The Experimental Effects of Acute Exercise on Long-Term Emotional Memory
Abstract
1. Introduction
2. Methods
2.1. Study Design
2.2. Participants
- Self-reported being pregnant [40];
- Exercised within 5 h of testing [15];
- Consumed caffeine within 3 h of testing [41];
- Had a concussion or head trauma within the past 30 days [42];
- Took marijuana or other illegal drugs within the past 30 days [43];
- Had been diagnosed with ADD/ADHD (attention deficit disorder/attention deficit hyperactivity disorder) or a learning disability [44].
2.3. Exercise Protocol
2.4. Memory Assessments
2.5. Additional Measurements
2.6. Statistical Analyses
3. Results
4. Discussion
Author Contributions
Funding
Conflicts of Interest
References
- Kuiper, J.S.; Oude Voshaar, R.C.; Zuidema, S.U.; Stolk, R.P.; Zuidersma, M.; Smidt, N. The relationship between social functioning and subjective memory complaints in older persons: A population-based longitudinal cohort study. Int. J. Geriatr. Psychiatry. 2016. [Google Scholar] [CrossRef] [PubMed]
- Sohrabi, H.R.; Bates, K.A.; Rodrigues, M.; Taddei, K.; Martins, G.; Laws, S.M.; Lautenschlager, N.T.; Dhaliwals, S.S.; Foster, J.K.; Martins, R.N. The relationship between memory complaints, perceived quality of life and mental health in apolipoprotein Eepsilon4 carriers and non-carriers. J. Alzheimer’s Dis. 2009, 17, 69–79. [Google Scholar] [CrossRef] [PubMed]
- McCabe, D.P.; Roediger, H.L.; McDaniel, M.A.; Balota, D.A.; Hambrick, D.Z. The relationship between working memory capacity and executive functioning: Evidence for a common executive attention construct. Neuropsychology 2010, 24, 222–243. [Google Scholar] [CrossRef] [PubMed]
- Frith, E.; Sng, E.; Loprinzi, P.D. Randomized controlled trial evaluating the temporal effects of high-intensity exercise on learning, short-term and long-term memory, and prospective memory. Eur. J. Neurosci. 2017, 46, 2557–2564. [Google Scholar] [CrossRef] [PubMed]
- Sng, E.; Frith, E.; Loprinzi, P.D. Temporal effects of acute walking exercise on learning and memory function. Am. J. Health Promot. 2018, 32, 1518–1525. [Google Scholar] [CrossRef] [PubMed]
- Loprinzi, P.D.; Frith, E.; Edwards, M.K.; Sng, E.; Ashpole, N. The Effects of exercise on memory function among young to middle-aged adults: Systematic review and recommendations for future research. Am. J. Health Promot. 2018, 32, 691–704. [Google Scholar] [CrossRef] [PubMed]
- Crush, E.A.; Loprinzi, P.D. Dose-response effects of exercise duration and recovery on cognitive functioning. Percept. Mot. Skills 2017, 124, 1164–1193. [Google Scholar] [CrossRef] [PubMed]
