Genome-Wide Association between the 2q33.1 Locus and Intracranial Aneurysm Susceptibility: An Updated Meta-Analysis Including 18,019 Individuals
Abstract
1. Introduction
2. Materials and Methods
2.1. Literature Search and Data Extraction
2.2. Meta-Analysis of rs700651 (2q33.1) in Multi-Ethnic Populations
2.3. In Silico Functional Analysis of rs700651 (2q33.1) in East Asians
2.4. Genotype cis-Expression Quantitative Trait Loci (cis-eQTL) Analysis for rs700651 in Human Tissues
3. Results
3.1. Identification of Relevant Studies and Study Characteristics
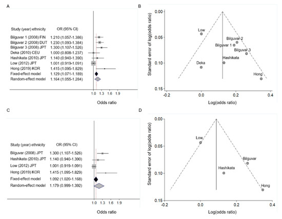
3.2. Meta-Analysis of rs700651 (2q33.1) in Multi-Ethnic Populations
3.3. In Silico Functional Analysis of rs700651 in East Asians
3.4. Genotype cis-Expression Quantitative Trait Loci (cis-eQTL) Analysis of rs700651 in Human Tissues
4. Discussion
5. Conclusions
Supplementary Materials
Author Contributions
Funding
Acknowledgments
Conflicts of Interest
References
- Pawlowska, E.; Szczepanska, J.; Wisniewski, K.; Tokarz, P.; Jaskolski, D.J.; Blasiak, J. Nf-kappab-mediated inflammation in the pathogenesis of intracranial aneurysm and subarachnoid hemorrhage. Does autophagy play a role? Int. J. Mol. Sci. 2018, 19, 1245. [Google Scholar] [CrossRef]
- Chalouhi, N.; Ali, M.S.; Jabbour, P.M.; Tjoumakaris, S.I.; Gonzalez, L.F.; Rosenwasser, R.H.; Koch, W.J.; Dumont, A.S. Biology of intracranial aneurysms: Role of inflammation. J. Cereb. Blood Flow Metab. 2012, 32, 1659–1676. [Google Scholar] [CrossRef] [PubMed]
- Asaithambi, G.; Adil, M.M.; Chaudhry, S.A.; Qureshi, A.I. Incidences of unruptured intracranial aneurysms and subarachnoid hemorrhage: Results of a statewide study. J. Vasc. Interv. Neurol. 2014, 7, 14–17. [Google Scholar]
- Huhtakangas, J.; Lehto, H.; Seppa, K.; Kivisaari, R.; Niemela, M.; Hernesniemi, J.; Lehecka, M. Long-term excess mortality after aneurysmal subarachnoid hemorrhage: Patients with multiple aneurysms at risk. Stroke 2015, 46, 1813–1818. [Google Scholar] [CrossRef] [PubMed]
- Low, S.K.; Takahashi, A.; Cha, P.C.; Zembutsu, H.; Kamatani, N.; Kubo, M.; Nakamura, Y. Genome-wide association study for intracranial aneurysm in the japanese population identifies three candidate susceptible loci and a functional genetic variant at ednra. Hum. Mol. Genet. 2012, 21, 2102–2110. [Google Scholar] [CrossRef]
- Hong, E.P.; Jeon, J.P.; Kim, S.E.; Yang, J.S.; Choi, H.J.; Kang, S.H.; Cho, Y.J. A novel association between lysyl oxidase gene polymorphism and intracranial aneurysm in Koreans. Yonsei Med. J. 2017, 58, 1006–1011. [Google Scholar] [CrossRef] [PubMed]
- Jeon, J.S.; Sheen, S.H.; Hwang, G.; Kang, S.H.; Heo, D.H.; Cho, Y.J. Intravenous magnesium infusion for the prevention of symptomatic cerebral vasospasm after aneurysmal subarachnoid hemorrhage. J. Korean Neurosurg. Soc. 2012, 52, 75–79. [Google Scholar] [CrossRef]
