Alternations of Circadian Clock Genes Expression and Oscillation in Obstructive Sleep Apnea
Abstract
1. Introduction
2. Materials and Methods
2.1. Patients, Normal Controls, and Samples
2.2. Analysis of Expression of Circadian Clock Genes
2.3. Statistical Analysis
3. Results
3.1. Categorization of Patients with OSA
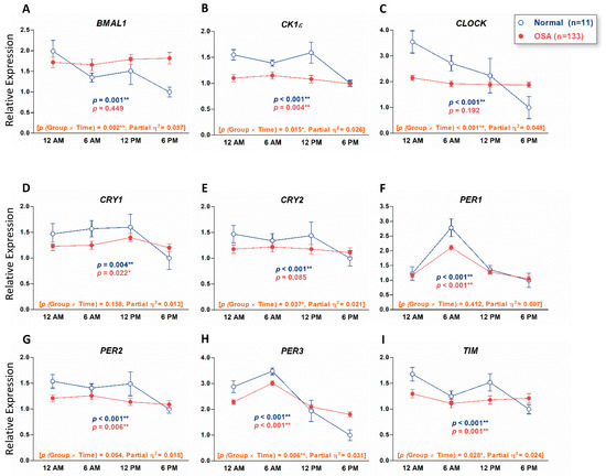
3.2. Circadian Patterns of Expression of Circadian Clock Genes in Healthy Controls and Abolished Daily Patterns in Patients with OSA
3.3. Downregulation of Circadian Clock Genes in Patients with OSA at Midnight
3.4. Correlation and Regression Analysis of Expression of Circadian Clock Genes at Midnight in Patients with OSA
4. Discussion
5. Conclusions
Author Contributions
Funding
Acknowledgments
Conflicts of Interest
References
- Young, T.; Peppard, P.E.; Gottlieb, D.J. Epidemiology of obstructive sleep apnea. A population health perspective. Am. J. Respir. Crit. Care Med. 2002, 165, 1217–1239. [Google Scholar] [CrossRef] [PubMed]
- Shamsuzzaman, A.S.; Gersh, B.J.; Somers, V.K. Obstructive sleep apnea: implications for cardiac and vascular disease. JAMA 2003, 290, 1906–1914. [Google Scholar] [CrossRef] [PubMed]
- Marin, J.M.; Carrizo, S.J.; Vicente, E.; Agusti, A.G. Long-term cardiovascular outcomes in men with obstructive sleep apnoea-hypopnoea with or without treatment with continuous positive airway pressure: an observational study. Lancet 2005, 365, 1046–1053. [Google Scholar] [CrossRef]
- Marin, J.M.; Agusti, A.; Villar, I.; Forner, M.; Nieto, D.; Carrizo, S.J.; Barbé, F.; Vicente, E.; Wei, Y.; Nieto, F.J.; et al. Association between treated and untreated obstructive sleep apnea and risk of hypertension. JAMA 2012, 307, 2169–2176. [Google Scholar] [CrossRef] [PubMed]
- Sahlin, C.; Sandberg, O.; Gustafson, Y.; Bucht, G.; Carlberg, B.; Stenlund, H.; Franklin, K.A. Obstructive sleep apnea is a risk factor for death in patients with stroke: a 10-year follow-up. Arch. Intern. Med. 2008, 168, 297–301. [Google Scholar] [CrossRef] [PubMed]
- Becker-Krail, D.; McClung, C. Implications of circadian rhythm and stress in addiction vulnerability. F1000Research 2016, 5, 59. [Google Scholar] [CrossRef]
- Silver, R.; Kriegsfeld, L.J. Circadian rhythms have broad implications for understanding brain and behavior. Eur. J. Neurosci. 2014, 39, 1866–1880. [Google Scholar] [CrossRef]
- Albreecht, U. Timing to perfection: the biology of central and peripheral circadian clocks. Neuron 2012, 74, 246–260. [Google Scholar] [CrossRef]
- Bass, J.; Lazar, M.A. Circadian time signatures of fitness and disease. Science 2016, 354, 994–999. [Google Scholar] [CrossRef]
- Takahashi, J.S. Transcriptional architecture of the mammalian circadian clock. Nat. Rev. Genet. 2017, 18, 164–179. [Google Scholar] [CrossRef]