- Loprinzi, P.D.; Frith, E. A brief primer on the mediational role of BDNF in the exercise-memory link. Clin. Physiol. Funct. Imaging 2018. [Google Scholar] [CrossRef] [PubMed]
- Loprinzi, P.D.; Edwards, M.K.; Frith, E. Potential avenues for exercise to activate episodic memory-related pathways: A narrative review. Eur. J. Neurosci. 2017, 46, 2067–2077. [Google Scholar] [CrossRef] [PubMed]
- Loprinzi, P.D.; Edwards, M.K. Exercise and implicit memory: A brief systematic review. Psychol. Rep. 2018, 121, 1072–1082. [Google Scholar] [CrossRef] [PubMed]
- Loprinzi, P.D.; Kane, C.J. Exercise and cognitive function: A randomized controlled trial examining acute exercise and free-living physical activity and sedentary effects. Mayo Clin. Proc. 2015, 90, 450–460. [Google Scholar] [CrossRef] [PubMed]
- Edwards, M.K.; Loprinzi, P.D. Experimental effects of acute exercise and meditation on parameters of cognitive function. J. Clin. Med. 2018, 7, 125. [Google Scholar] [CrossRef] [PubMed]
- Roig, M.; Nordbrandt, S.; Geertsen, S.S.; Nielsen, J.B. The effects of cardiovascular exercise on human memory: A review with meta-analysis. Neurosci. Biobehav. Rev. 2013, 37, 1645–1666. [Google Scholar] [CrossRef] [PubMed]
- Roig, M.; Thomas, R.; Mang, C.S.; Snow, N.J.; Ostadan, F.; Boyd, L.A.; Lundbye-Jensen, J. Time-dependent effects of cardiovascular exercise on memory. Exerc. Sport Sci. Rev. 2016, 44, 81–88. [Google Scholar] [CrossRef] [PubMed]
- Labban, J.D.; Etnier, J.L. Effects of acute exercise on long-term memory. Res. Q. Exerc. Sport 2011, 82, 712–721. [Google Scholar] [CrossRef] [PubMed]
- Etnier, J.L.; Wideman, L.; Labban, J.D.; Piepmeier, A.T.; Pendleton, D.M.; Dvorak, K.K.; Becofsky, K. The effects of acute exercise on memory and brain-derived neurotrophic factor (BDNF). J. Sport Exerc. Psychol. 2016, 38, 331–340. [Google Scholar] [CrossRef] [PubMed]
- Chang, Y.K.; Labban, J.D.; Gapin, J.I.; Etnier, J.L. The effects of acute exercise on cognitive performance: A meta-analysis. Brain Res. 2012, 1453, 87–101. [Google Scholar] [CrossRef] [PubMed]
- Reisberg, D.; Heuer, F. Remembering the details of emotional events. In Affect and Accuracy in Recall: Studies of ‘Flashbulb’ Memories; Winograd, E., Neisser, U., Eds.; Cambridge University Press: New York, NY, USA, 1992; pp. 162–190. [Google Scholar]
- McGaugh, J.L. Memory—A century of consolidation. Science 2000, 287, 248–251. [Google Scholar] [CrossRef] [PubMed]