- Tromp, G.; Weinsheimer, S.; Ronkainen, A.; Kuivaniemi, H. Molecular basis and genetic predisposition to intracranial aneurysm. Ann. Med. 2014, 46, 597–606. [Google Scholar] [CrossRef]
- Kurki, M.I.; Gaal, E.I.; Kettunen, J.; Lappalainen, T.; Menelaou, A.; Anttila, V.; van ’t Hof, F.N.; von Und, Z.; Fraunberg, M.; Helisalmi, S.; et al. High risk population isolate reveals low frequency variants predisposing to intracranial aneurysms. PLoS Genet. 2014, 10, e1004134. [Google Scholar] [CrossRef] [PubMed]
- Alg, V.S.; Sofat, R.; Houlden, H.; Werring, D.J. Genetic risk factors for intracranial aneurysms: A meta-analysis in more than 116,000 individuals. Neurology 2013, 80, 2154–2165. [Google Scholar] [CrossRef] [PubMed]
- Hong, E.P.; Kim, B.J.; Cho, S.S.; Yang, J.S.; Choi, H.J.; Kang, S.H.; Jeon, J.P. Genomic variations in susceptibility to intracranial aneurysm in the Korean population. J. Clin. Med. 2019, 8, 275. [Google Scholar] [CrossRef]
- Huang, T.; Shu, Y.; Cai, Y.D. Genetic differences among ethnic groups. BMC Genomics 2015, 16, 1093. [Google Scholar] [CrossRef]
- Hong, E.P.; Park, J.W. Sample size and statistical power calculation in genetic association studies. Genomics Inform. 2012, 10, 117–122. [Google Scholar] [CrossRef]
- Magi, R.; Morris, A.P. Gwama: Software for genome-wide association meta-analysis. BMC Bioinformatics 2010, 11, 288. [Google Scholar] [CrossRef]
- Boyle, A.P.; Hong, E.L.; Hariharan, M.; Cheng, Y.; Schaub, M.A.; Kasowski, M.; Karczewski, K.J.; Park, J.; Hitz, B.C.; Weng, S.; et al. Annotation of functional variation in personal genomes using regulomedb. Genome Res. 2012, 22, 1790–1797. [Google Scholar] [CrossRef]
- Machiela, M.J.; Chanock, S.J.; Ldlink. A web-based application for exploring population-specific haplotype structure and linking correlated alleles of possible functional variants. Bioinformatics 2015, 31, 3555–3557. [Google Scholar] [CrossRef]
- Consortium, G.T. Human genomics. The genotype-tissue expression (gtex) pilot analysis: Multitissue gene regulation in humans. Science 2015, 348, 648–660. [Google Scholar] [CrossRef]
- Van ’t Hof, F.N.; Ruigrok, Y.M.; Lee, C.H.; Ripke, S.; Anderson, G.; de Andrade, M.; Baas, A.F.; Blankensteijn, J.D.; Böttinger, E.P.; Bown, M.J.; et al. Shared genetic risk factors of intracranial, abdominal, and thoracic aneurysms. J. Am. Heart Assoc. 2016, 5, e002603. [Google Scholar] [CrossRef]
- Theodotou, C.B.; Snelling, B.M.; Sur, S.; Haussen, D.C.; Peterson, E.C.; Elhammady, M.S. Genetic associations of intracranial aneurysm formation and sub-arachnoid hemorrhage. Asian J. Neurosurg. 2017, 12, 374–381. [Google Scholar] [CrossRef] [PubMed]
