A New Inflammatory Marker: Elevated Monocyte to HDL Cholesterol Ratio Associated with Smoking
Abstract
1. Introduction
2. Materials and Methods
2.1. Exclusion Criteria
2.2. Echocardiography
2.3. Exercise Stress Test
2.4. Laboratory Measurements
2.5. Statistical Evaluation
3. Results
4. Discussion
5. Conclusions
6. Limitations
Author Contributions
Conflicts of Interest
Abbreviations
| AUC | area under the curve |
| CI | confidence interval |
| MHR | monocyte to HDL-C ratio |
| ROC | receiver operating characteristics |
References
- Carter, B.D.; Freedman, N.D.; Jacobs, E.J. Smoking and mortality—Beyond established causes. N. Engl. J. Med. 2015, 372, 2168–2170. [Google Scholar] [CrossRef] [PubMed]
- World Health Organisation: Report on the Global Tobacco Epidemic. Implementing Smoke-Free Environments. 2009. Available online: http://www.who.int/tobacco/mpower/2009/en (accessed on 25 December 2017).
- Collishaw, N.E.; Lopez, A.D. Prevalence of cigarette smoking in developing countries. Tob. Control 1995, 4, 327. [Google Scholar] [CrossRef][Green Version]
- Sgambato, J.A.; Jones, B.A.; Caraway, J.W.; Prasad, G.L. Inflammatory profile analysis reveals differences in cytokine expression between smokers, moist snuff users, and dual users compared to non-tobacco consumers. Cytokine 2017. [Google Scholar] [CrossRef] [PubMed]
- Lee, J.; Taneja, V.; Vassallo, R. Cigarette smoking and inflammation cellular and molecular mechanisms. J. Dent. Res. 2012, 91, 142–149. [Google Scholar] [CrossRef] [PubMed]
- Ancuta, P.; Wang, J.; Gabuzda, D. CD16+ monocytes produce IL-6, CCL2, and matrix metalloproteinase-9 upon interaction with CX3CL1-expressing endothelial cells. J. Leukoc. Biol. 2006, 80, 1156–1164. [Google Scholar] [CrossRef] [PubMed]
- Canpolat, U.; Cetin, E.H.; Cetin, S.; Aydin, S.; Akboga, M.K.; Yayla, C.; Turak, O.; Aras, D.; Aydogdu, S. Association of monocyte-to-HDL cholesterol ratio with slow coronary flow is linked to systemic inflammation. Clin. Appl. Thromb. Hemost. 2016, 22, 476–482. [Google Scholar] [CrossRef] [PubMed]
- Koçak, H.E.; Acipayam, H.; Elbistanlı, M.S.; Yiğider, A.P.; Alakhras, W.; Kıral, M.N.; Kayhan, F.T. Is the monocyte/HDL ratio a prognostic marker of idiopathic sudden hearing loss? Otolaryngol. Pol. 2016, 31, 26–30. [Google Scholar] [CrossRef] [PubMed]
- Akboga, M.K.; Balci, K.G.; Maden, O.; Ertem, A.G.; Kirbas, O.; Yayla, C.; Acar, B.; Aras, D.; Kisacik, H.; Aydogdu, S. Usefulness of monocyte to HDL-cholesterol ratio to predict high SYNTAX score in patients with stable coronary artery disease. Biomark. Med. 2016, 10, 375–383. [Google Scholar] [CrossRef] [PubMed]
