Plasma Vitamin C and Cancer Mortality in Kidney Transplant Recipients
Abstract
1. Introduction
2. Materials and Methods
2.1. Study Design and Patients
2.2. Kidney Transplant Recipients Characteristics
2.3. Laboratory Measurements
2.4. Plasma Vitamin C Measurement
2.5. Cause-Specific Mortality and Graft Failure
2.6. Statistical Analyses
3. Results
3.1. Baseline Characteristics
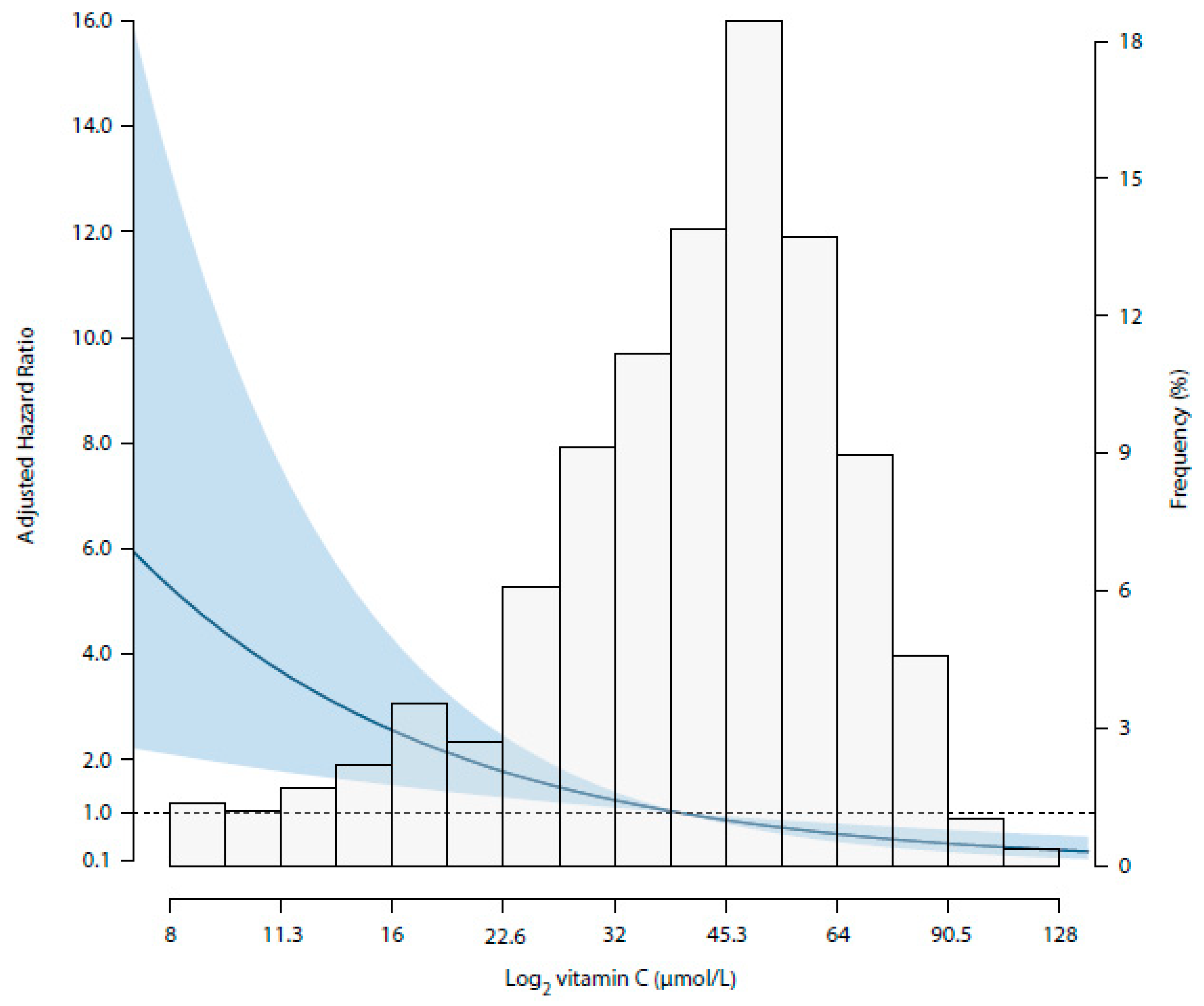
3.2. Primary Prospective Analyses
3.3. Secondary Prospective Analyses
3.4. Sensitivity Analyses
4. Discussion
Supplementary Materials
Author Contributions
Funding
Conflicts of Interest
References
- Briggs, J.D. Causes of death after renal transplantation. Nephrol. Dial. Transpl. 2001, 16, 1545–1549. [Google Scholar] [CrossRef]
- Pippias, M.; Jager, K.J.; Kramer, A.; Leivestad, T.; Sánchez, M.B.; Caskey, F.J.; Collart, F.; Couchoud, C.; Dekker, F.W.; Finne, P.; et al. The changing trends and outcomes in renal replacement therapy: Data from the ERA-EDTA Registry. Nephrol. Dial. Transpl. 2016, 31, 831–841. [Google Scholar] [CrossRef] [PubMed]
- Ojo, A.O.; Hanson, J.A.; Wolfe, R.A.; Leichtman, A.B.; Agodoa, L.Y.; Port, F.K. Long-term survival in renal transplant recipients with graft function. Kidney Int. 2000, 57, 307–313. [Google Scholar] [CrossRef] [PubMed]
- Lim, W.H.; Russ, G.R.; Wong, G.; Pilmore, H.; Kanellis, J.; Chadban, S.J. The risk of cancer in kidney transplant recipients may be reduced in those maintained on everolimus and reduced cyclosporine. Kidney Int. 2017, 91, 954–963. [Google Scholar] [CrossRef] [PubMed]
- Pilmore, H.; Dent, H.; Chang, S.; McDonald, S.P.; Chadban, S.J. Reduction in cardiovascular death after kidney transplantation. Transplantation 2010, 89, 851–857. [Google Scholar] [CrossRef]
- Buell, J.F.; Gross, T.G.; Woodle, E.S. Malignancy after Transplantation. Transplantation 2005, 80, S254–S264. [Google Scholar] [CrossRef]
- Berthoux, F.; Mariat, C. Cardiovascular Death After Renal Transplantation Remains the First Cause Despite Significant Quantitative and Qualitative Changes. Transplantation 2010, 89, 806. [Google Scholar] [CrossRef]
- Farrugia, D.; Mahboob, S.; Cheshire, J.; Begaj, I.; Khosla, S.; Ray, D.; Sharif, A. Malignancy-related mortality following kidney transplantation is common. Kidney Int. 2014, 85, 1395–1403. [Google Scholar] [CrossRef]
- Wong, G.; Chapman, J.R.; Craig, J.C. Death from cancer: A sobering truth for patients with kidney transplants. Kidney Int. 2014, 85, 1262–1264. [Google Scholar] [CrossRef]
- Au, E.H.; Chapman, J.R.; Craig, J.C.; Lim, W.H.; Teixeira-Pinto, A.; Ullah, S.; McDonald, S.; Wong, G. Overall and Site-Specific Cancer Mortality in Patients on Dialysis and after Kidney Transplant. J. Am. Soc. Nephrol. 2019, 30, 471–480. [Google Scholar] [CrossRef]
- Stoyanova, E.; Sandoval, S.B.; Zúñiga, L.A.; El-Yamani, N.; Coll, E.; Pastor, S.; Reyes, J.; Andrés, E.; Ballarin, J.; Xamena, N.; et al. Oxidative DNA damage in chronic renal failure patients. Nephrol. Dial. Transpl. 2010, 25, 879–885. [Google Scholar] [CrossRef] [PubMed]
- Rodrigo, R.; Guichard, C.; Charles, R. Clinical pharmacology and therapeutic use of antioxidant vitamins. Fundam. Clin. Pharm. 2007, 21, 111–127. [Google Scholar] [CrossRef] [PubMed]