- Bilguvar, K.; Yasuno, K.; Niemela, M.; Ruigrok, Y.M.; von Und Zu Fraunberg, M.; van Duijn, C.M.; van den Berg, L.H.; Mane, S.; Mason, C.E.; et al. Susceptibility loci for intracranial aneurysm in European and Japanese populations. Nat. Genet. 2008, 40, 1472–1477. [Google Scholar] [CrossRef] [PubMed]
- Deka, R.; Koller, D.L.; Lai, D.; Indugula, S.R.; Sun, G.; Woo, D.; Sauerbeck, L.; Moomaw, C.J.; Hornung, R.; Connolly, E.S.; et al. The relationship between smoking and replicated sequence variants on chromosomes 8 and 9 with familial intracranial aneurysm. Stroke 2010, 41, 1132–1137. [Google Scholar] [CrossRef]
- Hashikata, H.; Liu, W.; Inoue, K.; Mineharu, Y.; Yamada, S.; Nanayakkara, S.; Matsuura, N.; Hitomi, T.; Takagi, Y.; Hashimoto, N.; Miyamoto, S.; Koizumi, A. Confirmation of an association of single-nucleotide polymorphism rs1333040 on 9p21 with familial and sporadic intracranial aneurysms in Japanese patients. Stroke 2010, 41, 1138–1144. [Google Scholar] [CrossRef]
- Kang, K.J.; Pyo, J.H.; Ryu, K.J.; Kim, S.J.; Ha, J.M.; Choi, K.; Hong, S.N.; Min, B.H.; Chang, D.K.; Son, H.J.; et al. Oncogenic role of boll in colorectal cancer. Dig. Dis. Sci. 2015, 60, 1663–1673. [Google Scholar] [CrossRef] [PubMed]
- Luetjens, C.M.; Xu, E.Y.; Rejo Pera, R.A.; Kamischke, A.; Nieschlag, E.; Gromoll, J. Association of meiotic arrest with lack of boule protein expression in infertile men. J. Clin. Endocrinol. Metab. 2004, 89, 1926–1933. [Google Scholar] [CrossRef] [PubMed]
- Harrod, C.G.; Batjer, H.H.; Bendok, B.R. Deficiencies in estrogen-mediated regulation of cerebrovascular homeostasis may contribute to an increased risk of cerebral aneurysm pathogenesis and rupture in menopausal and postmenopausal women. Med. Hypotheses 2006, 66, 736–756. [Google Scholar] [CrossRef] [PubMed]
- Kubo, Y.; Koji, T.; Kashimura, H.; Otawara, Y.; Ogawa, A.; Ogasawara, K. Female sex as a risk factor for the growth of asymptomatic unruptured cerebral saccular aneurysms in elderly patients. J. Neurosurg. 2014, 121, 599–604. [Google Scholar] [CrossRef]
- Yeap, B.B.; Hyde, Z.; Norman, P.E.; Chubb, S.A.; Golledge, J. Associations of total testosterone, sex hormone-binding globulin, calculated free testosterone, and luteinizing hormone with prevalence of abdominal aortic aneurysm in older men. J. Clin. Endocrinol. Metab. 2010, 95, 1123–1130. [Google Scholar] [CrossRef] [PubMed]




| Study First Author (Year) | Population | Case/Control | Female | Age a | N/R b | RAF b | OR (95% CI) c | p | Adjusted Covariates |
|---|---|---|---|---|---|---|---|---|---|
| Bilguvar (2008) [20] | FIN | 874/944 | NA | NA | A/G | 0.390/0.440 | 1.210 (1.057–1.386) | 0.0058 | NA |
| DUT | 706/5332 | NA | NA | A/G | 0.350/0.400 | 1.230 (1.093–1.384) | 5.8 × 10−4 | NA | |
| JPT | 495/676 | NA | NA | A/G | 0.540/0.460 | 1.300 (1.107–1.526) | 0.0011 | NA | |
| Deka (2010) [21] | CEU | 406/392 | 53.3 (45.7%) | 50.5/63.4 | A/G | 0.340/0.339 | 1.000 (0.808–1.237) | 0.973 | age |