- Hamann, S. Cognitive and neural mechanisms of emotional memory. Trends Cogn. Sci. 2001, 5, 394–400. [Google Scholar] [CrossRef]
- Ferry, B.; McGaugh, J.L. Clenbuterol administration into the basolateral amygdala post-training enhances retention in an inhibitory avoidance task. Neurobiol. Learn. Mem. 1999, 72, 8–12. [Google Scholar] [CrossRef] [PubMed]
- Cahill, L.; Prins, B.; Weber, M.; McGaugh, J.L. Beta-adrenergic activation and memory for emotional events. Nature 1994, 371, 702–704. [Google Scholar] [CrossRef] [PubMed]
- Thomas, M.J.; Moody, T.D.; Makhinson, M.; O’Dell, T.J. Activity-dependent beta-adrenergic modulation of low frequency stimulation induced LTP in the hippocampal CA1 region. Neuron 1996, 17, 475–482. [Google Scholar] [CrossRef]
- Yang, H.W.; Lin, Y.W.; Yen, C.D.; Min, M.Y. Change in bi-directional plasticity at CA1 synapses in hippocampal slices taken from 6-hydroxydopamine-treated rats: The role of endogenous norepinephrine. Eur. J. Neurosci. 2002, 16, 1117–1128. [Google Scholar] [CrossRef] [PubMed]
- Lanier, W.L. The afferentation theory of cerebral arousal. In Neuroanesthesia; Springer: Dordrecht, The Netherlands, 1997; pp. 27–38. [Google Scholar]
- Lanier, W.L.; Iaizzo, P.A.; Milde, J.H. Cerebral function and muscle afferent activity following intravenous succinylcholine in dogs anesthetized with halothane: The effects of pretreatment with a defasciculating dose of pancuronium. Anesthesiology 1989, 71, 87–95. [Google Scholar] [CrossRef] [PubMed]
- Lanier, W.L.; Iaizzo, P.A.; Milde, J.H.; Sharbrough, F.W. The cerebral and systemic effects of movement in response to a noxious stimulus in lightly anesthetized dogs. Possible modulation of cerebral function by muscle afferents. Anesthesiology 1994, 80, 392–401. [Google Scholar] [CrossRef] [PubMed]
- Magnie, M.N.; Bermon, S.; Martin, F.; Madany-Lounis, M.; Suisse, G.; Muhammad, W.; Dolisi, C. P300, N400, aerobic fitness, and maximal aerobic exercise. Psychophysiology 2000, 37, 369–377. [Google Scholar] [CrossRef] [PubMed]
- Scudder, M.R.; Drollette, E.S.; Pontifex, M.B.; Hillman, C.H. Neuroelectric indices of goal maintenance following a single bout of physical activity. Biol. Psychol. 2012, 89, 528–531. [Google Scholar] [CrossRef] [PubMed]
- Segal, S.K.; Cotman, C.W.; Cahill, L.F. Exercise-induced noradrenergic activation enhances memory consolidation in both normal aging and patients with amnestic mild cognitive impairment. J. Alzheimer’s Dis. 2012, 32, 1011–1018. [Google Scholar] [CrossRef] [PubMed]
