The Role of Obesity in Early and Long-Term Outcomes after Surgical Excision of Lung Oligometastases from Colorectal Cancer
Abstract
1. Introduction
2. Materials and Methods
2.1. Patient Population
- (1)
- Previous complete excision of the primary tumor and without other localizations of disease, or extrathoracic deposits amenable to local aggressive treatments;
- (2)
- No history of previous excision of lung metastases;
- (3)
- No macroscopic residual disease following metastasectomy;
- (4)
- Confirmation of the metastatic nature of excised nodules through histology report.
2.2. Surgery
2.3. Statistical Analysis
3. Results
3.1. Main Outcomes
3.2. Predictors of Outcomes
4. Discussion
5. Conclusions
6. Limitations
Author Contributions
Funding
Acknowledgments
Conflicts of Interest
References
- Blundell, J.E.; Baker, J.L.; Boyland, E.; Blaak, E.; Charzewska, J.; de Henauw, S.; Frühbeck, G.; Gonzalez-Gross, M.; Hebebrand, J.; Holm, L.; et al. Variations in the Prevalence of Obesity Among European Countries, and a Consideration of Possible Causes. Obes. Facts 2017, 10, 25–37. [Google Scholar] [CrossRef] [PubMed]
- Andersson, T.M.; Weiderpass, E.; Engholm, G.; Lund, A.Q.; Olafsdottir, E.; Pukkala, E.; Stenbeck, M.; Storm, H. Avoidable cancer cases in the Nordic countries—The impact of overweight and obesity. Eur. J. Cancer 2017, 79, 106–118. [Google Scholar] [CrossRef] [PubMed]
- Tsang, N.M.; Pai, P.C.; Chuang, C.C.; Chuang, W.C.; Tseng, C.K.; Chang, K.P.; Yen, T.C.; Lin, J.D.; Chang, J.T.C. Overweight and obesity predict better overall survival rates in cancer patients with distant metastases. Cancer Med. 2016, 5, 665–675. [Google Scholar] [CrossRef] [PubMed]
- Caan, B.J.; Meyerhardt, J.A.; Kroenke, C.H.; Alexeeff, S.; Xiao, J.; Weltzien, E.; Feliciano, E.C.; Castillo, A.L.; Quesenberry, C.P.; Kwan, M.L.; et al. Explaining the Obesity Paradox: The Association between Body Composition and Colorectal Cancer Survival (C-SCANS Study). Cancer Epidemiol. Biomark. Prev. 2017, 26, 1008–1015. [Google Scholar] [CrossRef] [PubMed]
- Greenlee, H.; Unger, J.M.; LeBlanc, M.; Ramsey, S.; Hershman, D.L. Association between Body Mass Index and Cancer Survival in a Pooled Analysis of 22 Clinical Trials. Cancer Epidemiol. Biomark. Prev. 2017, 26, 21–29. [Google Scholar] [CrossRef] [PubMed]
- Rzechonek, A.; Błasiak, P.; Pniewski, G.; Cierpikowski, P.; Mościbrodzka, M.; Ornat, M.; Grzegrzółka, J.; Brzecka, A. Influence of Obesity on the Course of Malignant Neoplastic Disease in Patients After Pulmonary Metastasectomy. In Vivo 2018, 32, 197–202. [Google Scholar] [CrossRef] [PubMed]
- Vandenbroucke, J.P.; von Elm, E.; Altman, D.G.; Gotzsche, P.C.; Mulrow, C.D.; Pocock, S.J.; Poole, C.; Schlesselman, J.J.; Egger, M. Strengthening the Reporting of Observational Studies in Epidemiology (STROBE): Explanation and elaboration. Epidemiology 2007, 18, 805–835. [Google Scholar] [CrossRef]
- World Health Organization. Obesity and Overweight. 16 February 2018. Available online: https://www.who.int/news-room/fact-sheets/detail/obesity-and-overweight (accessed on 2 May 2020).
