Mental Health, Sense of Coherence, and Interpersonal Violence during the COVID-19 Pandemic Lockdown in Germany
Abstract
1. Introduction
2. Experimental Section
2.1. Patient Health Questionnaire-4 (PHQ-4)
2.2. Patient Health Questionnaire Stress Module (PHQ Stress Module)
2.3. WHO-5 Well-Being Index (WHO-5)
2.4. Sense of Coherence Scale—Short Form Leipzig (SOC-L9)
2.5. Statistical Analysis
2.6. Analysis of Qualitative Data
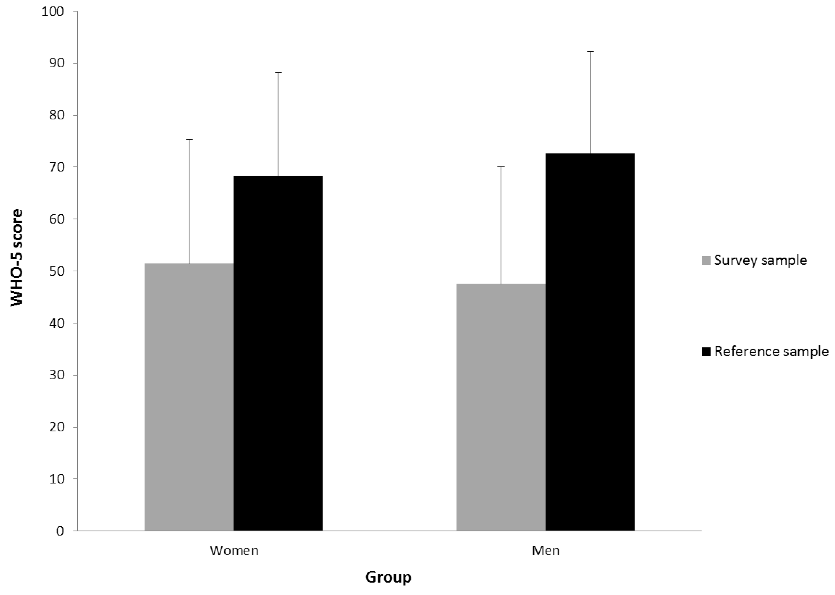
3. Results
3.1. Anger and Violence
3.1.1. Women
3.1.2. Men
3.2. Qualitative Data
4. Discussion
5. Conclusions
Supplementary Materials
Author Contributions
Funding
Conflicts of Interest
References
- Johns Hopkins University. Johns Hopkins Coronavirus Resource Center. JHU. Available online: https://coronavirus.jhu.edu/map.html (accessed on 13 November 2020).
 - Torales, J.; O’Higgins, M.; Castaldelli-Maia, J.M.; Ventriglio, A. The outbreak of COVID-19 coronavirus and its impact on mental health. Int. J. Soc. Psychiatry 2020, 66, 317–320. [Google Scholar] [CrossRef] [PubMed]
 - Lai, J.; Ma, S.; Wang, Y.; Cai, Z.; Hu, J.; Wei, N.; Wu, J.; Du, H.; Chen, T.; Li, R.; et al. Factors associated with mental health outcomes among health care workers exposed to coronavirus disease 2019. JAMA Netw. Open 2020, 3, e203976. [Google Scholar] [CrossRef] [PubMed]
 - Huang, Y.; Zhao, N. Generalized anxiety disorder, depressive symptoms and sleep quality during COVID-19 outbreak in China: A web-based cross-sectional survey. Psychiatry Res. 2020, 288, 112954. [Google Scholar] [CrossRef] [PubMed]
 - Wang, C.; Pan, R.; Wan, X.; Tan, Y.; Xu, L.; Ho, C.S.H.; Ho, R.C.M. Immediate psychological responses and associated factors during the initial stage of the 2019 coronavirus disease (COVID-19) epidemic among the general population in China. Int. J. Environ. Res. Public. Health 2020, 17, 1729. [Google Scholar] [CrossRef] [PubMed]
 - Vindegaard, N.; Benros, M.E. COVID-19 pandemic and mental health consequences: Systematic review of the current evidence. Brain Behav. Immun. 2020. [Google Scholar] [CrossRef]
 - Lieberman, J.A.; Olfson, M. Meeting the mental health challenge of the COVID-19 pandemic. Psychiatric Times. Available online: https://www.psychiatrictimes.com/view/meeting-mental-health-challenge-covid-19-pandemic (accessed on 12 August 2020).