- Weinberg, L.; Hasni, A.; Shinohara, M.; Duarte, A. A single bout of resistance exercise can enhance episodic memory performance. Acta Psychol. 2014, 153, 13–19. [Google Scholar] [CrossRef] [PubMed]
- Michalak, J.; Rohde, K.; Troje, N.F. How we walk affects what we remember: Gait modifications through biofeedback change negative affective memory bias. J. Behav. Ther. Exp. Psychiatry 2015, 46, 121–125. [Google Scholar] [CrossRef] [PubMed]
- Keyan, D.; Bryant, R.A. Brief exercise enhances intrusive memories of traumatic stimuli. Neurobiol. Learn. Mem. 2017, 141, 9–13. [Google Scholar] [CrossRef] [PubMed]
- Loprinzi, P.D.; Frith, E.; Edwards, M.K. Exercise and emotional memory: A systematic review. J. Cogn. Enhanc. 2018. [Google Scholar] [CrossRef]
- Lang, P.J.; Bradley, M.M.; Cuthbert, B.N. International Affective Picture System (IAPS): Affective Ratings of Pictures and Instruction Manual; Technical Report A-8; University of Florida: Gainesville, FL, USA, 2008. [Google Scholar]
- Canli, T.; Desmond, J.E.; Zhao, Z.; Gabrieli, J.D. Sex differences in the neural basis of emotional memories. Proc. Natl. Acad. Sci. USA 2002, 99, 10789–10794. [Google Scholar] [CrossRef] [PubMed]
- Barha, C.K.; Davis, J.C.; Falck, R.S.; Nagamatsu, L.S.; Liu-Ambrose, T. Sex differences in exercise efficacy to improve cognition: A systematic review and meta-analysis of randomized controlled trials in older humans. Front. Neuroendocrinol. 2017, 46, 71–85. [Google Scholar] [CrossRef] [PubMed]
- Jubelt, L.E.; Barr, R.S.; Goff, D.C.; Logvinenko, T.; Weiss, A.P.; Evins, A.E. Effects of transdermal nicotine on episodic memory in non-smokers with and without schizophrenia. Psychopharmacology 2008, 199, 89–98. [Google Scholar] [CrossRef] [PubMed]
- Klaming, R.; Annese, J.; Veltman, D.J.; Comijs, H.C. Episodic memory function is affected by lifestyle factors: A 14-year follow-up study in an elderly population. Aging Neuropsychol. Cogn. 2017, 24, 528–542. [Google Scholar] [CrossRef] [PubMed]
- Henry, J.D.; Rendell, P.G. A review of the impact of pregnancy on memory function. J. Clin. Exp. Neuropsychol. 2007, 29, 793–803. [Google Scholar] [CrossRef] [PubMed]
- Sherman, S.M.; Buckley, T.P.; Baena, E.; Ryan, L. Caffeine enhances memory performance in young adults during their non-optimal time of day. Front. Psychol. 2016, 7, 1764. [Google Scholar] [CrossRef] [PubMed]
- Wammes, J.D.; Good, T.J.; Fernandes, M.A. Autobiographical and episodic memory deficits in mild traumatic brain injury. Brain Cogn. 2017, 111, 112–126. [Google Scholar] [CrossRef] [PubMed]
