | |||||
| Roux-en-Y gastric bypass | 53 | 50.0 | |||
| Sleeve gastrectomy | 53 | 50.0 | |||
| Control Subjects (n = 38) | Obese Subjects (n = 106) | ||||
|---|---|---|---|---|---|
| Mean ± SE | Median (IR) | Mean ± SE | Median (IR) | p | |
| TSH (µU/mL) | 2.0 ± 0.2 | 1.9 (1.3;2.4) | 3.5 ± 0.3 | 2.7 (1.6;4.3) | 0.001 |
| Free T4 (ng/dL) | 1.2 ± 0.1 | 1.1 (1.1;1.2) | 1.5 ± 0.1 | 1.4 (1.3;1.6) | <0.001 |
| TSHRI | 2.5 ± 0.1 | 2.6 (2.2;2.9) | 3.5 ± 0.1 | 3.6 (2.9;4.3) | <0.001 |
| TT4RI | 28.9 ± 2.2 | 27.4 (20.3;37.5) | 66.0 ± 5.5 | 50.2 (33.0;81.4) | <0.001 |
| Fasting Glucose (mg/dL) | 88.9 ± 1.3 | 87.5 (84.0;93.0) | 102.4 ± 2.8 | 97.0 (83.0;117.0) | 0.014 |
| HbA1c (%) | 5.2 ± 0.1 | 5.2 (5.0;5.3) | 7.2 ± 1.5 | 5.6 (5.2;6.0) | 0.001 |
| Fasting Insulin (µIU/mL) | 5.2 ± 0.7 | 3.5 (2.8;6.2) | 8.4 ± 1.0 | 5.7 (2.8;10.4) | 0.032 |
| HOMA-IR | 1.2 ± 0.2 | 0.8 (0.6;1.3) | 2.5 ± 0.4 | 1.4 (0.6;2.7) | 0.017 |
| GH (µg/L) | 1.2 ± 0.3 | 0.5 (0.1;1.7) | 1.1 ± 0.2 | 0.4 (0.1;1.1) | 0.489 |
| IGF-1 (µg/L) | 140.5 ± 7.3 | 133.0 (104.0;178.0) | 83.2 ± 4.2 | 77.3 (56.0;93.0) | <0.001 |
| C-Peptide (ng/mL) | 1.6 ± 0.1 | 1.4 (1.1;1.7) | 2.5 ± 0.2 | 2.1 (1.4;3.2) | <0.001 |
| Cortisol (µg/dL) | 15.1 ± 0.8 | 15.2 (12.2;18.7) | 19.7 ± 2.1 | 13.9 (9.1;21.0) | 0.761 |
| C-Reactive Protein (mg/dL) | 0.2 ± 0.1 | 0.1 (0.02;0.2) | 0.9 ± 0.1 | 0.7 (0.4;1.2) | <0.001 |
| Obese Patients Before Surgery (n = 106) | Obese Patients 12 Months After Surgery (n = 106) | ||||
|---|---|---|---|---|---|
| Mean ± SE | Median (IR) | Mean ± SE | Median (IR) | p | |
| Weight (Kg) | 133.6 ± 25.8 | 126 (113.2;151.6) | 88.0 ± 19.0 | 84.3 (73.9;100.4) | <0.001 |
| BMI (Kg/m2) | 49.8 ± 8.9 | 47.9 (43.6;53.3) | 32.7 ± 6.9 | 31.2 (27.6;36.9) | <0.001 |
| Body fat (%) | 49.7 ± 6.0 | 50.7 (46.8;54.0) | 33.8 ± 10.1 | 34.1 (27.9;36.9) | <0.001 |
| TSH (µU/mL) | 3.5 ± 0.3 | 2.7 (1,6;4.3) | 2.2 ± 0.2 | 2.1 (1.3;2.8) | <0.001 |
| Free T4 (ng/dL) | 1.5 ± 0.1 | 1.4 (1.3;1.6) | 1.1 ± 0.1 | 1.1 (1.0;1.2) | <0.001 |
| TSHRI | 3.5 ± 0.1 | 3.6 (2.9;4.3) | 2.5 ± 0.1 | 2.6 (2.2;2.9) | <0.001 |
| FT4RI | 66.0 ± 5.5 | 50.2 (33.0;81.4) | 30.9 ± 2.3 | 28.6 (19.3;39.2) | <0.001 |
| Fasting Glucose (mg/dL) | 102.4 ± 2.8 | 97.0 (83.0;117.0) | 91.6 ± 2.2 | 86.5 (78.0;94.0) | <0.001 |
| HbA1c (%) | 7.2 ± 1.5 | 5.6 (5.2;6.0) | 5.6 ± 0.1 | 5.3 (5.1;6.0) | <0.001 |
| Fasting Insulin (µIU/mL) | 8.4 ± 1.0 | 5.7 (2.8;10.4) | 6.8 ± 0.6 | 5.4 (3.6;9.5) | 0.888 |
| HOMA-IR | 2.5 ± 0.4 | 1.4 (0.6;2.7) | 1.5 ± 0.1 | 1.2 (0.7;2.2) | 0.747 |
| GH (µg/L) | 1.1 ± 0.2 | 0.4 (0.1;1.1) | 3.3 ± 0.5 | 2.3 (0.3;5.2) | <0.001 |