- Loria, C.M.; Klag, M.J.; Caulfield, L.E.; Whelton, P.K. Vitamin C status and mortality in US adults. Am. J. Clin. Nutr. 2000, 72, 139–145. [Google Scholar] [CrossRef] [PubMed]
- Jenab, M.; Riboli, E.; Ferrari, P.; Sabate, J.; Slimani, N.; Norat, T.; Friesen, M.; Tjønneland, A.; Olsen, A.; Overvad, K.; et al. Plasma and dietary vitamin C levels and risk of gastric cancer in the European Prospective Investigation into Cancer and Nutrition (EPIC-EURGAST). Carcinogenesis 2006, 27, 2250–2257. [Google Scholar] [CrossRef] [PubMed]
- Block, G.; Dietrich, M.; Norkus, E.P.; Morrow, J.D.; Hudes, M.; Caan, B.; Packer, L. Factors associated with oxidative stress in human populations. Am. J. Epidemiol. 2002, 156, 274–285. [Google Scholar] [CrossRef] [PubMed]
- Koenig, G.; Seneff, S. Gamma-Glutamyltransferase: A Predictive Biomarker of Cellular Antioxidant Inadequacy and Disease Risk. Dis. Markers 2015, 2015, 818570. [Google Scholar] [CrossRef]
- Lee, D.H.; Blomhoff, R.; Jacobs, D.R. Is serum gamma glutamyltransferase a marker of oxidative stress? Free Radic. Res. 2004, 38, 535–539. [Google Scholar] [CrossRef]
- Frei, B.; Stocker, R.; Amest, B.N. Antioxidant defenses and lipid peroxidation in human blood plasma (oxidants/polymorphonuclear leukocytes/ascorbate/plasma peroxidase). Proc. Natl. Acad. Sci. USA 1988, 85, 9748–9752. [Google Scholar] [CrossRef]
- Frenay, A.S.; de Borst, M.H.; Bachtler, M.; Tschopp, N.; Keyzer, C.A.; van den Berg, E.; Bakker, S.J.L.; Feelisch, M.; Pasch, A.; van Goor, H. Serum free sulfhydryl status is associated with patient and graft survival in renal transplant recipients. Free Radic. Biol. Med. 2016, 99, 345–351. [Google Scholar] [CrossRef]
- Kasiske, B.L.; Vazquez, M.A.; Harmon, W.E.; Brown, R.S.; Danovitch, G.M.; Gaston, R.S.; Roth, D.; Scandling, J.D.; Singer, G.G. Recommendations for the outpatient surveillance of renal transplant recipients. American Society of Transplantation. J. Am. Soc. Nephrol. 2000, 11 (Suppl. 1), S1–S86. [Google Scholar]
- Sinkeler, S.J.; Zelle, D.M.; Homan van der Heide, J.J.; Gans, R.O.B.; Navis, G.; Bakker, S.J.L. Endogenous Plasma Erythropoietin, Cardiovascular Mortality and All-Cause Mortality in Renal Transplant Recipients. Am. J. Transpl. 2012, 12, 485–491. [Google Scholar] [CrossRef] [PubMed]
- Sotomayor, C.G.; Gomes-Neto, A.W.; Eisenga, M.F.; Nolte, I.M.; Anderson, J.L.C.; de Borst, M.H.; Osté, M.C.J.; Rodrigo, R.; Gans, R.O.B.; Berger, S.P.; et al. Consumption of fruits and vegetables and cardiovascular mortality in renal transplant recipients: A prospective cohort study. Nephrol. Dial. Transpl. 2018. [Google Scholar] [CrossRef] [PubMed]
- Report of the Expert Committee on the Diagnosis and Classification of Diabetes Mellitus. Diabetes Care 2003, 26, S5–S20. [CrossRef] [PubMed]
- Levey, A.S.; Stevens, L.A.; Schmid, C.H.; Zhang, Y.; Castro, A.F.; Feldman, H.I.; Kusek, J.W.; Eggers, P.; Van Lente, F.; Greene, T.; et al. A New Equation to Estimate Glomerular Filtration Rate. Ann. Intern. Med. 2009, 150, 604. [Google Scholar] [CrossRef]
- Annema, W.; Dikkers, A.; Freark de Boer, J.; Dullaart, R.P.F.; Sanders, J.-S.F.; Bakker, S.J.L.; Tietge, U.J.F. HDL Cholesterol Efflux Predicts Graft Failure in Renal Transplant Recipients. J. Am. Soc. Nephrol. 2016, 27, 595–603. [Google Scholar] [CrossRef]