- Hindocha, C.; Freeman, T.P.; Xia, J.X.; Shaban, N.D.C.; Curran, H.V. Acute memory and psychotomimetic effects of cannabis and tobacco both ‘joint’ and individually: A placebo-controlled trial. Psychol. Med. 2017, 47, 2708–2719. [Google Scholar] [CrossRef] [PubMed]
- LeRoy, A.; Jacova, C.; Young, C. Neuropsychological performance patterns of adult ADHD subtypes. J. Atten. Disord. 2018. [Google Scholar] [CrossRef] [PubMed]

| Variable | Exercise (n = 17) | Control (n = 17) |
|---|---|---|
| Age, mean years | 20.5 (1.2) | 20.8 (1.8) |
| % Female | 100.0 | 100.0 |
| Race/Ethnicity, % | ||
| White | 52.9 | 64.7 |
| Black | 47.1 | 35.3 |
| BMI, mean kg/m2 | 27.6 (6.6) | 26.4 (6.2) |
| MVPA, mean min/week | 142.6 (135.6) | 162.6 (95.4) |
| On Birth Control Medication, % | 64.7 | 58.8 |
| Heart Rate, mean bpm | ||
| Resting | 79.2 (17.4) | 78.7 (16.0) |
| Midpoint | 129.6 (14.1) | 83.5 (17.7) |
| Endpoint | 127.2 (18.5) | 83.3 (15.3) |
| 2-Min Post | 90.6 (19.7) | 83.1 (15.3) |
| Image Ratings During Training Session | Exercise (n = 17) | Control (n = 17) |
|---|---|---|
| Classification | ||
| Negative Valence-High Arousal | ||
| Valence | 18.0 (6.1) | 24.2 (10.4) |
| Arousal | 58.9 (23.2) | 49.5 (20.7) |
| Negative Valence-Low Arousal | ||
| Valence | 27.8 (8.4) | 32.0 (12.9) |
| Arousal | 29.4 (15.2) | 29.0 (13.5) |
| Neutral Valence-Neutral Arousal | ||
| Valence | 38.7 (8.6) | 40.1 (11.0) |
| Arousal | 39.0 (15.7) | 33.6 (11.9) |
| Positive Valence-High Arousal | ||
| Valence | 50.2 (6.9) | 50.4 (11.2) |
| Arousal | 47.9 (12.7) | 43.1 (13.0) |
| Positive Valence-Low Arousal | ||
| Valence | 59.8 (14.4) | 60.5 (12.2) |
| Arousal | 33.9 (15.9) | 29.3 (12.3) |
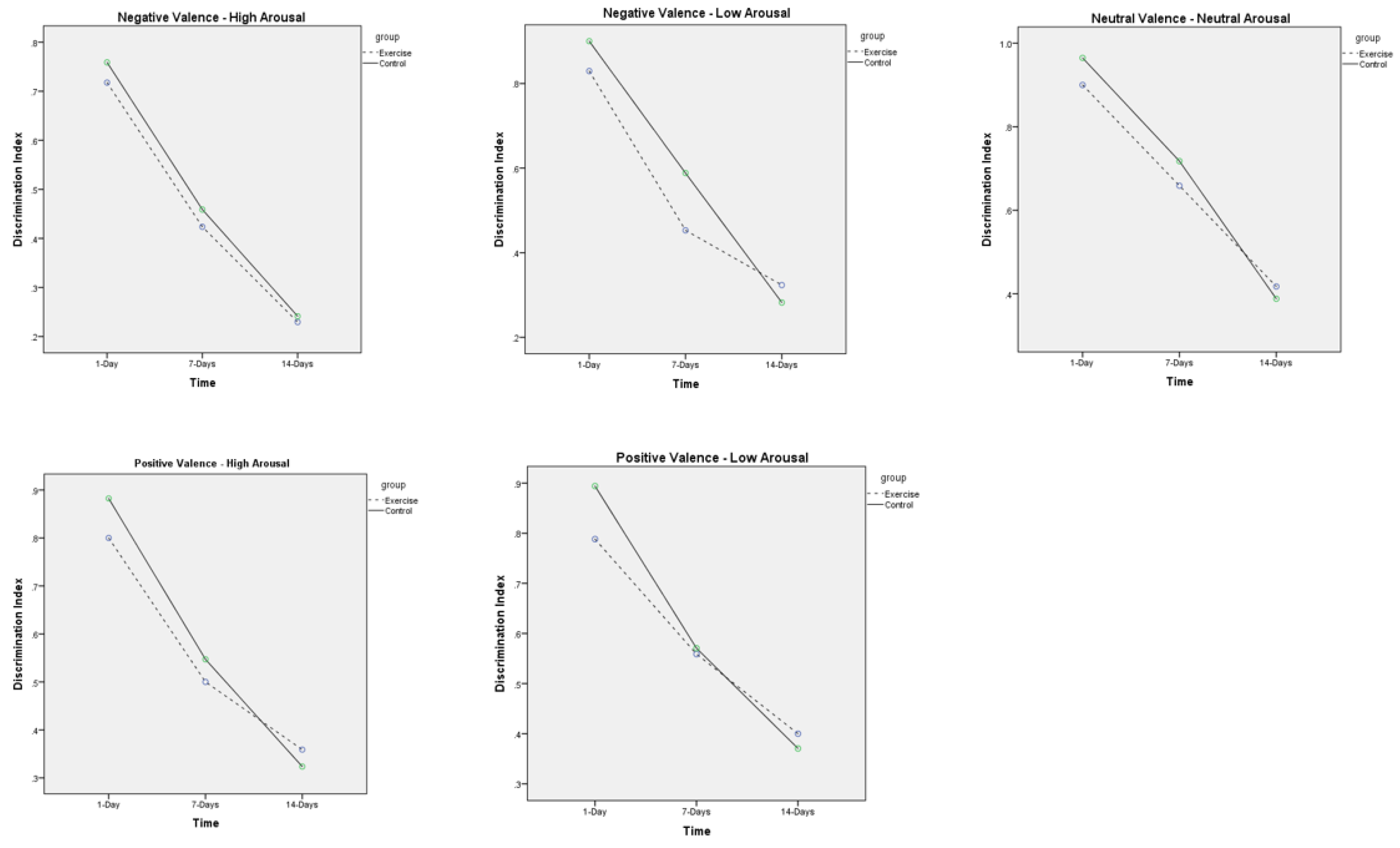
| Assessment | Exercise (n = 17) | Control (n = 17) |
|---|---|---|
| 1-Day Follow-Up | ||
| Negative Valence-High Arousal | ||
| Summed Recognition Score Viewed Images | 13.94 (3.1) | 12.65 (2.4) |
| Summed Recognition Score Non-Viewed Images | 27.35 (1.9) | 27.47 (2.0) |
| Hit-Rate | 0.94 (0.08) | 0.94 (0.06) |
| False-Rate | 0.22 (0.17) | 0.18 (0.14) |
| Discrimination Index | 0.71 (0.19) | 0.75 (0.13) |
| Negative Valence-Low Arousal | ||
| Summed Recognition Score Viewed Images | 16.65 (3.7) | 14.41 (3.3) |
| Summed Recognition Score Non-Viewed Images | 28.94 (1.5) | 29.18 (1.1) |
| Hit-Rate | 0.92 (0.07) | 0.95 (0.06) |
| False-Rate | 0.10 (0.14) | 0.06 (0.07) |
| Discrimination Index | 0.83 (0.14) | 0.90 (0.09) |
| Neutral Valence-Neutral Arousal | ||
| Summed Recognition Score Viewed Images | 14.94 (3.2) | 13.41 (3.0) |