- Lang, R.M.; Bierig, M.; Devereux, R.B.; Flachskampf, F.A.; Foster, E.; Pellikka, P.A.; Picard, M.H.; Roman, M.J.; Seward, J.; Shanewise, J.; et al. Recommendations for chamber quantification. Eur. J. Echocardiogr. 2006, 7, 79–108. [Google Scholar] [CrossRef] [PubMed]
- Bruce, R.A.; Blackmon, J.R.; Jones, J.W.; Strait, G. Exercising testing in adult normal subjects and cardiac patients. Ann Noninvasive Electrocardiol. 2004, 9, 291–303. [Google Scholar] [CrossRef] [PubMed]
- Kuzuya, M.; Ando, F.; Iguchi, A.; Shimokata, H. Effect of smoking habit on age-related changes in serum lipids: A crosssectional and longitudinal analysis in a large Japanese cohort. Atherosclerosis 2006, 185, 183–190. [Google Scholar] [CrossRef] [PubMed]
- Eltoft, A.; Arntzen, K.A.; Wilsgaard, T.; Mathiesen, E.B.; Johnsen, S.H. Interleukin-6 is an independent predictor of progressive atherosclerosis in the carotid artery: The Tromsø Study. Atherosclerosis 2018, 271, 1–8. [Google Scholar] [CrossRef] [PubMed]
- Chrysohoou, C.; Kollia, N.; Tousoulis, D. The link between depression and atherosclerosis through the pathways of inflammation and endothelium dysfunction. Maturitas 2018, 109, 1–5. [Google Scholar] [CrossRef] [PubMed]
- Teixeira, V.; Tam, L.S. Novel insights in systemic lupus erythematosus and atherosclerosis. Front. Med. (Lausanne) 2017, 4, 262. [Google Scholar] [CrossRef] [PubMed]
- Chalouhi, N.; Ali, M.S.; Starke, R.M.; Jabbour, P.M.; Tjoumakaris, S.I.; Gonzalez, L.F.; Dumont, A.S. Cigarette smoke and inflammation: Role in cerebral aneurysm formation and rupture. Mediat. Inflamm. 2012, 2012, 271582. [Google Scholar] [CrossRef] [PubMed]
- Mannam, P.; Rauniyar, N.; Lam, T.T.; Luo, R.; Lee, P.J.; Srivastava, A. MKK3 influences mitophagy and is involved in cigarette smoke-induced inflammation. Free Radic. Biol. Med. 2016, 101, 102–115. [Google Scholar] [CrossRef] [PubMed]
- Wu, Y.P.; Cao, C.; Wu, Y.F.; Li, M.; Lai, T.W.; Zhu, C.; Li, W. Activating transcription factor 3 represses cigarette smoke-induced IL6 and IL8 expression via suppressing NF-κB activation. Toxicol. Lett. 2017, 270, 17–24. [Google Scholar] [CrossRef] [PubMed]
- Mc Evoy, J.W.; Nasir, K.; De Filippis, A.P.; Lima, J.A.; Bluemke, D.A.; Hundley, W.G.; Polak, J.F. Relationship of cigarette smoking with inflammation and subclinical vascular disease: The Multi-Ethnic Study of Atherosclerosis. Arterioscler. Thromb. Vasc. Biol. 2015, 35, 1002–1010. [Google Scholar] [CrossRef] [PubMed]
- Li, H.; Srinivasan, S.R.; Chen, W.; Xu, J.H.; Li, S.; Berenson, G.S. Vascular abnormalities in asymptomatic, healthy young adult smokers without other major cardiovascular risk factors: The Bogalusa Heart Study. Am. J. Hypertens. 2005, 18, 319–324. [Google Scholar] [CrossRef] [PubMed]