- De Leeuw, K.; Sanders, J.S.; Stegeman, C.; Smit, A.; Kallenberg, C.G.; Bijl, M. Accelerated atherosclerosis in patients with Wegener’s granulomatosis. Ann. Rheum. Dis. 2005, 64, 753–759. [Google Scholar] [CrossRef]
- Hoeksma, D.; Rebolledo, R.A.; Hottenrott, M.; Bodar, Y.S.; Wiersema-Buist, J.J.; Van Goor, H.; Leuvenink, H.G.D. Inadequate Antioxidative Responses in Kidneys of Brain-Dead Rats. Transplantation 2017, 101, 746–753. [Google Scholar] [CrossRef]
- Van der Toorn, M.; Rezayat, D.; Kauffman, H.F.; Bakker, S.J.L.; Gans, R.O.B.; Koëter, G.H.; Choi, A.M.K.; van Oosterhout, A.J.M.; Slebos, D.-J. Lipid-soluble components in cigarette smoke induce mitochondrial production of reactive oxygen species in lung epithelial cells. Am. J. Physiol. Cell. Mol. Physiol. 2009, 297, L109–L114. [Google Scholar] [CrossRef]
- Weiner, M.G.; Livshits, A.; Carozzoni, C.; McMenamin, E.; Gibson, G.; Loren, A.W.; Hennessy, S. Derivation of malignancy status from ICD-9 codes. In AMIA Annual Symposium Proceedings; American Medical Informatics Association: Bethesda, MD, USA, 2003; p. 1050. [Google Scholar]
- Tan, F.E.S.; Jolani, S.; Verbeek, H. Guidelines for multiple imputations in repeated measurements with time-dependent covariates: A case study. J. Clin. Epidemiol. 2018, 102, 107–114. [Google Scholar] [CrossRef]
- Sotomayor, C.G.; Eisenga, M.F.; Gomes Neto, A.W.; Ozyilmaz, A.; Gans, R.O.B.; De Jong, W.H.A.; Zelle, D.M.; Berger, S.P.; Gaillard, C.A.J.M.; Navis, G.J.; et al. Vitamin C depletion and all-cause mortality in renal transplant recipients. Nutrients 2017, 9, 568. [Google Scholar] [CrossRef]
- Harrell, F.E.J.; Lee, K.L.; Mark, D.B. Multivariable prognostic models: Issues in developing models, evaluating assumptions and adequacy, and measuring and reducing errors. Stat. Med. 1996, 15, 361–387. [Google Scholar] [CrossRef]
- Oterdoom, L.H.; van Ree, R.M.; de Vries, A.P.J.; Gansevoort, R.T.; Schouten, J.P.; van Son, W.J.; Homan van der Heide, J.J.; Navis, G.; de Jong, P.E.; Gans, R.O.B.; et al. Urinary Creatinine Excretion Reflecting Muscle Mass is a Predictor of Mortality and Graft Loss in Renal Transplant Recipients. Transplantation 2008, 86, 391–398. [Google Scholar] [CrossRef] [PubMed]
- Gomes-Neto, A.W.; Osté, M.C.J.; Sotomayor, C.G.; Berg, E.V.D.; Geleijnse, J.M.; Gans, R.O.B.; Bakker, S.J.L.; Navis, G.J. Fruit and Vegetable Intake and Risk of Post Transplantation Diabetes Mellitus in Renal Transplant Recipients. Diabetes Care 2019, 42, 1645–1652. [Google Scholar] [CrossRef] [PubMed]
- Noordzij, M.; Leffondré, K.; Van Stralen, K.J.; Zoccali, C.; Dekker, F.W.; Jager, K.J. When do we need competing risks methods for survival analysis in nephrology? Nephrol. Dial. Transpl. 2013, 28, 2670–2677. [Google Scholar] [CrossRef] [PubMed]
- Von Elm, E.; Altman, D.G.; Egger, M.; Pocock, S.J.; Gøtzsche, P.C.; Vandenbroucke, J.P. The Strengthening the Reporting of Observational Studies in Epidemiology (STROBE) statement: Guidelines for reporting observational studies. Lancet 2007, 370, 1453–1457. [Google Scholar] [CrossRef]
- Zhu, X.; Zhou, X.; Zhang, Y.; Sun, X.; Liu, H.; Zhang, Y. Reporting and methodological quality of survival analysis in articles published in Chinese oncology journals. Medicine 2017, 96, e9204. [Google Scholar] [CrossRef]