- Eckel-Mahan, K.; Sassone-Corsi, P. Metabolism and the circadian clock converge. Physiol. Rev. 2013, 93, 107–135. [Google Scholar] [CrossRef] [PubMed]
- El-Chami, M.; Shaheen, D.; Ivers, B.; Syed, Z.; Badr, M.S.; Lin, H.S.; Mateika, J.H. Time of day affects the frequency and duration of breathing events and the critical closing pressure during NREM sleep in participants with sleep apnea. J. Appl. Physiol. 2015, 119, 617–626. [Google Scholar] [CrossRef] [PubMed]
- Butler, M.P.; Smales, C.; Wu, H.; Hussain, M.V.; Mohamed, Y.A.; Morimoto, M.; Shea, S.A. The circadian system contributes to apnea lengthening across the night in obstructive sleep apnea. Sleep 2015, 38, 1793–1801. [Google Scholar] [CrossRef]
- Kushida, C.A.; Littner, M.R.; Morgenthaler, T.; Alessi, C.A.; Bailey, D.; Coleman, J., Jr.; Friedman, L.; Hirshkowitz, M.; Kapen, S.; Kramer, M.; et al. Practice parameters for the indications for polysomnography and related procedures: an update for 2005. Sleep 2005, 28, 499–521. [Google Scholar] [CrossRef] [PubMed]
- Flemons, W.W.; Buysse, D.; Redline, S.; Pack, A.; Strohl, K.; Wheatley, J.; Young, T.; Douglas, N.; Levy, P.; McNicholas, W.; et al. Sleep-related breathing disorders in adults: recommendations for syndrome definition and measurement techniques in clinical research. The Report of an American Academy of Sleep Medicine Task Force. Sleep 1999, 22, 667–689. [Google Scholar]
- Lin, H.C.; Friedman, M.; Chang, H.W.; Yalamanchali, S. Z-palatopharyngoplasty Combined with Endoscopic Coblator Open Tongue Base Resection for Severe Obstructive Sleep Apnea/Hypopnea Syndrome. Otolaryngol. Head Neck Surg. 2014, 150, 1078–1085. [Google Scholar] [CrossRef] [PubMed]
- Yang, M.Y.; Chang, J.G.; Lin, P.M.; Tang, K.P.; Chen, Y.H.; Lin, H.Y.; Liu, T.C.; Hsiao, H.H.; Liu, Y.C.; Lin, S.F. Down-regulation of circadian clock genes in chronic myeloid leukemia: Alternative methylation pattern of hPER3. Cancer Sci. 2006, 97, 1298–1307. [Google Scholar] [CrossRef]
- Yang, M.Y.; Yang, W.C.; Lin, P.M.; Hsu, J.F.; Hsiao, H.H.; Liu, Y.C.; Tsai, H.J.; Chang, C.S.; Lin, S.F. Altered expression of circadian clock genes in human chronic myeloid leukemia. J. Biol. Rhythms 2011, 6, 136–148. [Google Scholar] [CrossRef]
- Burioka, N.; Koyanagi, S.; Endo, M.; Takata, M.; Fukuoka, Y.; Miyata, M.; Takeda, K.; Chikumi, H.; Ohdo, S.; Shimizu, E. Clock gene dysfunction in patients with obstructive sleep apnoea syndrome. Eur. Respir. J. 2008, 32, 105–112. [Google Scholar] [CrossRef]
- Boivin, D.B.; James, F.O.; Wu, A.; Cho-Park, P.F.; Xiong, H.; Sun, Z.S. Circadian clock genes oscillate in human peripheral blood mononuclear cells. Blood 2003, 102, 4143–4145. [Google Scholar] [CrossRef]