| Hashikata (2010) [22] | JPT | 419/408 | 66.1 (52.0%) | 60.5/60.0 | A/G | 0.484/0.463 | 1.140 (0.940–1.390) | 0.19 | sex, age, smoking, HTN |
| Low (2012) [5] | JPT | 1359/5464 | 64.7 (42.7%) | 60.1/56.9 | A/G | 0.490/0.488 | 1.001 (0.919–1.091) | 0.975 | sex, age, PCs |
| Hong (2019) [11] | KOR | 254/290 | 58.4 (52.0%) | 59.3/52.1 | A/G | 0.476/0.449 | 1.415 (1.095–1.829) | 0.0079 | sex, age, smoking, HTN |
| No. Studies a | Population | Effect Model | RAF b | OR (95% CI) c | p | Heterogeneity (I2), % | p for Heterogeneity |
|---|---|---|---|---|---|---|---|
| European Ancestry | |||||||
| 3 [20,21] | 3 EUR | Fixed | 0.403 | 1.186 (1.092–1.287) | 4.83 × 10−5 | 31.26 | 0.2335 |
| Random | 1.175 (1.061–1.302) | 0.0020 | |||||
| East-Asian | |||||||
| 3 [5,20,22] | 3 JPT | Fixed | 0.482 | 1.071 (0.998–1.149) | 0.0571 | 76.16 | 0.0151 |
| Radom | 1.128 (0.952–1.337) | 0.1624 | |||||
| 4 [5,11,20,22] | 3 JPT, 1 KOR | Fixed | 0.480 | 1.092 (1.020–1.168) | 0.0112 | 76.23 | 0.0055 |
| Random | 1.179 (0.999–1.392) | 0.0513 | |||||
| 3 [11,20,22] | 2 JPT, 1 KOR | Fixed, random | 0.459 | 1.264 (1.131–1.413) | 3.60 × 10−5 | 0.00 | 0.3749 |
| European + East-Asian | |||||||
| 7 [5,11,20,21,22] | 3 EUR, 3 JPT, 1 KOR | Fixed | 0.443 | 1.129 (1.071–1.189) | 5.57 × 10−6 | 66.37 | 0.0066 |
| Random | 1.164 (1.055–1.284) | 0.0025 | |||||
| 6 [11,20,21,22] | 3 EUR, 2 JPT, 1 KOR | Fixed | 0.415 | 1.213 (1.135–1.296) | 1.05 × 10−8 | 12.35 | 0.3361 |
| Random | 1.212 (1.128–1.302) | 1.65 × 10−7 |
© 2019 by the authors. Licensee MDPI, Basel, Switzerland. This article is an open access article distributed under the terms and conditions of the Creative Commons Attribution (CC BY) license (http://creativecommons.org/licenses/by/4.0/).
Share and Cite
Hong, E.P.; Kim, B.J.; Jeon, J.P. Genome-Wide Association between the 2q33.1 Locus and Intracranial Aneurysm Susceptibility: An Updated Meta-Analysis Including 18,019 Individuals. J. Clin. Med. 2019, 8, 692. https://doi.org/10.3390/jcm8050692
Hong EP, Kim BJ, Jeon JP. Genome-Wide Association between the 2q33.1 Locus and Intracranial Aneurysm Susceptibility: An Updated Meta-Analysis Including 18,019 Individuals. Journal of Clinical Medicine. 2019; 8(5):692. https://doi.org/10.3390/jcm8050692
Chicago/Turabian StyleHong, Eun Pyo, Bong Jun Kim, and Jin Pyeong Jeon. 2019. "Genome-Wide Association between the 2q33.1 Locus and Intracranial Aneurysm Susceptibility: An Updated Meta-Analysis Including 18,019 Individuals" Journal of Clinical Medicine 8, no. 5: 692. https://doi.org/10.3390/jcm8050692
APA StyleHong, E. P., Kim, B. J., & Jeon, J. P. (2019). Genome-Wide Association between the 2q33.1 Locus and Intracranial Aneurysm Susceptibility: An Updated Meta-Analysis Including 18,019 Individuals. Journal of Clinical Medicine, 8(5), 692. https://doi.org/10.3390/jcm8050692

