Is There Any Role for Super-Extended Limphadenectomy in Advanced Gastric Cancer? Results of an Observational Study from a Western High Volume Center
Abstract
1. Introduction
2. Patients and Methods
3. Statistical Analyses
4. Results
4.1. Surgeons’ Propensity to Perform D2 or D3
4.2. Short-Term Outcomes
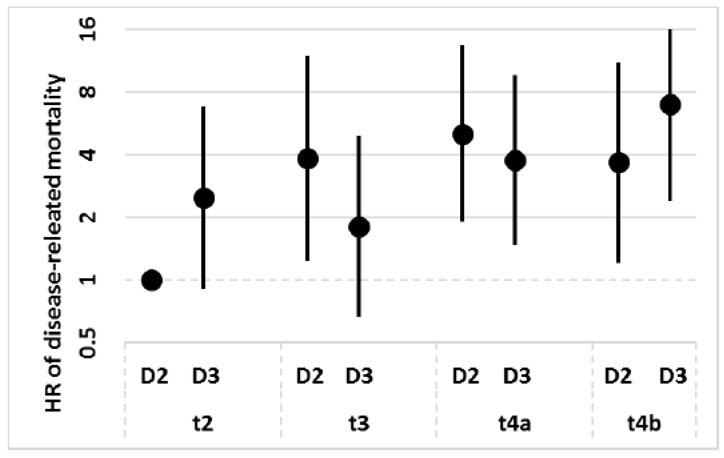
4.3. Survival
5. Discussion
6. Conclusions
Author Contributions
Conflicts of Interest
References
- Ferlay, J.; Soerjomataram, I.; Dikshit, R.; Eser, S.; Mathers, C.; Rebelo, M. Cancer incidence and mortality worldwide: Sources, methods and major patterns in GLOBOCAN 2012. Int. J. Cancer 2015, 136, E359–E386. [Google Scholar] [CrossRef] [PubMed]
- Verlato, G.; Giacopuzzi, S.; Bencivenga, M.; Morgagni, P.; De Manzoni, G. Problems faced by evidence-based medicine in evaluating lymphadenec- tomy for gastric cancer. World J. Gastroenterol. 2014, 20, 12883–12891. [Google Scholar] [CrossRef] [PubMed]
- Sasako, M.; Sano, T.; Yamamoto, S.; Kurokawa, Y.; Nashimoto, A.; Kurita, A.; Hiratsuka, M.; Tsujinaka, T.; Kinoshita, T.; Arai, K.; et al. D2 lymphadenectomy alone or with para-aortic nodal dissection for gastric cancer. N. Engl. J. Med. 2008, 359, 453–462. [Google Scholar] [CrossRef] [PubMed]
- Tokunaga, M.; Ohyama, S.; Hiki, N.; Fukunaga, T.; Aikou, S.; Yamaguchi, T. Can superextended lymph node dissection be justified for gastric cancer with pathologically positive para-aortic lymph nodes? Ann. Surg. Oncol. 2010, 17, 2031–2036. [Google Scholar] [CrossRef] [PubMed]
- Roviello, F.; Pedrazzani, C.; Marrelli, D.; Di Leo, A.; Caruso, S.; Giacopuzzi, S.; Corso, G.; De Manzoni, G. Super-extended (D3) lymphadenectomy in advanced gastric cancer. Eur. J. Surg. Oncol. 2010, 36, 439–446. [Google Scholar] [CrossRef] [PubMed][Green Version]
- Tsuburaya, A.; Mizusawa, J.; Tanaka, Y.; Fukushima, N.; Nashimoto, A.; Sasako, M. Stomach Cancer Study Group of the Japan Clinical Oncology Group. Neoadjuvant chemotherapy with S-1 and cisplatin followed by D2 gastrectomy with para-aortic lymph node dissection for gastric cancer with extensive lymph node metastasis. Br. J. Surg. 2014, 101, 653–660. [Google Scholar] [CrossRef] [PubMed]
- Marrelli, D.; Mazzei, M.A.; Pedrazzani, C.; Di Martino, M.; Vindigni, C.; Corso, G.; Morelli, E.; Volterrani, L.; Roviello, F. High accuracy of Multislices Computed Tomography (MSCT) for para-aortic lymph node metastases from gastric cancer: A Prospective Single-Center Study. Ann. Surg. Oncol. 2011, 18, 2265–2272. [Google Scholar] [CrossRef] [PubMed]
- Japanese Gastric Cancer Association. Japanese classification of gastric carcinoma—2nd English edition. Gastric Cancer 1998, 1, 10–24. [Google Scholar] [CrossRef]
