Associations between Plasma Biomarkers and Cognition in Patients with Alzheimer’s Disease and Amnestic Mild Cognitive Impairment: A Cross-Sectional and Longitudinal Study
Abstract
1. Introduction
2. Materials and Methods
2.1. Participant Recruitment
2.2. Ethical Approval and Consent to Participate
2.3. Preparation of Plasma Samples
2.4. Plasma Biomarker Assays
2.5. Analysis of Apolipoprotein E Alleles
2.6. Statistical Analysis
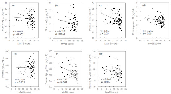
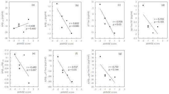
3. Results
4. Discussion
Author Contributions
Funding
Acknowledgments
Conflicts of Interest
Availability of Data and Materials
Abbreviations
References
- Salmon, D.P.; Bondi, M.W. Neuropsychological assessment of dementia. Annu. Rev. Psychol. 2009, 60, 257–282. [Google Scholar] [CrossRef] [PubMed]
- Chertkow, H.; Feldman, H.H.; Jacova, C.; Massoud, F. Definitions of dementia and predementia states in Alzheimer’s disease and vascular cognitive impairment: Consensus from the Canadian conference on diagnosis of dementia. Alzheimer’s Res. Ther. 2013, 5 (Suppl. 1), S2. [Google Scholar] [CrossRef] [PubMed]
- Knopman, D.S.; Petersen, R.C. Mild cognitive impairment and mild dementia: A clinical perspective. Mayo Clin. Proc. 2014, 89, 1452–1459. [Google Scholar] [CrossRef] [PubMed]
- Bartzokis, G.; Lu, P.H.; Mintz, J. Human brain myelination and amyloid beta deposition in Alzheimer’s disease. Alzheimer’s Dement. 2007, 3, 122–125. [Google Scholar] [CrossRef] [PubMed]
- Alafuzoff, I.; Thal, D.R.; Arzberger, T.; Bogdanovic, N.; Al-Sarraj, S.; Bodi, I.; Bugiani, O.; Duyckaerts, C.; Gelpi, E.; Gentleman, S.; et al. Assessment of β-amyloid deposits in human brain: A study of the brain net Europe Consortium. Acta Neuropathol. 2009, 117, 309–320. [Google Scholar] [CrossRef] [PubMed]
- Karran, E.; Mercken, M.; De Strooper, B. The amyloid cascade hypothesis for Alzheimer’s disease: An appraisal for the development of therapeutics. Nat. Rev. Drug Discov. 2011, 10, 698–712. [Google Scholar] [CrossRef] [PubMed]
- Pini, L.; Pievani, M.; Bocchetta, M.; Altomare, D.; Bosco, P.; Cavedo, E.; Galluzzi, S.; Marizzoni, M.; Frisoni, G.B. Brain atrophy in Alzheimer’s Disease and aging. Ageing Res. Rev. 2016, 30, 25–48. [Google Scholar] [CrossRef]
- Pereira, J.B.; Westman, E.; Hansson, O.; Alzheimer’s Disease Neuroimaging Initiative. Association between cerebrospinal fluid and plasma neurodegeneration biomarkers with brain atrophy in Alzheimer’s disease. Neurobiol. Aging 2017, 58, 14–29. [Google Scholar] [CrossRef]
- Chiu, M.J.; Chen, Y.F.; Chen, T.F.; Yang, S.Y.; Yang, F.P.; Tseng, T.W.; Chieh, J.J.; Chen, J.C.; Tzen, K.Y.; Hua, M.S.; et al. Plasma tau as a window to the brain-negative associations with brain volume and memory function in mild cognitive impairment and early Alzheimer’s disease. Hum. Brain Mapp. 2014, 35, 3132–3142. [Google Scholar] [CrossRef]