- Fukuya, H.; Emoto, N.; Nonaka, H.; Yagita, K.; Okamura, H.; Yokoyama, M. Circadian expression of clock genes in human peripheral leukocytes. Biochem. Biophy. Res. Comm. 2007, 354, 924–928. [Google Scholar] [CrossRef] [PubMed]
- Kusanagi, H.; Hida, A.; Satoh, K.; Echizenya, M.; Shimizu, T.; Pendergast, J.S.; Yamazaki, S.; Mishima, K. Expression profiles of 10 circadian clock genes in human peripheral blood mononuclear cells. Neurosci. Res. 2008, 61, 136–142. [Google Scholar] [CrossRef] [PubMed]
- Archer, S.N.; Viola, A.U.; Kyriakopoulou, V.; von Schantz, M.; Dijk, D.J. Inter-individual differences in habitual sleep timing and entrained phase of endogenous circadian rhythms of BMAL1, PER2 and PER3 mRNA in human leukocytes. Sleep 2008, 31, 608–617. [Google Scholar] [CrossRef] [PubMed]
- Hida, K.; Kusanagi, H.; Satoh, K.; Kato, T.; Matsumoto, Y.; Echizenya, M.; Shimizu, T.; Higuchi, S.; Mishima, K. Expression profiles of PERIOD1, 2, and 3 in peripheral blood mononuclear cells from older subjects. Life Sci. 2009, 84, 3–7. [Google Scholar] [CrossRef]
- Moreira, S.; Rodrigues, R.; Barros, A.B.; Pejanovic, N.; Neves-Costa, A.; Pedroso, D.; Pereira, C.; Fernandes, D.; Rodrigues, J.V.; Barbara, C.; et al. Changes in Expression of the CLOCK Gene in Obstructive Sleep Apnea Syndrome Patients Are Not Reverted by Continuous Positive Airway Pressure Treatment. Front. Med. 2017, 4, 187. [Google Scholar] [CrossRef]
- Canales, M.T.; Holzworth, M.; Bozorgmehri, S.; Ishani, A.; Weiner, I.D.; Berry, R.B.; Beyth, R.J.; Gumz, M. Clock gene expression is altered in veterans with sleep apnea. Physiol. Genomics 2019, 51, 77–82. [Google Scholar] [CrossRef]
- Hasan, S.; van der Veen, D.R.; Winsky-Sommerer, R.; Dijk, D.J.; Archer, S.N. Altered sleep and behavioral activity phenotypes inPER3-deficient mice. Am. J. Physiol. Regul. Integr. Comp. Physiol. 2011, 301, R1821–R1830. [Google Scholar] [CrossRef]
- Parsons, M.J.; Lester, K.J.; Barclay, N.L.; Archer, S.N.; Nolan, P.M.; Eley, T.C.; Gregory, A.M. Polymorphisms in the circadian expressed genes PER3 and ARNTL2 are associated with diurnal preference and GNβ3 with sleep measures. J. Sleep Res. 2014, 23, 595–604. [Google Scholar] [CrossRef]
- Hida, A.; Kitamura, S.; Katayose, Y.; Kato, M.; Ono, H.; Kadotani, H.; Uchiyama, M.; Ebisawa, T.; Inoue, Y.; Kamei, Y.; et al. Screening of clock gene polymorphisms demonstrates association of a PER3 polymorphism with morningness-eveningness preference and circadian rhythm sleep disorder. Sci. Rep. 2014, 4, 6309. [Google Scholar] [CrossRef]




| Characteristic | Normal Controls (n = 11) | OSA (n = 133) | p-Value (1) a | Mild (n = 27) | Moderate (n = 27) | Severe (n = 79) | p-Value (2) b |
|---|---|---|---|---|---|---|---|