 - Dong, L.; Bouey, J. Public mental health crisis during COVID-19 pandemic, China. Emerg. Infect Dis. 2020, 26, 3201. [Google Scholar] [CrossRef]
 - Parrish, E. The next pandemic: COVID-19 mental health pandemic. Perspect. Psychiatr. Care 2020, 56, 485. [Google Scholar] [CrossRef] [PubMed]
 - Kelly, B.D. Coronavirus disease: Challenges for psychiatry. Br. J. Psychiatry. 2020, 217, 352–353. [Google Scholar] [CrossRef]
 - Mowbray, H. In Beijing, coronavirus 2019-nCoV has created a siege mentality. BMJ 2020. [Google Scholar] [CrossRef]
 - Cacioppo, J.T.; Hughes, M.E.; Waite, L.J.; Hawkley, L.C.; Thisted, R.A. Loneliness as a specific risk factor for depressive symptoms: Cross-sectional and longitudinal analyses. Psychol. Aging 2006, 21, 140–151. [Google Scholar] [CrossRef]
 - Cacioppo, J.T.; Hawkley, L.C.; Ernst, J.M.; Burleson, M.; Berntson, G.G.; Nouriani, B.; Spiegel, D. Loneliness within a nomological net: An evolutionary perspective. J. Res. Pers. 2006, 40, 1054–1085. [Google Scholar] [CrossRef]
 - Cacioppo, J.T.; Hawkley, L.C.; Crawford, L.E.; Ernst, J.M.; Burleson, M.H.; Kowalewski, R.B.; Malarkey, W.B.; Van Cauter, E.; Berntson, G.G. Loneliness and health: Potential mechanisms. Psychosom. Med. 2002, 64, 407–417. [Google Scholar] [CrossRef] [PubMed]
 - Mahon, N.E. Loneliness and sleep during adolescence. Percept. Mot. Ski. 1994, 78, 227–231. [Google Scholar] [CrossRef] [PubMed]
 - Hawkley, L.C.; Cacioppo, J.T. Loneliness matters: A theoretical and empirical review of consequences and mechanisms. Ann. Behav. Med. 2010, 40, 218–227. [Google Scholar] [CrossRef] [PubMed]
 - Lauder, W.; Mummery, K.; Jones, M.; Caperchione, C. A comparison of health behaviours in lonely and non-lonely populations. Psychol. Health Med. 2006, 11, 233–245. [Google Scholar] [CrossRef] [PubMed]
 - Akerlind, I.; Hornquist, J.O. Loneliness and alcohol abuse: A review of evidences of an interplay. Soc. Sci. Med. 1992, 34, 405–414. [Google Scholar] [CrossRef]
 - Antonovsky, A. Unraveling the Mystery of Health—How People Manage Stress and Stay Well; Jossey-Bass Publishers: San Francisco, CA, USA, 1987. [Google Scholar]
 - Kroenke, K.; Spitzer, R.L.; Williams, J.B.W.; Löwe, B. An ultra-brief screening scale for anxiety and depression: The PHQ–4. Psychosomatics 2009, 50, 613–621. [Google Scholar]
 - Gräfe, K.; Zipfel, S.; Herzog, W.; Löwe, B. Screening psychischer störungen mit dem “Gesundheitsfragebogen für Patienten (PHQ-D)“. Diagnostica 2004, 50, 171–181. [Google Scholar] [CrossRef]
 - Topp, C.W.; Østergaard, S.D.; Søndergaard, S.; Bech, P. The WHO-5 well-being index: A systematic review of the literature. Psychother. Psychosom. 2015, 84, 167–176. [Google Scholar] [CrossRef]
 - Lin, M.; Bieda, A.; Margraf, J. Short form of the sense of coherence scale (SOC-L9) in the US, Germany, and Russia: Psychometric properties and cross-cultural measurement invariance test. Eur. J. Psychol. Assess. 2019. [Google Scholar] [CrossRef]
 - Mayring, P. Qualitative Inhaltsanalyse. Grundlagen und Techniken, 11th ed.; Beltz: Weinheim, Germany, 2010. [Google Scholar]
 - Kroenke, K.; Spitzer, R.L.; Williams, J.B.; Monahan, P.O.; Lowe, B. Anxiety disorders in primary care: Prevalence, impairment, comorbidity, and detection. Ann. Intern. Med. 2007, 146, 317–325. [Google Scholar] [CrossRef] [PubMed]
 - Wellbeing Measures in Primary Health Care/the Depcare Project; Report on a WHO Meeting: Stockholm, Swedish, 1998.