- Dantal, J.; Hourmant, M.; Cantarovich, D.; Giral, M.; Blancho, G.; Dreno, B.; Soulillou, J.P. Effect of long-term immunosuppression in kidney-graft recipients on cancer incidence: Randomised comparison of two cyclosporin regimens. Lancet 1998, 351, 623–628. [Google Scholar] [CrossRef]
- Gutierrez-Dalmau, A.; Campistol, J.M. Immunosuppressive therapy and malignancy in organ transplant recipients: A systematic review. Drugs 2007, 67, 1167–1198. [Google Scholar] [CrossRef]
- Karpe, K.M.; Talaulikar, G.S.; Walters, G.D. Calcineurin inhibitor withdrawal or tapering for kidney transplant recipients. Cochrane Database Syst. Rev. 2017. [Google Scholar] [CrossRef]
- Kao, C.C.; Liu, J.S.; Lin, M.H.; Hsu, C.Y.; Chang, F.C.; Lin, Y.C.; Chen, H.H.; Chen, T.W.; Hsu, C.C.; Wu, M.S. Impact of mTOR Inhibitors on Cancer Development in Kidney Transplantation Recipients: A Population-Based Study. Transpl. Proc. 2016, 48, 900–904. [Google Scholar] [CrossRef]
- Piselli, P.; Serraino, D.; Segoloni, G.P.; Sandrini, S.; Piredda, G.B.; Scolari, M.P.; Rigotti, P.; Busnach, G.; Messa, P.; Donati, D.; et al. Risk of de novo cancers after transplantation: Results from a cohort of 7217 kidney transplant recipients, Italy 1997–2009. Eur. J. Cancer 2013, 49, 336–344. [Google Scholar] [CrossRef] [PubMed]
- Mastrangelo, D.; Pelosi, E.; Castelli, G.; Lo-Coco, F.; Testa, U. Mechanisms of anti-cancer effects of ascorbate: Cytotoxic activity and epigenetic modulation. Blood Cells. Mol. Dis. 2018, 69, 57–64. [Google Scholar] [CrossRef] [PubMed]
- Du, J.; Cullen, J.J.; Buettner, G.R. Ascorbic acid: Chemistry, biology and the treatment of cancer. Biochim. Biophys. Acta 2012, 1826, 443–457. [Google Scholar] [CrossRef] [PubMed]
- Cimmino, L.; Neel, B.G.; Aifantis, I. Vitamin C in Stem Cell Reprogramming and Cancer. Trends Cell Biol. 2018, 28, 698–708. [Google Scholar] [CrossRef]
- Shenoy, N.; Creagan, E.; Witzig, T.; Levine, M. Ascorbic Acid in Cancer Treatment: Let the Phoenix Fly. Cancer Cell 2018, 34, 700–706. [Google Scholar] [CrossRef]
- Saglimbene, V.M.; Wong, G.; Ruospo, M.; Palmer, S.C.; Garcia-Larsen, V.; Natale, P.; Teixeira-Pinto, A.; Campbell, K.L.; Carrero, J.-J.; Stenvinkel, P.; et al. Fruit and Vegetable Intake and Mortality in Adults undergoing Maintenance Hemodialysis. Clin. J. Am. Soc. Nephrol. 2019, 14, 250–260. [Google Scholar] [CrossRef] [PubMed]
- Lin, J.; Cook, N.R.; Albert, C.; Zaharris, E.; Gaziano, J.M.; Van Denburgh, M.; Buring, J.E.; Manson, J.E. Vitamins C and E and Beta Carotene Supplementation and Cancer Risk: A Randomized Controlled Trial. J. Natl. Cancer Inst. 2009, 101, 14–23. [Google Scholar] [CrossRef]
- Genkinger, J.M.; Platz, E.A.; Hoffman, S.C.; Comstock, G.W.; Helzlsouer, K.J. Fruit, Vegetable, and Antioxidant Intake and All-Cause, Cancer, and Cardiovascular Disease Mortality in a Community-dwelling Population in Washington County, Maryland. Am. J. Epidemiol. 2004, 160, 1223–1233. [Google Scholar] [CrossRef]
- Lunet, N.; Valbuena, C.; Vieira, A.L.; Lopes, C.; Lopes, C.; David, L.; Carneiro, F.; Barros, H. Fruit and vegetable consumption and gastric cancer by location and histological type: Case–control and meta-analysis. Eur. J. Cancer Prev. 2007, 16, 312–327. [Google Scholar] [CrossRef]