- Blennow, K. Cerebrospinal fluid protein biomarkers for Alzheimer’s disease. NeuroRx 2004, 1, 213–225. [Google Scholar] [CrossRef]
- Anoop, A.; Singh, P.K.; Jacob, R.S.; Maji, S.K. CSF biomarkers for Alzheimer’s disease diagnosis. Int. J. Alzheimer’s Dis. 2010, 2010, 606802. [Google Scholar] [CrossRef] [PubMed]
- Olsson, B.; Lautner, R.; Andreasson, U.; Öhrfelt, A.; Portelius, E.; Bjerke, M.; Hölttä, M.; Rosén, C.; Olsson, C.; Strobel, G.; et al. CSF and blood biomarkers for the diagnosis of Alzheimer’s disease: A systematic review and meta-analysis. Lancet Neurol. 2016, 15, 673–684. [Google Scholar] [CrossRef]
- Bibl, M.; Mollenhauer, B.; Esselmann, H.; Lewczuk, P.; Klafki, H.W.; Sparbier, K.; Smirnov, A.; Cepek, L.; Trenkwalder, C.; Rüther, E.; et al. CSF amyloid-β-peptides in Alzheimer’s disease, dementia with Lewy bodies and Parkinson’s disease dementia. Brain 2006, 129, 1177–1187. [Google Scholar] [CrossRef] [PubMed]
- Formichi, P.; Battisti, C.; Radi, E.; Federico, A. Cerebrospinal fluid tau, Aß, and phosphorylated tau protein for the diagnosis of Alzheimer’s disease. J. Cell. Physiol. 2006, 208, 39–46. [Google Scholar] [CrossRef]
- Brier, M.R.; Gordon, B.; Friedrichsen, K.; McCarthy, J.; Stern, A.; Christensen, J.; Owen, C.; Aldea, P.; Su, Y.; Hassenstab, J.; et al. Tau and Aβ imaging, CSF measures, and cognition in Alzheimer’s disease. Sci. Transl. Med. 2016, 8, 338ra66. [Google Scholar] [CrossRef]
- Agarwal, R.; Chhillar, N.; Mishra, V.N.; Tripathi, C. CSF tau and amyloid β42 levels in Alzheimer’s disease-a meta-analysis. Adv. Alzheimer’s Dis. 2012, 1, 30–44. [Google Scholar] [CrossRef][Green Version]
- Shaw, L.M.; Vanderstichele, H.; Knapik-Czajka, M.; Clark, C.M.; Aisen, P.S.; Petersen, R.C.; Blennow, K.; Soares, H.; Simon, A.; Lewczuk, P.; et al. Cerebrospinal fluid biomarker signature in Alzheimer’s Disease Neuroimaging Initiative subjects. Ann. Neurol. 2009, 65, 403–413. [Google Scholar] [CrossRef]
- Chiu, M.J.; Yang, S.Y.; Chen, T.F.; Chieh, J.J.; Huang, T.Z.; Yip, P.K.; Yang, H.C.; Cheng, T.W.; Chen, Y.F.; Hua, M.S.; et al. New assay for old markers-plasma beta amyloid of mild cognitive impairment and Alzheimer’s disease. Curr. Alzheimer Res. 2012, 9, 1142–1148. [Google Scholar] [CrossRef]
- Janelidze, S.; Stomrud, E.; Palmqvist, S.; Zetterberg, H.; van Westen, D.; Jeromin, A.; Song, L.; Hanlon, D.; Tan Hehir, C.A.; Baker, D.; et al. Plasma β-amyloid in Alzheimer’s disease and vascular disease. Sci. Rep. 2016, 6, 26801. [Google Scholar] [CrossRef]
- Nakamura, A.; Kaneko, N.; Villemagne, V.L.; Kato, T.; Doecke, J.; Doré, V.; Fowler, C.; Li, Q.X.; Martins, R.; Rowe, C.; et al. High performance plasma amyloid-β biomarkers for Alzheimer’s disease. Nature 2018, 554, 249–254. [Google Scholar] [CrossRef]