| Sex, Male/Female | 5/6 | 111/22 | 0.002 | 19/8 | 24/3 | 68/11 | <0.005 |
| Age, year | 42.55 ± 3.45 c | 42.47 ± 0.91 | 0.981 | 40.89 ± 2.16 | 44.15 ± 2.23 | 42.43 ± 1.12 | 0.736 |
| BMI, kg/m2 | 23.33 ± 0.87 | 26.08 ± 0.28 | 0.007 | 24.39 ± 0.55 | 24.24 ± 0.42 | 27.29 ± 0.35 | <0.001 |
| ESS | 7.6 ± 1.3 | 8.98 ± 0.38 | 0.333 | 8.8 ± 0.9 | 8.7 ± 0.8 | 9.2 ± 0.5 | 0.739 |
| ESS, no. ≤10/>10 | 7/4 | 85/48 | 1.000 | 19/8 | 18/9 | 48/31 | 0.821 |
| AHI, /hour | 2.78 ± 0.44 | 39.94 ± 2.14 | <0.001 | 10.3 ± 0.58 | 20.80 ± 0.79 | 56.59 ± 2.00 | <0.001 |
| AHI in REM, /hour | 4.58 ± 1.14 | 42.71 ± 2.01 | <0.001 | 19.55 ± 3.22 | 34.02 ± 322 | 53.88 ± 2019 | <0.001 |
| % of O2 < 90%, % | 0.22 ± 0.15 | 9.85 ± 1.16 | 0.018 | 1.20 ± 0.31 | 3.09 ± 0.64 | 15.19 ± 1.70 | <0.001 |
| Average O2, % | 96.96 ± 0.20 | 95.02 ± 0.21 | 0.008 | 96.53 ± 0.18 | 96.13 ± 0.23 | 94.12 ± 0.29 | <0.001 |
| LSAT, % | 90.64 ± 0.69 | 75.60 ± 1.13 | <0.001 | 86.11 ± 0.92 | 81.19 ± 1.85 | 70.10 ± 1.45 | <0.001 |
| Independent Factor | Odds Ratio (95% CI) | p Value |
|---|---|---|
| CRY1 | 2.963 (1.277–6.879) | 0.011 |
| PER3 | 3.746 (1.595–8.795) | 0.002 |
| None | Reference a | |
| CRY1 or PER3 | 2.363 (0.948–5.888) | 0.065 |
| CRY1 and PER3 | 5.800 (1.978–17.004) | 0.001 |
© 2019 by the authors. Licensee MDPI, Basel, Switzerland. This article is an open access article distributed under the terms and conditions of the Creative Commons Attribution (CC BY) license (http://creativecommons.org/licenses/by/4.0/).
Share and Cite
Yang, M.-Y.; Lin, P.-W.; Lin, H.-C.; Lin, P.-M.; Chen, I.-Y.; Friedman, M.; Hung, C.-F.; Salapatas, A.M.; Lin, M.-C.; Lin, S.-F. Alternations of Circadian Clock Genes Expression and Oscillation in Obstructive Sleep Apnea. J. Clin. Med. 2019, 8, 1634. https://doi.org/10.3390/jcm8101634
Yang M-Y, Lin P-W, Lin H-C, Lin P-M, Chen I-Y, Friedman M, Hung C-F, Salapatas AM, Lin M-C, Lin S-F. Alternations of Circadian Clock Genes Expression and Oscillation in Obstructive Sleep Apnea. Journal of Clinical Medicine. 2019; 8(10):1634. https://doi.org/10.3390/jcm8101634
Chicago/Turabian StyleYang, Ming-Yu, Pei-Wen Lin, Hsin-Ching Lin, Pai-Mei Lin, I-Ya Chen, Michael Friedman, Chi-Fa Hung, Anna M. Salapatas, Meng-Chih Lin, and Sheng-Fung Lin. 2019. "Alternations of Circadian Clock Genes Expression and Oscillation in Obstructive Sleep Apnea" Journal of Clinical Medicine 8, no. 10: 1634. https://doi.org/10.3390/jcm8101634
APA StyleYang, M.-Y., Lin, P.-W., Lin, H.-C., Lin, P.-M., Chen, I.-Y., Friedman, M., Hung, C.-F., Salapatas, A. M., Lin, M.-C., & Lin, S.-F. (2019). Alternations of Circadian Clock Genes Expression and Oscillation in Obstructive Sleep Apnea. Journal of Clinical Medicine, 8(10), 1634. https://doi.org/10.3390/jcm8101634