- Gandini, S.; Merzenich, H.; Robertson, C.; Boyle, P. Meta-analysis of studies on breast cancer risk and diet. Eur. J. Cancer 2000, 36, 636–646. [Google Scholar] [CrossRef]
- Pavia, M.; Pileggi, C.; Nobile, C.G.; Angelillo, I.F. Association between fruit and vegetable consumption and oral cancer: A meta-analysis of observational studies. Am. J. Clin. Nutr. 2006, 83, 1126–1134. [Google Scholar] [CrossRef] [PubMed]
- Ames, B.N. Dietary carcinogens and anticarcinogens. Oxygen radicals and degenerative diseases. Science 1983, 221, 1256–1264. [Google Scholar] [CrossRef] [PubMed]
- Mustafi, S.; Sant, D.W.; Liu, Z.J.; Wang, G. Ascorbate induces apoptosis in melanoma cells by suppressing Clusterin expression. Sci. Rep. 2017, 7, 3671. [Google Scholar] [CrossRef] [PubMed]
- Bjelakovic, G.; Nikolova, D.; Simonetti, R.G.; Gluud, C. Antioxidant supplements for prevention of gastrointestinal cancers: A systematic review and meta-analysis. Lancet 2004, 364, 1219–1228. [Google Scholar] [CrossRef]
- Vamvakas, S.; Bahner, U.; Heidland, A. Cancer in End-Stage Renal Disease: Potential Factors Involved. Am. J. Nephrol. 1998, 18, 89–95. [Google Scholar] [CrossRef] [PubMed]
- Ames, B.N.; Gold, L.S.; Willett, W.C. The causes and prevention of cancer. Proc. Natl. Acad. Sci. USA 1995, 92, 5258–5265. [Google Scholar] [CrossRef]
- Maisonneuve, P.; Agodoa, L.; Gellert, R.; Stewart, J.H.; Buccianti, G.; Lowenfels, A.B.; Wolfe, R.A.; Jones, E.; Disney, A.P.S.; Briggs, D.; et al. Cancer in patients on dialysis for end-stage renal disease: An international collaborative study. Lancet 1999, 354, 93–99. [Google Scholar] [CrossRef]
- Malachi, T.; Zevin, D.; Gafter, U.; Chagnac, A.; Slor, H.; Levi, J. DNA repair and recovery of RNA synthesis in uremic patients. Kidney Int. 1993, 44, 385–389. [Google Scholar] [CrossRef][Green Version]
- Roselaar, S.E.; Nazhat, N.B.; Winyard, P.G.; Jones, P.; Cunningham, J.; Blake, D.R. Detection of oxidants in uremic plasma by electron spin resonance spectroscopy. Kidney Int. 1995, 48, 199–206. [Google Scholar] [CrossRef]
- Xu, H.; Matsushita, K.; Su, G.; Trevisan, M.; Ärnlöv, J.; Barany, P.; Lindholm, B.; Elinder, C.-G.; Lambe, M.; Carrero, J.-J. Estimated Glomerular Filtration Rate and the Risk of Cancer. Clin. J. Am. Soc. Nephrol. 2019, 14, 530–539. [Google Scholar] [CrossRef]
- Thomas, L.D.K.; Elinder, C.-G.; Tiselius, H.-G.; Wolk, A.; Åkesson, A. Ascorbic Acid Supplements and Kidney Stone Incidence Among Men: A Prospective Study. JAMA Intern. Med. 2013, 173, 386. [Google Scholar] [CrossRef] [PubMed]
- Ferraro, P.M.; Curhan, G.C.; Gambaro, G.; Taylor, E.N. Total, Dietary, and Supplemental Vitamin C Intake and Risk of Incident Kidney Stones. Am. J. Kidney Dis. 2016, 67, 400–407. [Google Scholar] [CrossRef] [PubMed]
- Koenig, W.; Sund, M.; Fröhlich, M.; Löwel, H.; Hutchinson, W.L.; Pepys, M.B. Refinement of the association of serum C-reactive protein concentration and coronary heart disease risk by correction for within-subject variation over time: The MONICA Augsburg studies, 1984 and 1987. Am. J. Epidemiol. 2003, 158, 357–364. [Google Scholar] [CrossRef] [PubMed]