- Chiu, M.J.; Horng, H.E.; Chieh, J.J.; Liao, S.H.; Chen, C.H.; Shih, B.Y.; Yang, C.C.; Lee, C.L.; Chen, T.F.; Yang, S.Y.; et al. Multi-channel SQUID-based ultra-high-sensitivity in-vitro detections for bio-markers of Alzheimer’s disease via Immunomagnetic Reduction. IEEE Trans. Appl. Supercond. 2011, 21, 477–480. [Google Scholar] [CrossRef]
- Chiu, M.J.; Yang, S.Y.; Horng, H.E.; Yang, C.C.; Chen, T.F.; Chieh, J.J.; Chen, H.H.; Chen, T.C.; Ho, C.S.; Chang, S.F.; et al. Combined plasma biomarkers for diagnosing mild cognition impairment and Alzheimer’s disease. ACS Chem. Neurosci. 2013, 4, 1530–1536. [Google Scholar] [CrossRef] [PubMed]
- Lin, C.H.; Yang, S.Y.; Horng, H.E.; Yang, C.C.; Chieh, J.J.; Chen, H.H.; Liu, B.H.; Chiu, M.J. Plasma α-synuclein predicts cognitive decline in Parkinson’s disease. J. Neurol. Neurosurg. Psychiatry 2017, 88, 818–824. [Google Scholar] [CrossRef] [PubMed]
- Lue, L.F.; Sabbagh, M.N.; Chiu, M.J.; Jing, N.; Snyder, N.L.; Schmitz, C.; Guerra, A.; Belden, C.M.; Chen, T.F.; Yang, C.C.; et al. Plasma levels of Aβ42 and Tau identified probable Alzheimer’s dementia: Findings in two cohorts. Front. Aging Neurosci. 2017, 9, 226. [Google Scholar] [CrossRef] [PubMed]
- Tzen, K.Y.; Yang, S.Y.; Chen, T.F.; Cheng, T.W.; Horng, H.E.; Wen, H.P.; Huang, Y.Y.; Shiue, C.Y.; Chiu, M.J. Plasma Aβ but not tau is related to brain PiB retention in early Alzheimer’s disease. ACS Chem. Neurosci. 2014, 5, 830–836. [Google Scholar] [CrossRef] [PubMed]
- Fan, L.Y.; Tzen, K.Y.; Chen, Y.F.; Chen, T.F.; Lai, Y.M.; Yen, R.F.; Huang, Y.Y.; Shiue, C.Y.; Yang, S.Y.; Chiu, M.J. The relation between brain amyloid deposition, cortical atrophy, and plasma biomarkers in amnesic mild cognitive impairment and Alzheimer’s disease. Front. Aging Neurosci. 2018, 10, 175. [Google Scholar] [CrossRef] [PubMed]
- Lue, L.F.; Pai, M.C.; Chen, T.F.; Hu, C.J.; Huang, L.K.; Lin, W.C.; Wu, C.C.; Jeng, J.S.; Blennow, K.; Sabbagh, M.N.; et al. Age dependency and Inter-relation of plasma Aβ40, Aβ42, and total Tau levels in cognitive normal subjects. Front. Aging Neurosci. 2019, 11, 222. [Google Scholar] [CrossRef]
- Hannay, H.J.; Levin, H.S. Selective reminding test: An examination of the equivalence of four forms. J. Clin. Exp. Neuropsychol. 1985, 7, 251–263. [Google Scholar] [CrossRef]
- Hua, M.S.; Chang, B.S.; Lin, K.N.; Yang, J.M.; Lu, S.R.; Chen, S.Y. Wechsler Memory Scale, 3rd ed.; Chinese Behavioral Science Corporation: Taipei, Taiwan, 2005. (In Chinese) [Google Scholar]
- McKhann, G.M.; Knopman, D.S.; Chertkow, H.; Hyman, B.T.; Jack, C.R., Jr.; Kawas, C.H.; Klunk, W.E.; Koroshetz, W.J.; Manly, J.J.; Mayeux, R.; et al. The diagnosis of dementia due to Alzheimer’s disease: Recommendations from the National Institute on Aging Alzheimer’s Association workgroups on diagnostic guidelines for Alzheimer’s disease. Alzheimer’s Dement. 2011, 7, 263–269. [Google Scholar] [CrossRef]