- Luo, H.L.; Zang, W.J.; Lu, J.; Yu, X.J.; Lin, Y.X.; Cao, Y.X. The protective effect of captopril on nicotine-induced endothelial dysfunction in rat. Basic Clin. Pharmacol. Toxicol. 2006, 99, 237–245. [Google Scholar] [CrossRef] [PubMed]
- Heeschen, C.; Weis, M.; Cooke, J.P. Nicotine promotes arteriogenesis. J. Am. Coll. Cardiol. 2003, 41, 489–496. [Google Scholar] [CrossRef]
- Wang, Z.; Wang, D.; Wang, Y. Cigarette smoking and adipose tissue: The Emerging role in progression of atherosclerosis. Mediat. Inflamm. 2017, 2017, 3102737. [Google Scholar] [CrossRef] [PubMed]
- Ghattas, A.; Griffiths, H.R.; Devitt, A.; Lip, G.Y.; Shantsila, E. Monocytes in coronary artery disease and atherosclerosis: Where are we now? J. Am. Coll. Cardiol. 2013, 62, 1541–1551. [Google Scholar] [CrossRef] [PubMed]
- Gratchev, A.; Sobenin, I.; Orekhov, A.; Kzhyshkowska, J. Monocytes as a diagnostic marker of cardiovascular diseases. Immunobiology 2012, 217, 476–482. [Google Scholar] [CrossRef] [PubMed]
- Murphy, A.J.; Chin-Dusting, J.P.; Sviridov, D.; Woollard, K.J. The anti inflammatory effects of high density lipoproteins. Curr. Med. Chem. 2009, 16, 667–675. [Google Scholar] [CrossRef] [PubMed]
- Murphy, A.J.; Woollard, K.J. High-density lipoprotein: A potent inhibitor of inflammation. Clin. Exp. Pharmacol. Physiol. 2010, 37, 710–718. [Google Scholar] [CrossRef] [PubMed]
- Yvan-Charvet, L.; Pagler, T.; Gautier, E.L.; Avagyan, S.; Siry, R.L.; Han, S.; Tall, A.R. ATP-binding cassette transporters and HDL suppress hematopoietic stem cell proliferation. Science 2010, 328, 1689–1693. [Google Scholar] [CrossRef] [PubMed]
- Murphy, A.J.; Woollard, K.J.; Hoang, A.; Mukhamedova, N.; Stirzaker, R.A.; McCormick, S.P.; Chin-Dusting, J. High density lipoprotein reduces the human monocyte inflammatory response. Arterioscler. Thromb. Vasc. Biol. 2008, 28, 2071–2077. [Google Scholar] [CrossRef] [PubMed]
- Burke, A.P.; Farb, A.; Malcom, G.T.; Liang, Y.H.; Smialek, J.; Virmani, R. Coronary risk factors and plaque morphology in men with coronary disease who died suddenly. N. Engl. J. Med. 1997, 336, 1276–1282. [Google Scholar] [CrossRef] [PubMed]
- Kanbay, M.; Solak, Y.; Unal, H.U.; Kurt, Y.G.; Gok, M.; Cetinkaya, H.; Covic, A. Monocyte count/HDL cholesterol ratio and cardiovascular events in patients with chronic kidney disease. Int. Urol. Nephrol. 2014, 46, 1619–1625. [Google Scholar] [CrossRef] [PubMed]
- Canpolat, U.; Aytemir, K.; Yorgun, H.; Şahiner, L.; Kaya, E.B.; Çay, S.; Oto, A. The role of preprocedural monocyte-to-high-density lipoprotein ratio in prediction of atrial fibrillation recurrence after cryoballoon-based catheter ablation. Europace 2015, 17, 1807–1815. [Google Scholar] [CrossRef] [PubMed]