- Sobin, L.H.; Gospodarowicz, M.K.; Wittekind, C.H. (Eds.) International Union Against Cancer (UICC) TNM Classification of Malignant Tumors, 7th ed.; Wiley-Blackwell: Oxford, UK, 2009. [Google Scholar]
- Laurén, P.A.; Nevalainen, T.J. Epidemiology of intestinal and diffuse types of gastric carcinoma. A time-trend study in Finland with comparison between studies from high- and low-risk areas. Cancer 1993, 71, 2926–2933. [Google Scholar]
- Marubini, E.; Valsecchi, M.G. Analysing Survival Data from Clinical Trials and Observational Studies; John Wiley & Sons: New York, NY, USA, 1995. [Google Scholar]
- Verlato, G.; Marrelli, D.; Accordini, S.; Bencivenga, M.; Di Leo, A.; Marchet, A.; Petrioli, R.; Zoppini, G.; Muggeo, M.; Roviello, F.; et al. Short-term and long-term risk factors in gastric cancer. World J. Gastroenterol. 2015, 21, 6434–6443. [Google Scholar] [CrossRef] [PubMed]
- Japanese Gastric Cancer Association. Japanese gastric cancer treatment guidelines 2010 (ver. 3). Gastric Cancer 2011, 14, 113–123. [Google Scholar] [CrossRef] [PubMed]
- Sano, T.; Sasako, M.; Yamamoto, S.; Nashimoto, A.; Kurita, A.; Hiratsuka, M.; Tsujinaka, T.; Kinoshita, T.; Arai, K.; Yamamura, Y.; et al. Gastric cancer surgery: Morbidity and mortality results from a prospective randomized controlled trial comparing D2 and extended para-aortic lymphadenectomy—Japan Clinical Oncology Group study 9501. J. Clin. Oncol. 2004, 22, 2767–2773. [Google Scholar] [CrossRef] [PubMed]
- Chang, J.S.; Kim, K.H.; Yoon, H.I.; Hyung, W.J.; Rha, S.Y.; Kim, H.S.; Lee, Y.C.; Lim, J.S.; Noh, S.H.; Koom, W.S. Locoregional relapse after gastrectomy with D2 lymphadenectomy for gastric cancer. Br. J. Surg. 2017, 104, 877–884. [Google Scholar] [CrossRef] [PubMed]
- De Manzoni, G.; Verlato, G.; Bencivenga, M.; Marrelli, D.; Di Leo, A.; Giacopuzzi, S.; Cipollari, C.; Roviello, F. Impact of super-extended lymphadenectomy on relapse in advanced gastric cancer. Eur. J. Surg. Oncol. 2015, 41, 534–540. [Google Scholar] [CrossRef] [PubMed]
- Verlato, G.; Roviello, F.; Marchet, A.; Giacopuzzi, S.; Marrelli, D.; Nitti, D.; de Manzoni, G. Indexes of surgical quality in gastric cancer surgery: Experience of an Italian network. Ann. Surg. Oncol. 2009, 16, 594–602. [Google Scholar] [CrossRef] [PubMed]


| No. | D2 Lymphadenectomy n = 100 (33.2%) | D3 Lymphadenectomy n = 201 (66.8%) | p-Value | |
|---|---|---|---|---|
| Sex | 0.799 | |||
| Male | 193 | 63 (32.6%) | 130 (67.4%) | |
| Female | 108 | 37 (34.3%) | 71 (65.7%) | |
| Mean age ± SD (years) | 69.8 ± 12.3 | 62.2 ± 10.7 | <0.001 | |
| Tumor site | 0.206 | |||