- Albert, M.S.; DeKosky, S.T.; Dickson, D.; Dubois, B.; Feldman, H.H.; Fox, N.C.; Gamst, A.; Holtzman, D.M.; Jagust, W.J.; Petersen, R.C.; et al. The diagnosis of mild cognitive impairment due to Alzheimer’s disease: Recommendations from the National Institute on Aging-Alzheimer’s Association workgroups on diagnostic guidelines for Alzheimer’s disease. Alzheimer’s Dement. 2011, 7, 270–279. [Google Scholar] [CrossRef]
- Yang, C.C.; Chiu, M.J.; Chen, T.F.; Chang, H.L.; Liu, B.H.; Yang, S.Y. Assay of plasma phosphorylated tau protein (Threonine 181) and total tau protein in early-stage Alzheimer’s disease. J. Alzheimer’s Dis. 2018, 61, 1323–1332. [Google Scholar] [CrossRef] [PubMed]
- Hong, C.Y.; Wu, C.C.; Chiu, Y.C.; Yang, S.Y.; Horng, H.E.; Yang, H.C. Magnetic Susceptibility Reduction Method for Magnetically Labeled Immunoassay. Appl. Phys. Lett. 2006, 88, 212512. [Google Scholar] [CrossRef]
- Yang, S.Y.; Wang, W.C.; Lan, C.B.; Chen, C.H.; Chieh, J.J.; Horng, H.E.; Hong, C.Y.; Yang, H.C.; Tsai, C.P.; Yang, C.Y.; et al. Magnetically enhanced high-specificity virus detection using bio-activated magnetic nanoparticles with antibodies as labeling markers. J. Virol. Methods 2010, 164, 14–18. [Google Scholar] [CrossRef] [PubMed]
- Donohue, M.C.; Moghadam, S.H.; Roe, A.D.; Sun, C.K.; Edland, S.D.; Thomas, R.G.; Petersen, R.C.; Sano, M.; Galasko, D.; Aisen, P.S.; et al. Longitudinal plasma amyloid beta in Alzheimer’s disease clinical trials. Alzheimer’s Dement. 2015, 11, 1069–1079. [Google Scholar] [CrossRef]
- Scheltens, P.; Blennow, K.; Breteler, M.M.; de Strooper, B.; Frisoni, G.B.; Salloway, S.; Van der Flier, W.M. Alzheimer’s disease. Lancet 2016, 388, 505–517. [Google Scholar] [CrossRef]
- Blennow, K.; Zetterberg, H. The past and the future of Alzheimer’s disease fluid biomarkers. J. Alzheimer’s Dis. 2018, 62, 1125–1140. [Google Scholar] [CrossRef]
- Ravaglia, S.; Bini, P.; Sinforiani, E.; Franciotta, D.; Zardini, E.; Tosca, P.; Moglia, A.; Costa, A. Cerebrospinal fluid levels of tau phosphorylated at threonine 181 in patients with Alzheimer’s disease and vascular dementia. Neurol. Sci. 2008, 29, 417–423. [Google Scholar] [CrossRef]
- Blennow, K.; Hampel, H.; Weiner, M.; Zetterberg, H. Cerebrospinal fluid and plasma biomarkers in Alzheimer disease. Nat. Rev. Neurol. 2010, 6, 131–144. [Google Scholar] [CrossRef]
- Malnar, M.; Kosicek, M.; Bene, R.; Tarnik, I.P.; Pavelin, S.; Babic, I.; Brajenovic-Milic, B.; Hecimovic, H.; Titlic, M.; Trkanjec, Z.; et al. Use of cerebrospinal fluid biomarker analysis for improving Alzheimer’s disease diagnosis in a non-specialized setting. Acta Neurobiol. Exp. 2012, 72, 264–271. [Google Scholar]