- Block, G.; Dietrich, M.; Norkus, E.; Jensen, C.; Benowitz, N.L.; Morrow, J.D.; Hudes, M.; Packer, L. Intraindividual variability of plasma antioxidants, markers of oxidative stress, C-reactive protein, cotinine, and other biomarkers. Epidemiology 2006, 17, 404–412. [Google Scholar] [CrossRef] [PubMed]
- Van Ree, R.M.; De Vries, A.P.J.; Oterdoom, L.H.; Seelen, M.A.; Gansevoort, R.T.; Schouten, J.P.; Struck, J.; Navis, G.; Gans, R.O.B.; Van Der Heide, J.J.H.; et al. Plasma procalcitonin is an independent predictor of graft failure late after renal transplantation. Transplantation 2009, 88, 279–287. [Google Scholar] [CrossRef] [PubMed]
- Danesh, J.; Wheeler, J.G.; Hirschfield, G.M.; Eda, S.; Eiriksdottir, G.; Rumley, A.; Lowe, G.D.O.; Pepys, M.B.; Gudnason, V. C-Reactive Protein and Other Circulating Markers of Inflammation in the Prediction of Coronary Heart Disease. N. Engl. J. Med. 2004, 350, 1387–1397. [Google Scholar] [CrossRef] [PubMed]
- Yokoyama, T.; Date, C.; Kokubo, Y.; Yoshiike, N.; Matsumura, Y.; Tanaka, H. Serum Vitamin C Concentration Was Inversely Associated with Subsequent 20-Year Incidence of Stroke in a Japanese Rural Community. Stroke 2000, 31, 2287–2294. [Google Scholar] [CrossRef]
- Deicher, R.; Ziai, F.; Bieglmayer, C.; Schillinger, M.; Hörl, W.H. Low total vitamin C plasma level is a risk factor for cardiovascular morbidity and mortality in hemodialysis patients. J. Am. Soc. Nephrol. 2005, 16, 1811–1818. [Google Scholar] [CrossRef]
- Czernichow, S.; Vergnaud, A.C.; Galan, P.; Arnaud, J.; Favier, A.; Faure, H.; Huxley, R.; Hercberg, S.; Ahluwalia, N. Effects of long-term antioxidant supplementation and association of serum antioxidant concentrations with risk of metabolic syndrome in adults. Am. J. Clin. Nutr. 2009, 90, 329–335. [Google Scholar] [CrossRef]
- Moyad, M.A.; Combs, M.A.; Vrablic, A.S.; Velasquez, J.; Turner, B.; Bernal, S. Vitamin C metabolites, independent of smoking status, significantly enhance leukocyte, but not plasma ascorbate concentrations. Adv. Ther. 2008, 25, 995–1009. [Google Scholar] [CrossRef]
- Eisenga, M.F.; Gomes-Neto, A.W.; van Londen, M.; Ziengs, A.L.; Douwes, R.M.; Stam, S.P.; Osté, M.C.J.; Knobbe, T.J.; Hessels, N.R.; Buunk, A.M.; et al. Rationale and design of TransplantLines: A prospective cohort study and biobank of solid organ transplant recipients. BMJ Open 2018, 8, e024502. [Google Scholar] [CrossRef] [PubMed]


| Baseline Characteristics | All Patients |
|---|---|
| Study subjects, n (%) | 598 (100) |
| Plasma vitamin C, µmol/L, mean (SD) | 44 (20) |
| Demographics | |
| Age, years, mean (SD) | 51 (12) |
| Sex, male, n (%) | 328 (55) |
| Caucasian ethnicity, n (%) | 577 (97) |
| Body composition | |
| Body mass index, kg/m2, mean (SD) | 26.0 (4.3) |
| Body surface area, m2, mean (SD) | 1.9 (0.2) |
| Waist circumference, cm, mean (SD) a | 97 (14) |
| Kidney allograft function | |
| estimated Glomerular Filtration Rate, mL/min/1.73 m2, mean (SD) | 47 (16) |
| Proteinuria ≥0.5 g/24 h, n (%) b | 166 (28) |
| Tobacco use | |
| Never smoker, n (%) | 214 (36) |
| Ex-smoker, n (%) | 251 (42) |
| Current smoker, n (%) | 131 (22) |
| Blood pressure | |
| Systolic blood pressure, mmHg, mean (SD) | 153 (23) |
| Diastolic blood pressure, mmHg, mean (SD) | 90 (10) |
| Prior history of cardiovascular disease | |