- Gruberg, L.; Weissman, N.J.; Waksman, R.; Fuchs, S.; Deible, R.; Pinnow, E.E.; Ahmed, L.M.; Kent, K.M.; Pichard, A.D.; Suddath, W.O.; et al. The impact of obesity on the short-term and long-term outcomes after percutaneous coronary intervention: The obesity paradox? J. Am. Coll. Cardiol. 2002, 39, 578–584. [Google Scholar] [CrossRef]
- Brunner, A.M.; Sadrzadeh, H.; Feng, Y.; Drapkin, B.J.; Ballen, K.K.; Attar, E.C.; Amrein, P.C.; McAfee, S.L.; Chen, Y.B.; Neuberg, D.S.; et al. Association between baseline body mass index and overall survival among patients over age 60 with acute myeloid leukemia. Am. J. Hematol. 2013, 88, 642–646. [Google Scholar] [CrossRef]
- Hakimi, A.A.; Furberg, H.; Zabor, E.C.; Jacobsen, A.; Schultz, N.; Ciriello, G.; Mikklineni, N.; Fiegoli, B.; Kim, P.H.; Voss, M.H.; et al. An epidemiologic and genomic investigation into the obesity paradox in renal cell carcinoma. J. Natl. Cancer Inst. 2013, 105, 1862–1870. [Google Scholar] [CrossRef]
- Thomas, P.A.; Berbis, J.; Falcoz, P.E.; Le Pimpec-Barthes, F.; Bernard, A.; Jougon, J.; Porte, H.; Alifano, M.; Dahan, M. National perioperative outcomes of pulmonary lobectomy for cancer: The influence of nutritional status. Eur. J. Cardiothorac. Surg. 2014, 45, 652–659, discussion 659. [Google Scholar] [CrossRef]
- Gonzalez, M.C.; Pastore, C.A.; Orlandi, S.P.; Heymsfield, S.B. Obesity paradox in cancer: New insights provided by body composition. Am. J. Clin. Nutr. 2014, 99, 999–1005. [Google Scholar] [CrossRef]
- Iyengar, N.M.; Gucalp, A.; Dannenberg, A.J.; Hudis, C.A. Obesity and Cancer Mechanisms: Tumor Microenvironment and Inflammation. J. Clin. Oncol. 2016, 34, 4270–4276. [Google Scholar] [CrossRef]
- Zhang, X.; Liu, Y.; Shao, H.; Zheng, X. Obesity Paradox in Lung Cancer Prognosis: Evolving Biological Insights and Clinical Implications. J. Thorac. Oncol. 2017, 12, 1478–1488. [Google Scholar] [CrossRef] [PubMed]
- Lederle, W.; Depner, S.; Schnur, S.; Obermueller, E.; Catone, N.; Just, A.; Fusenig, N.E.; Mueller, M.M. IL-6 promotes malignant growth of skin SCCs by regulating a network of autocrine and paracrine cytokines. Int. J. Cancer 2011, 128, 2803–2814. [Google Scholar] [CrossRef]
- Schaap, L.A.; Pluijm, S.M.; Deeg, D.J.; Visser, M. Inflammatory markers and loss of muscle mass (sarcopenia) and strength. Am. J. Med. 2006, 119, 526.e9–526.e17. [Google Scholar] [CrossRef]
- Kerenidi, T.; Lada, M.; Tsaroucha, A.; Georgoulias, P.; Mystridou, P.; Gourgoulianis, K.I. Clinical significance of serum adipokines levels in lung cancer. Med. Oncol. 2013, 30, 507. [Google Scholar] [CrossRef] [PubMed]
- Boura, P.; Loukides, S.; Grapsa, D.; Achimastos, A.; Syrigos, K. The diverse roles of adiponectin in non-small-cell lung cancer: Current data and future perspectives. Future Oncol. 2015, 11, 2193–2203. [Google Scholar] [CrossRef] [PubMed]
- Rama, N.; Monteiro, A.; Bernardo, J.E.; Eugenio, L.; Antunes, M.J. Lung metastases from colorectal cancer: Surgical resection and prognostic factors. Eur. J. Cardiothorac. Surg. 2009, 35, 444–449. [Google Scholar] [CrossRef]