- Kandimalla, R.J.L.; Prabhakar, S.; Wani, W.Y.; Kaushal, A.; Gupta, N.; Sharma, D.R.; Grover, V.K.; Bhardwaj, N.; Jain, K.; Gill, K.D. CSF p-tau levels in the prediction of Alzheimer’s disease. Biol. Open 2013, 2, 1119–1124. [Google Scholar] [CrossRef] [PubMed]
- Zetterberg, H.; Wilson, D.; Andreasson, U.; Minthon, L.; Blennow, K.; Randall, J.; Hansson, O. Plasma tau levels in Alzheimer’s disease. Alzheimer’s Res. Ther. 2013, 5, 9. [Google Scholar] [CrossRef] [PubMed]
- Teunissen, C.E.; Chiu, M.J.; Yang, C.C.; Yang, S.Y.; Scheltens, P.; Zetterberg, H.; Blennow, K. Plasma Amyloid-β (Aβ42) Correlates with Cerebrospinal Fluid Aβ42 in Alzheimer’s Disease. J. Alzheimer’s Dis. 2018, 62, 1857–1863. [Google Scholar] [CrossRef] [PubMed]
- Huang, C.W.; Wang, S.J.; Wu, S.J.; Yang, C.C.; Huang, M.W.; Lin, C.H.; Cheng, I.H. Potential blood biomarker for disease severity in the Taiwanese population with Alzheimer’s disease. Am. J. Alzheimer’s Dis. Other Dement. 2013, 28, 75–83. [Google Scholar] [CrossRef]
- Du, Z.; Li, Y.; Li, J.; Zhou, C.; Li, F.; Yang, X. Physical activity can improve cognition in patients with Alzheimer’s disease: A systematic review and meta-analysis of randomized controlled trials. Clin. Interv. Aging 2018, 13, 1593–1603. [Google Scholar] [CrossRef] [PubMed]
- Mattsson, N.; Cullen, N.C.; Andreasson, U.; Zetterberg, H.; Blennow, K. Association between longitudinal plasma neurofilament light and neurodegeneration in patients with Alzheimer disease. JAMA Neurol. 2019, 76, 791–799. [Google Scholar] [CrossRef]
- Dugger, B.N.; Whiteside, C.M.; Maarouf, C.L.; Walker, D.G.; Beach, T.G.; Sue, L.I.; Garcia, A.; Dunckley, T.; Meechoovet, B.; Reiman, E.M.; et al. The Presence of Select Tau Species in Human Peripheral Tissues and Their Relation to Alzheimer’s Disease. J. Alzheimer’s Dis. 2016, 51, 345–356. [Google Scholar] [CrossRef]



| Diagnostic Group | HC | Patients | Patients | |
|---|---|---|---|---|
| aMCI | AD | |||
| N (female %) | 13 (76.9%) | 77 (77.9%) | 40 (80%) | 37 (75.7%) |
| Age (years) | 64.4 ± 5.7 | 74.6 ± 8.2 ** | 72.4 ± 7.6 | 77.0 ± 8.3 |
| Education (years) | 11.2 ± 3.8 | 8.9 ± 4.9 * | 8.0 ± 4.5 | 9.8 ± 5.2 |
| CDR | 0.0 ± 0.0 | 1.1 ± 2.0 | 0.5 ± 1.0 | 1.5 ± 2.8 |
| MMSE | 29.5 ± 0.5 | 23.2 ± 5.2 ** | 26.1 ± 2.8 | 20.2 ± 5.4 |
| ApoE ε4 allele frequency (N) | 16.7% (6) | 9.8% (48) | 9.6% (16) | 15.6% (32) |
| Aβ1-40 (pg/mL) | 51.8 ± 5.1 | 51.8 ± 4.3 | 51.9 ± 4.9 | 51.7 ± 3.7 |
| Aβ1-42 (pg/mL) | 16.7 ± 0.7 | 17.2 ± 0.8 * | 17.0 ± 0.7 | 17.4 ± 1.0 |
| t-Tau (pg/mL) | 22.5 ± 3.4 | 25.8 ± 4.5 * | 24.5 ± 4.0 | 27.1 ± 4.8 |
| p-Tau181 (pg/mL) | 3.53 ± 0.55 | 3.95 ± 0.83 * | 3.82 ± 0.71 | 4.09 ± 0.94 |
| Aβ1-42/Aβ1-40 | 0.326 ± 0.035 | 0.330 ± 0.034 | 0.330 ± 0.035 | 0.338 ± 0.032 |
| Aβ1-42 × t-Tau (pg2/mL2) | 377.8 ± 65.8 | 441.7 ± 97.6 * | 418.3 ± 80.3 | 473.2 ± 107.4 |
| Aβ1-42 × p-Tau181 (pg2/mL2) | 59.1 ± 10.3 | 68.2 ± 16.7 * | 65.0 ± 13.3 | 71.6 ± 19.4 |