| History of myocardial infarction, n (%) c | 48 (8) |
| History of cerebrovascular accident or transient ischemic attack, n (%) c | 32 (5) |
| Diet | |
| Fruit intake, servings/day, mean (SD) d | 1.5 (1.0) |
| Vegetable intake, tablespoons/day, mean (SD) d | 2.5 (0.8) |
| Diabetes and glucose homeostasis | |
| Diabetes, n (%) | 105 (18) |
| HbA1C, %, mean (SD) a | 6.5 (1.1) |
| Insulin, µU/mL, median (IQR) | 11.2 (8.0–16.3) |
| Glucose, mmol/L, median (IQR) | 4.5 (4.1–5.0) |
| Laboratory measurements | |
| Leukocyte concentration, × 109/L, mean (SD) b | 8.6 (2.4) |
| hs-CRP, mg/L, median (IQR) | 2.0 (0.8–4.8) |
| Albumin, g/L, mean (SD) a | 41 (3) |
| Lipids | |
| Total cholesterol, mmol/L, mean (SD) | 5.6 (1.1) |
| HDL cholesterol, mmol/L, mean (SD) | 1.1 (0.3) |
| LDL cholesterol, mmol/L, mean (SD) | 3.5 (1.0) |
| Free fatty acids, µmol/L, mean (SD) e | 403 (180) |
| Triglycerides, mmol/L, median (IQR) | 1.9 (1.4–2.6) |
| Oxidative stress | |
| Uric acid, mmol/L, mean (SD) f | 0.45 (0.13) |
| Malondialdehyde, µmol/L, mean (SD) b | 5.6 (1.8) |
| Gamma-glutamyl transpeptidase, U/L, median (IQR) c | 24 (18–39) |
| Alkaline phosphatase, U/L, median (IQR) a | 72 (57–94) |
| Kidney transplant and immunosuppressive therapy | |
| Dialysis vintage, months, median (IQR) | 27 (13–48) |
| Time since transplantation, years, median (IQR) | 6 (3–11) |
| Donor type (living), n (%) | 83 (14) |
| Use of calcineurin inhibitor, n (%) | 470 (79) |
| Cyclosporine, n (%) | 386 (65) |
| Tacrolimus, n (%) | 84 (14) |
| Use of antimetabolites, n (%) | 441 (74) |
| Azathioprine, n (%) | 194 (32) |
| Mycophenolate acid, n (%) | 247 (41) |
| Use of mammalian target of rapamycin inhibitors, n (%) | 10 (1.7) |
| Cumulative dose of prednisolone, g, median (IQR) b | 21 (11–38) |
| Baseline Characteristics | Plasma Vitamin C (Log2), µmol/L | |
|---|---|---|
| Linear Regression † | Backwards Linear Regression § | |
| Std. β | Std. β | |
| Study subjects, n (%) | ― | ― |
| Plasma vitamin C, µmol/L, mean (SD) | ― | ― |
| Demographics | ||
| Age, years | −0.56 | |
| Sex, male | −0.19 *** | −0.18 *** |
| Caucasian ethnicity | −0.21 | |
| Body composition | ||
| Body mass index, kg/m2 | −0.08 * | ~ |
| Body surface area, m2 | −0.06 | |
| Waist circumference, cm | −0.15 *** | ~ |
| Kidney allograft function | ||
| estimated Glomerular Filtration Rate, mL/min/1.73 m2 | 0.11 *** | ~ |
| Proteinuria ≥0.5 g/24 h | −0.11 *** | −0.11 ** |
| Tobacco use | ||
| Never smoker | 0.03 | |
| Ex-smoker | 0.08 * | ~ |
| Current smoker | −0.11 *** | ~ |
| Blood pressure | ||
| Systolic blood pressure, mmHg | −0.12 *** | ~ |
| Diastolic blood pressure, mm Hg | −0.1 ** | −0.16 *** |
| Prior history of cardiovascular disease | ||
| History of myocardial infarction | −0.01 | |
| History of cerebrovascular accident or transient ischemic attack | −0.04 | |
| Diet | ||
| Fruit intake, servings/day | 0.22 *** | 0.22 *** |
| Vegetable intake, tablespoons/day | 0.09 * | ~ |
| Diabetes and glucose homeostasis | ||
| Diabetes | −0.11 *** | ~ |
| HbA1C, % | −0.13 *** | −0.14 *** |
| Insulin, µU/mL | −0.09 ** | ~ |
| Glucose, mmol/L | −0.07 * | ~ |
| Laboratory measurements | ||
| Leukocyte concentration, x × 109/L | −0.03 | |