- Borasio, P.; Gisabella, M.; Bille, A.; Righi, L.; Longo, M.; Tampellini, M.; Ardissone, F. Role of surgical resection in colorectal lung metastases: Analysis of 137 patients. Int. J. Colorectal Dis. 2011, 26, 183–190. [Google Scholar] [CrossRef]
- Zabaleta, J.; Aguinagalde, B.; Fuentes, M.G.; Bazterargui, N.; Izquierdo, J.M.; Hernandez, C.J.; Enriquez-Navascues, J.M.; Emparanza, J.I. Survival after lung metastasectomy for colorectal cancer: Importance of previous liver metastasis as a prognostic factor. Eur. J. Surg. Oncol. 2011, 37, 786–790. [Google Scholar] [CrossRef]
- Pfannschmidt, J.; Dienemann, H.; Hoffmann, H. Surgical resection of pulmonary metastases from colorectal cancer: A systematic review of published series. Ann. Thorac. Surg. 2007, 84, 324–338. [Google Scholar] [CrossRef]
- Winter, H.; Meimarakis, G.; Hoffmann, G.; Hummel, M.; Ruttinger, D.; Zilbauer, A.; Stelter, K.; Spelsberg, F.; Jauch, K.W.; Hatz, R.; et al. Does surgical resection of pulmonary metastases of head and neck cancer improve survival? Ann. Surg. Oncol. 2008, 15, 2915–2926. [Google Scholar] [CrossRef]
- Law, W.L.; Choi, H.K.; Lee, Y.M.; Ho, J.W. The impact of postoperative complications on long-term outcomes following curative resection for colorectal cancer. Ann. Surg. Oncol. 2007, 14, 2559–2566. [Google Scholar] [CrossRef]
- Scaife, C.L.; Hartz, A.; Pappas, L.; Pelletier, P.; He, T.; Glasgow, R.E.; Mulvihill, S.J. Association between postoperative complications and clinical cancer outcomes. Ann. Surg. Oncol. 2013, 20, 4063–4066. [Google Scholar] [CrossRef]
- Shalapour, S.; Karin, M. Immunity, inflammation, and cancer: An eternal fight between good and evil. J. Clin. Investig. 2015, 125, 3347–3355. [Google Scholar] [CrossRef]
- Langella, S.; Russolillo, N.; Forchino, F.; Lo Tesoriere, R.; D’Eletto, M.; Ferrero, A. Impact of obesity on postoperative outcome of hepatic resection for colorectal metastases. Surgery 2015, 158, 1521–1529. [Google Scholar] [CrossRef]
- Dindo, D.; Muller, M.K.; Weber, M.; Clavien, P.A. Obesity in general elective surgery. Lancet 2003, 361, 2032–2035. [Google Scholar] [CrossRef]
- Pasulka, P.S.; Bistrian, B.R.; Benotti, P.N.; Blackburn, G.L. The risks of surgery in obese patients. Ann. Intern. Med. 1986, 104, 540–546. [Google Scholar] [CrossRef]
- Eichenberger, A.; Proietti, S.; Wicky, S.; Frascarolo, P.; Suter, M.; Spahn, D.R.; Magnusson, L. Morbid obesity and postoperative pulmonary atelectasis: An underestimated problem. Anesth. Analg. 2002, 95, 1788–1792. [Google Scholar] [CrossRef]
- Cooper, L. Postoperative complications after thoracic surgery in the morbidly obese patient. Anesthesiol. Res. Pract. 2011, 2011, 865634. [Google Scholar] [CrossRef] [PubMed]
- Suemitsu, R.; Sakoguchi, T.; Morikawa, K.; Yamaguchi, M.; Tanaka, H.; Takeo, S. Effect of body mass index on perioperative complications in thoracic surgery. Asian Cardiovasc. Thorac. Ann. 2008, 16, 463–467. [Google Scholar] [CrossRef]