 - Brähler, E.; Mühlan, H.; Albani, C.; Schmidt, S. Teststatistische prüfung und normierung der deutschen versionen des eurohis-qol lebensqualität-index und des WHO-5 wohlbefindens-index. Diagnostica 2007, 53, 83–96. [Google Scholar] [CrossRef]
 - Singer, S.; Brähler, E. Die “Sense of Coherence Scale”; Vandenhoeck & Ruprecht: Göttingen, Germany, 2007. [Google Scholar]
 - Makaroun, L.K.; Brignone, E.; Rosland, A.M.; Dichter, M.E. Association of health conditions and health service utilization with intimate partner violence identified via routine screening among middle-aged and older women. JAMA Netw. Open 2020, 3, e203138. [Google Scholar] [CrossRef] [PubMed]
 - Schnell, R.; Hill, P.B.; Esser, E. Methoden der Empirischen Sozialforschung, 2nd ed.; Oldenbourg: München, Germany, 1989. [Google Scholar]
 - Statistisches Bundesamt. Available online: https://www.destatis.de/DE/Themen/Gesellschaft-Umwelt/Bevoelkerung/Bevoelkerungsstand/_inhalt.html;jsessionid=DE922D7E04B48DCE2930CF8398773356.internet8742 (accessed on 20 October 2020).
 - Moore, D.L.; Tarnai, J. Survey nonresponse. In Evaluating Nonresponse Error in Mail Surveys; Groves, R.M., Dillman, D.A., Eltinge, J.L., Little, R.J.A., Eds.; John Wiley & Sons, Inc.: New York, NY, USA, 2002; pp. 197–211. [Google Scholar]
 - Di Renzo, L.; Gualtieri, P.; Cinelli, G.; Bigioni, G.; Soldati, L.; Attinà, A.; Bianco, F.F.; Caparello, G.; Camodeca, V.; Carrano, E.; et al. Psychological aspects and eating habits during covid-19 home confinement: Results of EHLC-COVID-19 Italian online survey. Nutrients 2020, 12, 2152. [Google Scholar] [CrossRef] [PubMed]
 - Ho, H.-Y.; Chen, Y.-L.; Yen, C.-F. Different impacts of COVID-19-related information sources on public worry: An online survey through social media. Internet Interv. 2020, 22, 100350. [Google Scholar] [CrossRef]
 - Perrin, A. “Social Networking Usage: 2005–2015” Pew Research Center. Available online: http://www.pewinternet.org/2015/10/08/2015/Social-Networking-Usage-2005-2015/ (accessed on 15 February 2016).
 - Statistisches Bundesamt. Available online: https://www.destatis.de/DE/Themen/Gesellschaft-Umwelt/Bildung-Forschung-Kultur/Bildungsstand/_inhalt.html (accessed on 20 October 2020).
 - Arbeitsagentur. Available online: https://www.arbeitsagentur.de/news/arbeitsmarkt-2020 (accessed on 20 October 2020).
 - Statistisches Bundesamt. Available online: https://de.statista.com/statistik/daten/studie/723069/umfrage/durchschnittsalter-der-bevoelkerung-in-deutschland-nach-staatsangehoerigkeit/ (accessed on 20 October 2020).
 - Statistisches Bundesamt. Available online: https://de.statista.com/statistik/daten/studie/156951/umfrage/anzahl-der-einpersonenhaushalte-in-deutschland-seit-1991/ (accessed on 20 October 2020).
 - DGPPN. Basisdaten Psychische Erkrankungen. Available online: https://www.dgppn.de/_Resources/Persistent/a2e357dac62be19b5050a1d89ffd8603cfdb8ef9/20201008_Factsheet.pdf (accessed on 27 October 2020).
 - Sønderskov, K.M.; Dinesen, P.T.; Santini, Z.I.; Østergaard, S.D. Increased psychological well-being after the apex of the COVID-19 pandemic. Acta Neuropsychiatr. 2020. [Google Scholar] [CrossRef]
 - Czeisler, M.É.; Lane, R.I.; Petrosky, E.; Wiley, J.F.; Christensen, A.; Njai, R.; Weaver, M.D.; Robbins, R.; Facer-Childs, E.R.; Barger, L.K.; et al. Mental health, substance use, and suicidal ideation during the COVID-19 pandemic — United States, June 24–30, 2020. MMWR. Morb. Mortal. Wkly. Rep. 2020, 69, 1049–1057. [Google Scholar] [CrossRef]
 - DeWolfe, D.J. Training Manual for Mental Health and Human Service Workers in Major Disasters, 2nd ed.; Federal Emergency Management Agency: Washington, DC, USA, 2000.