| Patient | A | B | C | D | E | |||||
|---|---|---|---|---|---|---|---|---|---|---|
| Baseline diagnostic group | aMCI | aMCI | aMCI | AD | AD | |||||
| Gender | Female | Female | Female | Male | Female | |||||
| Visit | B | F | B | F | B | F | B | F | B | F |
| Age (years) | 72 | 74 | 80 | 82 | 87 | 88 | 95 | 97 | 73 | 74 |
| MMSE | 25 | 24 | 28 | 27 | 27 | 25 | 20 | 21 | 21 | 21 |
| Aβ1-40 (pg/mL) | 60.5 | 50.8 | 49.0 | 42.3 | 59.2 | 45.7 | 47.0 | 48.3 | 64.1 | 44.4 |
| Aβ1-42 (pg/mL) | 16.1 | 16.6 | 18.2 | 17.4 | 16.0 | 17.9 | 17.7 | 16.3 | 16.8 | 16.7 |
| t-Tau (pg/mL) | 24.3 | 16.2 | 30.1 | 25.8 | 20.4 | 28.5 | 32.6 | 16.9 | 27.8 | 17.5 |
| p-Tau181 (pg/mL) | 3.38 | 2.27 | 4.50 | 3.55 | 2.62 | 4.21 | 4.16 | 3.10 | 4.25 | 2.43 |
| Aβ1-42/Aβ1-40 | 0.267 | 0.326 | 0.372 | 0.412 | 0.271 | 0.390 | 0.376 | 0.337 | 0.262 | 0.377 |
| Aβ1-42 × t-Tau (pg2/mL2) | 391.4 | 268.5 | 549.5 | 466.3 | 326.7 | 508.4 | 576.1 | 274.5 | 466.9 | 292.5 |
| Aβ1-42 × p-Tau181 (pg2/mL2) | 54.5 | 37.6 | 82.1 | 62.0 | 42.0 | 75.2 | 73.7 | 50.4 | 71.3 | 40.6 |
© 2019 by the authors. Licensee MDPI, Basel, Switzerland. This article is an open access article distributed under the terms and conditions of the Creative Commons Attribution (CC BY) license (http://creativecommons.org/licenses/by/4.0/).
Share and Cite
Tsai, C.-L.; Liang, C.-S.; Lee, J.-T.; Su, M.-W.; Lin, C.-C.; Chu, H.-T.; Tsai, C.-K.; Lin, G.-Y.; Lin, Y.-K.; Yang, F.-C. Associations between Plasma Biomarkers and Cognition in Patients with Alzheimer’s Disease and Amnestic Mild Cognitive Impairment: A Cross-Sectional and Longitudinal Study. J. Clin. Med. 2019, 8, 1893. https://doi.org/10.3390/jcm8111893
Tsai C-L, Liang C-S, Lee J-T, Su M-W, Lin C-C, Chu H-T, Tsai C-K, Lin G-Y, Lin Y-K, Yang F-C. Associations between Plasma Biomarkers and Cognition in Patients with Alzheimer’s Disease and Amnestic Mild Cognitive Impairment: A Cross-Sectional and Longitudinal Study. Journal of Clinical Medicine. 2019; 8(11):1893. https://doi.org/10.3390/jcm8111893
Chicago/Turabian StyleTsai, Chia-Lin, Chih-Sung Liang, Jiunn-Tay Lee, Ming-Wei Su, Chun-Chieh Lin, Hsuan-Te Chu, Chia-Kuang Tsai, Guan-Yu Lin, Yu-Kai Lin, and Fu-Chi Yang. 2019. "Associations between Plasma Biomarkers and Cognition in Patients with Alzheimer’s Disease and Amnestic Mild Cognitive Impairment: A Cross-Sectional and Longitudinal Study" Journal of Clinical Medicine 8, no. 11: 1893. https://doi.org/10.3390/jcm8111893
APA StyleTsai, C.-L., Liang, C.-S., Lee, J.-T., Su, M.-W., Lin, C.-C., Chu, H.-T., Tsai, C.-K., Lin, G.-Y., Lin, Y.-K., & Yang, F.-C. (2019). Associations between Plasma Biomarkers and Cognition in Patients with Alzheimer’s Disease and Amnestic Mild Cognitive Impairment: A Cross-Sectional and Longitudinal Study. Journal of Clinical Medicine, 8(11), 1893. https://doi.org/10.3390/jcm8111893