| IGF-1 (µg/L) | 83.2 ± 4.2 | 77.3 (56.0;93.0) | 112.5 ± 4.2 | 111.0 (88.0;128.0) | <0.001 |
| C-Peptide (ng/mL) | 2.5 ± 0.2 | 2.1 (1.4;3.2) | 2.0 ± 0.1 | 1.9 (1.5;2.4) | 0.921 |
| Cortisol (µg/dL) | 19.7 ± 2.1 | 13.9 (9,1;21,0) | 16.0 ± 0.8 | 15.8 (12.0;18.4) | 0.747 |
| C-reactive protein (mg/dL) | 0.9 ± 0.1 | 0.7 (0.4;1.2) | 0.1 ± 0.03 | 0.1 (0.01;0.2) | <0.001 |
| TT4RI | TSHRI | |||||
|---|---|---|---|---|---|---|
| B | SE | p | B | SE | p | |
| Intercept | 47.237 | 5.427 | <0.001 | 3.153 | 0.160 | <0.001 |
| Linear time (months after surgery) | 0.113 | 0.546 | 0.835 | 0.004 | 0.016 | 0.807 |
| EBMIL | −0.325 | 0.087 | <0.001 | −0.011 | 0.003 | <0.001 |
| C-reactive protein (mg/dL) | 14.716 | 5.232 | 0.005 | 0.267 | 0.104 | 0.011 |
© 2020 by the authors. Licensee MDPI, Basel, Switzerland. This article is an open access article distributed under the terms and conditions of the Creative Commons Attribution (CC BY) license (http://creativecommons.org/licenses/by/4.0/).
Share and Cite
Juiz-Valiña, P.; Cordido, M.; Outeiriño-Blanco, E.; Pértega, S.; Varela-Rodríguez, B.M.; García-Brao, M.J.; Mena, E.; Pena-Bello, L.; Sangiao-Alvarellos, S.; Cordido, F. Central Resistance to Thyroid Hormones in Morbidly Obese Subjects Is Reversed after Bariatric Surgery-Induced Weight Loss. J. Clin. Med. 2020, 9, 359. https://doi.org/10.3390/jcm9020359
Juiz-Valiña P, Cordido M, Outeiriño-Blanco E, Pértega S, Varela-Rodríguez BM, García-Brao MJ, Mena E, Pena-Bello L, Sangiao-Alvarellos S, Cordido F. Central Resistance to Thyroid Hormones in Morbidly Obese Subjects Is Reversed after Bariatric Surgery-Induced Weight Loss. Journal of Clinical Medicine. 2020; 9(2):359. https://doi.org/10.3390/jcm9020359
Chicago/Turabian StyleJuiz-Valiña, Paula, María Cordido, Elena Outeiriño-Blanco, Sonia Pértega, Bárbara María Varela-Rodríguez, María Jesús García-Brao, Enrique Mena, Lara Pena-Bello, Susana Sangiao-Alvarellos, and Fernando Cordido. 2020. "Central Resistance to Thyroid Hormones in Morbidly Obese Subjects Is Reversed after Bariatric Surgery-Induced Weight Loss" Journal of Clinical Medicine 9, no. 2: 359. https://doi.org/10.3390/jcm9020359
APA StyleJuiz-Valiña, P., Cordido, M., Outeiriño-Blanco, E., Pértega, S., Varela-Rodríguez, B. M., García-Brao, M. J., Mena, E., Pena-Bello, L., Sangiao-Alvarellos, S., & Cordido, F. (2020). Central Resistance to Thyroid Hormones in Morbidly Obese Subjects Is Reversed after Bariatric Surgery-Induced Weight Loss. Journal of Clinical Medicine, 9(2), 359. https://doi.org/10.3390/jcm9020359