| Summed Recognition Score Non-Viewed Images | 29.35 (1.1) | 29.88 (0.33) |
| Hit-Rate | 0.95 (0.06) | 0.97 (0.05) |
| False-Rate | 0.05 (0.10) | 0.01 (0.03) |
| Discrimination Index | 0.90 (0.13) | 0.96 (0.06) |
| Positive Valence-High Arousal | ||
| Summed Recognition Score Viewed Images | 15.29 (3.6) | 12.88 (2.6) |
| Summed Recognition Score Non-Viewed Images | 28.59 (1.5) | 29.00 (1.0) |
| Hit-Rate | 0.92 (0.11) | 0.97 (0.05) |
| False-Rate | 0.13 (0.14) | 0.08 (0.08) |
| Discrimination Index | 0.80 (0.20) | 0.88 (0.11) |
| Positive Valence-Low Arousal | ||
| Summed Recognition Score Viewed Images | 16.18 (3.7) | 15.12 (3.0) |
| Summed Recognition Score Non-Viewed Images | 28.65 (1.8) | 29.35 (1.0) |
| Hit-Rate | 0.88 (0.11) | 0.95 (0.06) |
| False-Rate | 0.10 (0.11) | 0.06 (0.10) |
| Discrimination Index | 0.78 (0.17) | 0.89 (0.13) |
| 7-Day Follow-Up | ||
| Negative Valence-High Arousal | ||
| Summed Recognition Score Viewed Images | 14.18 (3.6) | 13.06 (3.2) |
| Summed Recognition Score Non-Viewed Images | 21.94 (4.9) | 23.24 (6.0) |
| Hit-Rate | 0.94 (0.08) | 0.91 (0.08) |
| False-Rate | 0.52 (0.28) | 0.45 (0.35) |
| Discrimination Index | 0.42 (0.25) | 0.45 (0.30) |
| Negative Valence-Low Arousal | ||
| Summed Recognition Score Viewed Images | 15.82 (3.9) | 13.82 (3.4) |
| Summed Recognition Score Non-Viewed Images | 23.18 (5.4) | 25.12 (4.6) |
| Hit-Rate | 0.92 (0.09) | 0.92 (0.111) |
| False-Rate | 0.47 (0.34) | 0.34 (0.32) |
| Discrimination Index | 0.45 (0.30) | 0.58 (0.28) |
| Neutral Valence-Neutral Arousal | ||
| Summed Recognition Score Viewed Images | 15.06 (3.5) | 12.47 (2.6) |
| Summed Recognition Score Non-Viewed Images | 25.71 (3.8) | 26.47 (3.3) |
| Hit-Rate | 0.97 (0.04) | 0.97 (0.04) |
| False-Rate | 0.31 (0.22) | 0.25 (0.23) |
| Discrimination Index | 0.65 (0.22) | 0.71 (0.22) |
| Positive Valence-High Arousal | ||
| Summed Recognition Score Viewed Images | 16.00 (4.0) | 12.76 (2.8) |
| Summed Recognition Score Non-Viewed Images | 24.82 (3.9) | 24.06 (4.1) |
| Hit-Rate | 0.90 (0.10) | 0.97 (0.04) |
| False-Rate | 0.40 (0.28) | 0.42 (0.26) |
| Discrimination Index | 0.50 (0.27) | 0.54 (0.26) |
| Positive Valence-Low Arousal | ||
| Summed Recognition Score Viewed Images | 16.71 (4.5) | 13.76 (2.5) |
| Summed Recognition Score Non-Viewed Images | 25.47 (3.7) | 25.24 (3.6) |
| Hit-Rate | 0.88 (0.15) | 0.93 (0.07) |
| False-Rate | 0.32 (0.22) | 0.36 (0.22) |
| Discrimination Index | 0.55 (0.24) | 0.57 (0.23) |
| 14-Day Follow-Up | ||
| Negative Valence-High Arousal | ||