- Dhakal, B.; Eastwood, D.; Sukumaran, S.; Hassler, G.; Tisol, W.; Gasparri, M.; Choong, N.; Santana-Davila, R. Morbidities of lung cancer surgery in obese patients. J. Thorac. Cardiovasc. Surg. 2013, 146, 379–384. [Google Scholar] [CrossRef] [PubMed]
- Smith, P.W.; Wang, H.; Gazoni, L.M.; Shen, K.R.; Daniel, T.M.; Jones, D.R. Obesity does not increase complications after anatomic resection for non-small cell lung cancer. Ann. Thorac. Surg. 2007, 84, 1098–1105, discussion 1105–1106. [Google Scholar] [CrossRef]
- Li, S.; Wang, Z.; Huang, J.; Fan, J.; Du, H.; Liu, L.; Che, G. Systematic review of prognostic roles of body mass index for patients undergoing lung cancer surgery: Does the “obesity paradox” really exist? Eur. J. Cardiothorac. Surg. 2017, 51, 817–828. [Google Scholar] [CrossRef]
- Petrella, F.; Radice, D.; Borri, A.; Galetta, D.; Gasparri, R.; Solli, P.; Veronesi, G.; Spaggiari, L. The impact of preoperative body mass index on respiratory complications after pneumonectomy for non-small-cell lung cancer. Results from a series of 154 consecutive standard pneumonectomies. Eur. J. Cardiothorac. Surg. 2011, 39, 738–744. [Google Scholar] [CrossRef]


| Population | All | BMI ≥30 | BMI <30 | p |
|---|---|---|---|---|
| 76 (100) | 17 (22.3) | 59 (77.7) | ||
| Gender: Male | 49 (64.5) | 12 (70.6) | 37 (62.7) | 0.77 |
| Age at Surgery | 67 (IQR 62–70) | 65 (IQR 59–68) | 69 (IQR 62–73) | 0.1 |
| ASA | ||||
| 2 | 48 (63.2) | 9 (52.9) | 39 (66.1) | 0.39 |
| 3 | 28 (36.8) | 8 (47.1) | 20 (33.9) | |
| Comorbidities | ||||
| Coronaropathy | 6 (7.9) | 1 (5.9) | 5 (8.5) | >0.99 |
| Arrhythmia | 7 (9.2) | 2 (11.7) | 5 (8.5) | 0.64 |
| Hypertension | 26 (34.2) | 11 (64.7) | 15 (25.4) | 0.004 |
| Other Cancers | 11 (14.5) | 2 (11.8) | 9 (15.2) | >0.99 |
| Lung Disease | 5 (6.6) | 1 (5.9) | 4 (6.8) | >0.99 |
| Diabetes | 5 (6.6) | 4 (23.5) | 1 (1.7) | 0.008 |
| Chronic Renal Failure | 1 (1.3) | 0 | 1 (1.7) | >0.99 |
| Liver Disease | 5 (6.6) | 1 (5.9) | 4 (6.8) | >0.99 |
| Other | 18 (23.7) | 7 (41.2) | 11 (18.6) | 0.1 |
| Primary Tumor Stage | ||||
| 0 | 1 (1.3) | 0 | 1 (1.7) | 0.76 |
| 1 | 9 (11.8) | 3 (17.6) | 6 (10.2) | |
| 2 | 20 (26.3) | 4 (23.5) | 16 (27.1) | |
| 3 | 42 (55.2) | 10 (58.8) | 32 (54.2) | |
| 4 | 4 (5.3) | 0 | 4 (6.8) | |
| RT/CHT | ||||
| Neoadjuvant | 20 (26.3) | 2 (11.8) | 18 (30.5) | 0.2 |
| Adjuvant | 65 (85.5) | 12 (70.6) | 53 (89.8) | 0.06 |
| Number of Lesions | ||||
| 1 | 61 (80.3) | 10 (58.8) | 51 (86.4) | 0.013 |
| 2 | 11 (14.5) | 5 (29.4) | 6 (10.2) | |
| 3 | 2 (2.6) | 2 (11.8) | 0 | |
| 4 | 1 (1.3) | 0 | 1 (1.7) | |
| 5 | 0 | 0 | 0 | |
| 6 | 1 (1.3) | 0 | 1 (1.7) | |
| Bilateral nodules | 7 (9.2) | 1 (5.9) | 6 (10.2) | >0.99 |
| DFI | 29 (IQR 17.5–45) | 19 (IQR 12–38) | 31 (IQR 18–45) | 0.23 |
| Population | All | BMI ≥30 | BMI <30 | p |
|---|---|---|---|---|
| 76 (100) | 17 (22.3) | 59 (77.7) | ||