- Cetin, E.H.; Cetin, M.S.; Canpolat, U.; Aydin, S.; Topaloglu, S.; Aras, D.; Aydogdu, S. Monocyte/HDL-cholesterol ratio predicts the definite stent thrombosis after primary percutaneous coronary intervention for ST-segment elevation myocardial infarction. Biomark. Med. 2015, 9, 967–977. [Google Scholar] [CrossRef] [PubMed]
- Karatas, M.B.; Canga, Y.; Ozcan, K.S.; Ipek, G.; Gungor, B.; Onuk, T.; Bolca, O. Monocyte to high-density lipoprotein ratio as a new prognostic marker in patients with ST segment elevation myocardial infarction undergoing primary percutaneous coronary intervention. Am. J. Emerg. Med. 2016, 34, 240–244. [Google Scholar] [CrossRef] [PubMed]
- Acikgoz, N.; Kurtoglu, E.; Yagmur, J.; Kapicioglu, Y.; Cansel, M.; Ermis, N. Elevated monocyte to high-density lipoprotein cholesterol ratio and endothelial dysfunction in Behçet disease. Angiology 2018, 69, 65–70. [Google Scholar] [CrossRef] [PubMed]
- Zhou, M.S.; Chadipiralla, K.; Mendez, A.J.; Jaimes, E.A.; Silverstein, R.L.; Webster, K.; Raij, L. Nicotine potentiates proatherogenic effects of oxLDL by stimulating and upregulating macrophage CD36 signaling. Am. J. Physiol. Heart Circ. Physiol. 2013, 305, H563–H574. [Google Scholar] [CrossRef] [PubMed]



| Smokers (397) | Non-Smokers (515) | p Value | |
|---|---|---|---|
| Gender (Male/Female) | 258/139 | 316/199 | 0.26 |
| Age (year) | 37 (26.0–47.0) | 34 (24.0–47.0) | 0.10 # |
| Hyperlipidemia n (%) | 78 (19.6) | 82 (15.9) | 0.14 |
| Triglycerides (mg/dL) | 132 (94.75–186.0) | 102 (72.0–147.0) | <0.0001 # |
| Total cholesterol (mg/dL) | 177 (150.0–202.5) | 172 (149.0–198.0) | 0.33 # |
| Low-density lipoprotein cholesterol (mg/dL) | 104.0 (80.39–123.0) | 99 (78.0–120.0) | 0.07 # |
| High-density lipoprotein (HDL) cholesterol (mg/dL) | 41 (35–49) | 50 (43–58) | <0.0001 # |
| Monocytes (×103/mm3) | 0.65 (0.53–0.78) | 0.56 (0.46–0.67) | <0.0001 # |
| Monocyte to HDL-C ratio (MHR) | 15.71 (12.02–20) | 11.17 (8.50–14.16) | <0.0001# |
| BMI (body mass index) | 25.40 (24.28–27.35) | 26.26 (25.36–27.21) | <0.0001# |
| Platelet (×103/mm3) | 262 (228.0–301.0) | 270 (230.0–313.0) | 0.09 # |
| White blood cell (×103/mm3) | 8.01 ± 1.97 | 7.29 ± 1.69 | <0.0001 |
| Glucose (mg/dL) | 94.73 ± 18.66 | 94.25 ± 15.91 | 0.68 |
| Sodium (mmol/L) | 139.89 ± 3.28 | 140.09 ± 2.77 | 0.34 |
| Potassium (mmol/L) | 4.27 ± 0.41 | 4.25 ± 0.47 | 0.50 |
| Calcium (mg/dL) | 9.32 ± 0.53 | 9.37 ± 0.59 | 0.20 |
| Urea (mg/dL) | 28.14 ± 7.94 | 28.21 ± 8.65 | 0.90 |
| Creatinine (mg/dL) | 0.60 ± 0.16 | 0.60 ± 0.17 | 0.91 |
| Hematocrit (%) | 43.88 ± 3.21 | 41.88 ± 2.98 | <0.0001 |
| Hemoglobin (g/dL) | 14.64 ± 1.09 | 13.63 ± 1.03 | <0.0001 |
| Smokers (397) | Non-Smokers (515) | P1 | P2 | |||
|---|---|---|---|---|---|---|
| Males (258) | Females (139) | Males (316) | Females (199) | |||
| Age (year) | 33 (24–46) | 40 (35–47) | 33.5 (23–49.75) | 36 (26–46) | <0.0001 # | 0.67 # |