| Summed Recognition Score Viewed Images | 15.06 (3.8) | 13.59 (4.06) |
| Summed Recognition Score Non-Viewed Images | 19.47 (5.7) | 18.76 (7.1) |
| Hit-Rate | 0.89 (0.10) | 0.89 (0.16) |
| False-Rate | 0.66 (0.29) | 0.65 (0.34) |
| Discrimination Index | 0.22 (0.26) | 0.24 (0.28) |
| Negative Valence-Low Arousal | ||
| Summed Recognition Score Viewed Images | 15.82 (3.5) | 14.41 (4.2) |
| Summed Recognition Score Non-Viewed Images | 21.29 (5.4) | 20.29 (6.4) |
| Hit-Rate | 0.93 (0.08) | 0.91 (0.14) |
| False-Rate | 0.61 (0.31) | 0.62 (0.37) |
| Discrimination Index | 0.32 (0.26) | 0.28 (0.30) |
| Neutral Valence-Neutral Arousal | ||
| Summed Recognition Score Viewed Images | 15.18 (4.1) | 13.35 (3.4) |
| Summed Recognition Score Non-Viewed Images | 22.65 (5.1) | 21.65 (6.1) |
| Hit-Rate | 0.94 (0.07) | 0.94 (0.07) |
| False-Rate | 0.52 (0.31) | 0.55 (0.35) |
| Discrimination Index | 0.41 (0.30) | 0.38 (0.30) |
| Positive Valence-High Arousal | ||
| Summed Recognition Score Viewed Images | 15.65 (3.9) | 13.29 (3.4) |
| Summed Recognition Score Non-Viewed Images | 21.47 (5.2) | 20.53 (6.0) |
| Hit-Rate | 0.92 (0.08) | 0.94 (0.10) |
| False-Rate | 0.57 (0.30) | 0.61 (0.33) |
| Discrimination Index | 0.35 (0.28) | 0.32 (0.30) |
| Positive Valence-Low Arousal | ||
| Summed Recognition Score Viewed Images | 16.41 (3.9) | 14.24 (2.7) |
| Summed Recognition Score Non-Viewed Images | 22.71 (5.8) | 22.47 (4.8) |
| Hit-Rate | 0.89 (0.12) | 0.92 (0.09) |
| False-Rate | 0.49 (0.34) | 0.55 (0.31) |
| Discrimination Index | 0.40 (0.27) | 0.37 (0.27) |
© 2018 by the authors. Licensee MDPI, Basel, Switzerland. This article is an open access article distributed under the terms and conditions of the Creative Commons Attribution (CC BY) license (http://creativecommons.org/licenses/by/4.0/).
Share and Cite
Wade, B.; Loprinzi, P.D. The Experimental Effects of Acute Exercise on Long-Term Emotional Memory. J. Clin. Med. 2018, 7, 486. https://doi.org/10.3390/jcm7120486
Wade B, Loprinzi PD. The Experimental Effects of Acute Exercise on Long-Term Emotional Memory. Journal of Clinical Medicine. 2018; 7(12):486. https://doi.org/10.3390/jcm7120486
Chicago/Turabian StyleWade, Breanna, and Paul D. Loprinzi. 2018. "The Experimental Effects of Acute Exercise on Long-Term Emotional Memory" Journal of Clinical Medicine 7, no. 12: 486. https://doi.org/10.3390/jcm7120486
APA StyleWade, B., & Loprinzi, P. D. (2018). The Experimental Effects of Acute Exercise on Long-Term Emotional Memory. Journal of Clinical Medicine, 7(12), 486. https://doi.org/10.3390/jcm7120486