| Resection | ||||
| Wedge Resection | 39 (51.3) | 6 (35.3) | 33 (55.9) | 0.17 |
| Segmentectomy | 3 (3.9) | 1 (5.9) | 2 (3.4) | 0.54 |
| Lobectomy | 22 (40.8) | 9 (52.9) | 22 (37.3) | 0.27 |
| Segmentectomy + Wedge | 1 (1.3) | 0 | 1 (1.7) | >0.99 |
| Lobectomy + Wedge | 2 (2.6) | 1 (5.9) | 1 (1.7) | 0.4 |
| Approach | ||||
| VATS | 35 (46.1) | 5 (29.4) | 30 (50.8) | 0.16 |
| Post-Resectional Status | ||||
| R0 | 74 (97.7) | 17 (100) | 57 (96.6) | >0.99 |
| R+ | 2 (2.6) | 0 | 2 (3.4) |
| Population | All | BMI ≥30 | BMI <30 | p |
|---|---|---|---|---|
| 76 (100) | 17 (22.3) | 59 (77.7) | ||
| Length of stay | 6 (4–11) | 7 (5–14) | 6 (4–11) | 0.14 |
| Complications | ||||
| Total | 11 (14.5) | 3 (17.6) | 8 (13.6) | 0.7 |
| Haemorrhage | 3 (3.9) | 2 (11.8) | 1 (1.7) | 0.12 |
| Persistent Air-leak | 4 (5.6) | 0 | 4 (6.8) | 0.57 |
| Arrhythmia | 3 (3.9) | 1 (5.9) | 2 (3.4) | 0.53 |
| ARDS | 1 (1.32) | 0 | 1 (1.7) | >0.99 |
| Pneumonia | 5 (6.6) | 1 (5.9) | 4 (6.8) | >0.99 |
| Other | 4 (5.6) | 1 (5.9) | 3 (5.1) | >0.99 |
| Survival and recurrence | ||||
| 5 Years-OS | 66.70% | 33.60% | 0.03 | |
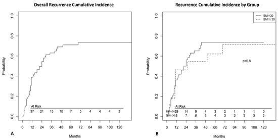
| 5 Years-DFS | 36.20% | 21.50% | 0.75 | |
Publisher’s Note: MDPI stays neutral with regard to jurisdictional claims in published maps and institutional affiliations. |
© 2020 by the authors. Licensee MDPI, Basel, Switzerland. This article is an open access article distributed under the terms and conditions of the Creative Commons Attribution (CC BY) license (http://creativecommons.org/licenses/by/4.0/).
Share and Cite
Londero, F.; Parise, O.; Grossi, W.; Morelli, A.; Masullo, G.; Bartoletti, M.; Tetta, C.; Livi, U.; Maessen, J.G.; Gelsomino, S. The Role of Obesity in Early and Long-Term Outcomes after Surgical Excision of Lung Oligometastases from Colorectal Cancer. J. Clin. Med. 2020, 9, 3566. https://doi.org/10.3390/jcm9113566
Londero F, Parise O, Grossi W, Morelli A, Masullo G, Bartoletti M, Tetta C, Livi U, Maessen JG, Gelsomino S. The Role of Obesity in Early and Long-Term Outcomes after Surgical Excision of Lung Oligometastases from Colorectal Cancer. Journal of Clinical Medicine. 2020; 9(11):3566. https://doi.org/10.3390/jcm9113566
Chicago/Turabian StyleLondero, Francesco, Orlando Parise, William Grossi, Angelo Morelli, Gianluca Masullo, Michele Bartoletti, Cecilia Tetta, Ugolino Livi, Jos G. Maessen, and Sandro Gelsomino. 2020. "The Role of Obesity in Early and Long-Term Outcomes after Surgical Excision of Lung Oligometastases from Colorectal Cancer" Journal of Clinical Medicine 9, no. 11: 3566. https://doi.org/10.3390/jcm9113566
APA StyleLondero, F., Parise, O., Grossi, W., Morelli, A., Masullo, G., Bartoletti, M., Tetta, C., Livi, U., Maessen, J. G., & Gelsomino, S. (2020). The Role of Obesity in Early and Long-Term Outcomes after Surgical Excision of Lung Oligometastases from Colorectal Cancer. Journal of Clinical Medicine, 9(11), 3566. https://doi.org/10.3390/jcm9113566