| Hyperlipidemia n (%) | 48 (18.6) | 30 (21.6) | 43 (13.6) | 39 (19.6) | 0.47 | 0.07 |
| Triglycerides (mg/dL) | 136.5 (96.75–190) | 130 (84.10–168.0) | 107 (75–150) | 95 (66–140) | 0.07 # | 0.07 # |
| Total cholesterol (mg/dL) | 172.95 ± 39.66 | 187.68 ± 39.12 | 173.5 (150–198) | 171 (147–200) | <0.0001 | 0.7 # |
| Low density lipoprotein cholesterol (mg/dL) | 100.73 ± 32.54 | 110.20 ± 35.72 | 101 (82–120) | 91 (73.64–114) | 0.01 | 0.003 # |
| HDL cholesterol (mg/dL) | 40.08 ± 9.41 | 49.48 ± 13.41 | 46.75 (41–56) | 55 (48–64) | <0.0001 | <0.0001 # |
| Monocytes (×103/mm3) | 0.69 ± 0.18 | 0.59 ± 0.16 | 0.58 (0.48–0.69) | 0.52 (0.43–0.63) | <0.0001 | <0.0001 # |
| MHR | 18.10 ± 5.77 | 13.19 ± 5.60 | 12.32 (9.51–15.68) | 9.30 (7.76–12.07) | <0.0001 | <0.0001 # |
| BMI (Body mass index) | 25.45 ± 2.20 | 25.66 ± 2.16 | 26.36 (25.55–27.42) | 26.10 (24.97–27.05) | 0.35 | 0.011 # |
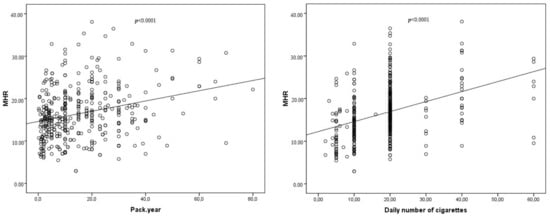
| Variable | Pack.Year | |
|---|---|---|
| r | p | |
| MHR | 0.273 | <0.0001 |
| Monocytes (×103/mm3) | 0.205 | <0.0001 |
| HDL cholesterol (mg/dL) | −0.155 | 0.002 |
| Triglycerides (mg/dL) | 0.242 | <0.0001 |
| Total cholesterol (mg/dL) | 0.201 | <0.0001 |
| Low density lipoprotein cholesterol (mg/dL) | 0.200 | <0.0001 |
| Variable | The Number of Cigarettes Smoked Daily | |
|---|---|---|
| r | p | |
| MHR | 0.379 | <0.0001 |
| Monocytes (×103/mm3) | 0.321 | <0.0001 |
| HDL cholesterol (mg/dL) | −0.229 | 0.002 |
| Triglycerides (mg/dL) | 0.203 | <0.0001 |
| Total cholesterol (mg/dL) | 0.112 | 0.025 |
| Low-density lipoprotein cholesterol (mg/dL) | 0.146 | 0.004 |
© 2018 by the authors. Licensee MDPI, Basel, Switzerland. This article is an open access article distributed under the terms and conditions of the Creative Commons Attribution (CC BY) license (http://creativecommons.org/licenses/by/4.0/).
Share and Cite
Yılmaz, M.; Kayançiçek, H. A New Inflammatory Marker: Elevated Monocyte to HDL Cholesterol Ratio Associated with Smoking. J. Clin. Med. 2018, 7, 76. https://doi.org/10.3390/jcm7040076
Yılmaz M, Kayançiçek H. A New Inflammatory Marker: Elevated Monocyte to HDL Cholesterol Ratio Associated with Smoking. Journal of Clinical Medicine. 2018; 7(4):76. https://doi.org/10.3390/jcm7040076
Chicago/Turabian StyleYılmaz, Mücahid, and Hidayet Kayançiçek. 2018. "A New Inflammatory Marker: Elevated Monocyte to HDL Cholesterol Ratio Associated with Smoking" Journal of Clinical Medicine 7, no. 4: 76. https://doi.org/10.3390/jcm7040076
APA StyleYılmaz, M., & Kayançiçek, H. (2018). A New Inflammatory Marker: Elevated Monocyte to HDL Cholesterol Ratio Associated with Smoking. Journal of Clinical Medicine, 7(4), 76. https://doi.org/10.3390/jcm7040076