| Siewert III | 28 | 10 (35.7%) | 18 (64.3%) | |
| Fundus | 65 | 16 (24.6%) | 49 (75.4%) | |
| Body | 77 | 23 (29.9%) | 54 (70.1%) | |
| Antrum | 131 | 51 (38.9%) | 80 (61.1%) | |
| Histology (Laurén) | 0.622 | |||
| Intestinal | 174 | 56 (32.2%) | 118 (67.8%) | |
| Mixed/diffuse | 126 | 44 (34.9%) | 82 (65.1%) | |
| Pathological T stage | 0.133 | |||
| pT2 | 69 | 29 (42.0%) | 40 (58.0%) | |
| pT3 | 65 | 16 (24.6%) | 49 (75.4%) | |
| pT4a | 132 | 41 (31.1%) | 91 (68.9%) | |
| pT4b | 35 | 14 (40.0%) | 21 (60.0%) | |
| Pathological N stage | 0.153 | |||
| pN0 | 77 | 35 (45.5%) | 42 (54.5%) | |
| pN1 | 42 | 12 (28.6%) | 30 (71.4%) | |
| pN2 | 61 | 18 (29.5%) | 43 (70.5%) | |
| pN3a | 67 | 19 (28.4%) | 48 (71.6%) | |
| pN3b | 54 | 16 (29.6%) | 38 (70.4%) | |
| Type of gastrectomy | <0.001 | |||
| Proximal | 16 | 9 (56.3%) | 7 (43.7%) | |
| Total | 167 | 33 (19.8%) | 134 (80.2%) | |
| Sub-total | 114 | 54 (47.4%) | 60 (52.6%) | |
| Other | 4 | 3 (100%) | - |
© 2019 by the authors. Licensee MDPI, Basel, Switzerland. This article is an open access article distributed under the terms and conditions of the Creative Commons Attribution (CC BY) license (http://creativecommons.org/licenses/by/4.0/).
Share and Cite
Bencivenga, M.; Verlato, G.; Mengardo, V.; Scorsone, L.; Sacco, M.; Torroni, L.; Giacopuzzi, S.; de Manzoni, G. Is There Any Role for Super-Extended Limphadenectomy in Advanced Gastric Cancer? Results of an Observational Study from a Western High Volume Center. J. Clin. Med. 2019, 8, 1799. https://doi.org/10.3390/jcm8111799
Bencivenga M, Verlato G, Mengardo V, Scorsone L, Sacco M, Torroni L, Giacopuzzi S, de Manzoni G. Is There Any Role for Super-Extended Limphadenectomy in Advanced Gastric Cancer? Results of an Observational Study from a Western High Volume Center. Journal of Clinical Medicine. 2019; 8(11):1799. https://doi.org/10.3390/jcm8111799
Chicago/Turabian StyleBencivenga, Maria, Giuseppe Verlato, Valentina Mengardo, Lorenzo Scorsone, Michele Sacco, Lorena Torroni, Simone Giacopuzzi, and Giovanni de Manzoni. 2019. "Is There Any Role for Super-Extended Limphadenectomy in Advanced Gastric Cancer? Results of an Observational Study from a Western High Volume Center" Journal of Clinical Medicine 8, no. 11: 1799. https://doi.org/10.3390/jcm8111799
APA StyleBencivenga, M., Verlato, G., Mengardo, V., Scorsone, L., Sacco, M., Torroni, L., Giacopuzzi, S., & de Manzoni, G. (2019). Is There Any Role for Super-Extended Limphadenectomy in Advanced Gastric Cancer? Results of an Observational Study from a Western High Volume Center. Journal of Clinical Medicine, 8(11), 1799. https://doi.org/10.3390/jcm8111799