| hs-CRP, mg/L | −0.14 *** | −0.17 *** |
| Albumin, g/L | 0.14 *** | ~ |
| Lipids | ||
| Total cholesterol, mmol/L | 0.05 | |
| HDL cholesterol, mmol/L | 0.12 *** | ~ |
| LDL cholesterol, mmol/L | 0.07 * | ~ |
| Free fatty acids, µmol/L | −0.07 | |
| Triglycerides, mmol/L | −0.09 ** | ~ |
| Oxidative stress | ||
| Uric acid, mmol/L | −0.14 *** | ~ |
| Malondialdehyde, µmol/L | 0.01 | |
| Gamma-glutamyl transpeptidase, U/L | −0.05 | |
| Alkaline phosphatase, U/L | −0.18 *** | −0.15 *** |
| Kidney transplant and immunosuppressive therapy | ||
| Dialysis vintage, months | −0.09 ** | −0.09 ** |
| Time since transplantation, years | 0.18 *** | ~ |
| Donor type (living) | 0.02 | |
| Use of calcineurin inhibitor | −0.08 ** | ~ |
| Cyclosporine | −0.03 | |
| Tacrolimus | −0.06 | |
| Use of antimetabolites | 0.01 | |
| Azathioprine | 0.10 ** | ~ |
| Mycophenolate acid | −0.09 ** | ~ |
| Use of mammalian target of rapamycin inhibitors | −0.09 ** | ~ |
| Cumulative dose of prednisolone, g | 0.17 *** | ~ |
| Models | Vitamin C (Log2), Continuous (µmol/L) | ||
|---|---|---|---|
| HR a | 95% CI | p Value | |
| Crude | 0.63 | 0.43–0.92 | 0.016 |
| Model 1 | 0.61 | 0.43–0.87 | 0.006 |
| Model 2 | 0.52 | 0.35–0.75 | 0.001 |
| Model 3 | 0.50 | 0.34–0.74 | <0.001 |
| Model 4 | 0.49 | 0.33–0.72 | <0.001 |
| Model 5 | 0.55 | 0.38–0.80 | 0.002 |
| Model 6 | 0.47 | 0.32–0.70 | <0.001 |
| Models | Vitamin C (Log2), Continuous (µmol/L) | ||
|---|---|---|---|
| HR | 95% CI | p Value | |
| Crude | 0.97 | 0.70–1.33 | 0.83 |
| Model 1 | 0.97 | 0.71–1.33 | 0.86 |
| Model 2 | 1.04 | 0.75–1.44 | 0.83 |
| Model 3 | 1.16 | 0.83–1.62 | 0.40 |
| Model 4 | 1.31 | 0.92–1.86 | 0.13 |
| Model 5 | 1.21 | 0.86–1.70 | 0.27 |
| Model 6 | 1.15 | 0.82–1.61 | 0.41 |
© 2019 by the authors. Licensee MDPI, Basel, Switzerland. This article is an open access article distributed under the terms and conditions of the Creative Commons Attribution (CC BY) license (http://creativecommons.org/licenses/by/4.0/).
Share and Cite
Gacitúa, T.A.; Sotomayor, C.G.; Groothof, D.; Eisenga, M.F.; Pol, R.A.; de Borst, M.H.; Gans, R.O.B.; Berger, S.P.; Rodrigo, R.; Navis, G.J.; et al. Plasma Vitamin C and Cancer Mortality in Kidney Transplant Recipients. J. Clin. Med. 2019, 8, 2064. https://doi.org/10.3390/jcm8122064
Gacitúa TA, Sotomayor CG, Groothof D, Eisenga MF, Pol RA, de Borst MH, Gans ROB, Berger SP, Rodrigo R, Navis GJ, et al. Plasma Vitamin C and Cancer Mortality in Kidney Transplant Recipients. Journal of Clinical Medicine. 2019; 8(12):2064. https://doi.org/10.3390/jcm8122064
Chicago/Turabian StyleGacitúa, Tomás A., Camilo G. Sotomayor, Dion Groothof, Michele F. Eisenga, Robert A. Pol, Martin H. de Borst, Rijk O.B. Gans, Stefan P. Berger, Ramón Rodrigo, Gerjan J. Navis, and et al. 2019. "Plasma Vitamin C and Cancer Mortality in Kidney Transplant Recipients" Journal of Clinical Medicine 8, no. 12: 2064. https://doi.org/10.3390/jcm8122064
APA StyleGacitúa, T. A., Sotomayor, C. G., Groothof, D., Eisenga, M. F., Pol, R. A., de Borst, M. H., Gans, R. O. B., Berger, S. P., Rodrigo, R., Navis, G. J., & Bakker, S. J. L. (2019). Plasma Vitamin C and Cancer Mortality in Kidney Transplant Recipients. Journal of Clinical Medicine, 8(12), 2064. https://doi.org/10.3390/jcm8122064