 


| Women | Men | ||
|---|---|---|---|
| Activity | % | Activity | % | 
| 1. Household Chores | 65.2 | 1. Watching Movies/TV | 51.9 | 
| 2. Cooking | 54.0 | 2. Work | 47.3 | 
| 3. Watching Movies/TV | 50.1 | 3. Household Chores | 46.6 | 
| 4. Taking A Walk | 45.0 | 4. Spending Time with Family/Partner | |
| 5. Spending Time with Family/Partner | 43.8 | 5. Reading/Watching News | 41.9 | 
| 6. Work | 42.3 | 6. Playing on the Computer/Console/Smartphone | 38.0 | 
| 7. Cleaning | 39.9 | 7. Taking a Walk | 36.7 | 
| 8. Reading/Watching News | 37.6 | 8. Distraction Using Media | 35.8 | 
| 9. Write Text Messages/Chat with Friends/Family | 37.1 | 9. Cooking | 35.3 | 
| 10. Chat with Friends/Family Via Telephone/Video | 34.9 | 10. Listening to Music | 28.8 | 
| Variable | z-Value | p-Value | r-Value | Mean Rank WMHC a | Mean Rank WOMHC b | 
|---|---|---|---|---|---|
| PHQ-4 | −23.22 | <0.001 | 0.39 | 2438.65 | 1526.21 | 
| WHO-5 | −21.61 | <0.001 | 0.37 | 2389.74 | 1536.61 | 
| SOC-L9 | −24.88 | <0.001 | 0.44 | 875.40 | 1813.63 | 
| Coping | −13.46 | <0.001 | 0.23 | 2140.43 | 1638.00 | 
| PHQ stress | −2.57 | 0.035 | 0.04 | 1703.36 | 1605.70 | 
| Variable | MWMHC a | SDWMHC a | MWOMHC b | SDWOMHC b | 
| PHQ-4 | 6.02 | 3.34 | 3.06 | 2.53 | 
| PHQ Stress | 6.67 | 3.95 | 6.26 | 3.87 | 
| WHO-5 | 16.50 | 5.43 | 11.43 | 5.55 | 
| SOC-L9 | 33.98 | 9.69 | 44.79 | 8.67 | 
| How Well Are You Coping? | Percentage %WMHC a | Percentage %WOMHC b | 
|---|---|---|
| Very good | 8.1 | 16.2 | 
| Good | 34.3 | 49.8 | 
| Neither nor | 13.9 | 12.6 | 
| Not very good | 33.8 | 18.5 | 
| Not good at all | 9.9 | 2.9 | 
| Theme | n | % | 
|---|---|---|
| Family/Partner/Children | 1036 | 35.3 | 
| Conversation/Communication | 538 | 18.3 | 
| Friends | 507 | 17.3 | 
| Exercise | 456 | 15.5 | 
| Distraction/Activity/Occupation | 437 | 14.9 | 
| Contact | 179 | 6.1 | 
| Having More Time | 167 | 5.7 | 
| Garden/Nature | 143 | 4.9 | 
| Pets | 133 | 4.5 | 
| Fine Weather | 109 | 3.7 | 
| Nothing | 98 | 3.3 | 
| Theme | n | % | 
|---|---|---|
| Appreciation/Thankfulness | 553 | 19.6 | 
| Environmental Protection/Climate Protection | 453 | 16.1 | 
| Reevaluation/Rethinking/Consciousness | 425 | 15.1 | 
| Solidarity/Willingness to help | 322 | 11.4 | 
| Healthcare System/Care-Giver | 260 | 9.2 | 
| Society/Community | 219 | 7.8 | 
| Together | 209 | 7.4 | 
| Slow Movement | 163 | 5.8 | 
| Home Office | 137 | 4.9 | 
| Family | 114 | 4.0 | 
| Digitalization | 109 | 3.9 | 
Publisher’s Note: MDPI stays neutral with regard to jurisdictional claims in published maps and institutional affiliations.  | 
© 2020 by the authors. Licensee MDPI, Basel, Switzerland. This article is an open access article distributed under the terms and conditions of the Creative Commons Attribution (CC BY) license (http://creativecommons.org/licenses/by/4.0/).
Share and Cite
Jung, S.; Kneer, J.; Krüger, T.H.C. Mental Health, Sense of Coherence, and Interpersonal Violence during the COVID-19 Pandemic Lockdown in Germany. J. Clin. Med. 2020, 9, 3708. https://doi.org/10.3390/jcm9113708
Jung S, Kneer J, Krüger THC. Mental Health, Sense of Coherence, and Interpersonal Violence during the COVID-19 Pandemic Lockdown in Germany. Journal of Clinical Medicine. 2020; 9(11):3708. https://doi.org/10.3390/jcm9113708
Chicago/Turabian StyleJung, Stefanie, Jonas Kneer, and Tillmann H. C. Krüger. 2020. "Mental Health, Sense of Coherence, and Interpersonal Violence during the COVID-19 Pandemic Lockdown in Germany" Journal of Clinical Medicine 9, no. 11: 3708. https://doi.org/10.3390/jcm9113708
APA StyleJung, S., Kneer, J., & Krüger, T. H. C. (2020). Mental Health, Sense of Coherence, and Interpersonal Violence during the COVID-19 Pandemic Lockdown in Germany. Journal of Clinical Medicine, 9(11), 3708. https://doi.org/10.3390/jcm9113708
        