Digital Cognitive Behavioural Therapy for Insomnia Delivered Within a Crenotherapy Setting: Results from a Multicentre Proof-of-Concept Randomised Controlled Trial
Abstract
1. Introduction
2. Method
2.1. Study Design
2.2. Randomization
2.3. Participants’ Inclusion
2.4. Procedures
2.4.1. Digital Cognitive and Behavioural Therapy for Insomnia Disorder
2.4.2. Crenotherapy
2.5. Outcomes
2.5.1. Insomnia Symptoms
2.5.2. Subjective Sleep Parameters
2.5.3. Sleep Functioning
2.5.4. Pre-Sleep Arousal
2.5.5. Anxiety and Depressive Symptoms
2.5.6. Engagement and Satisfaction Evaluation
2.6. Sample Size
2.7. Statistical Analysis
3. Results
3.1. Participants
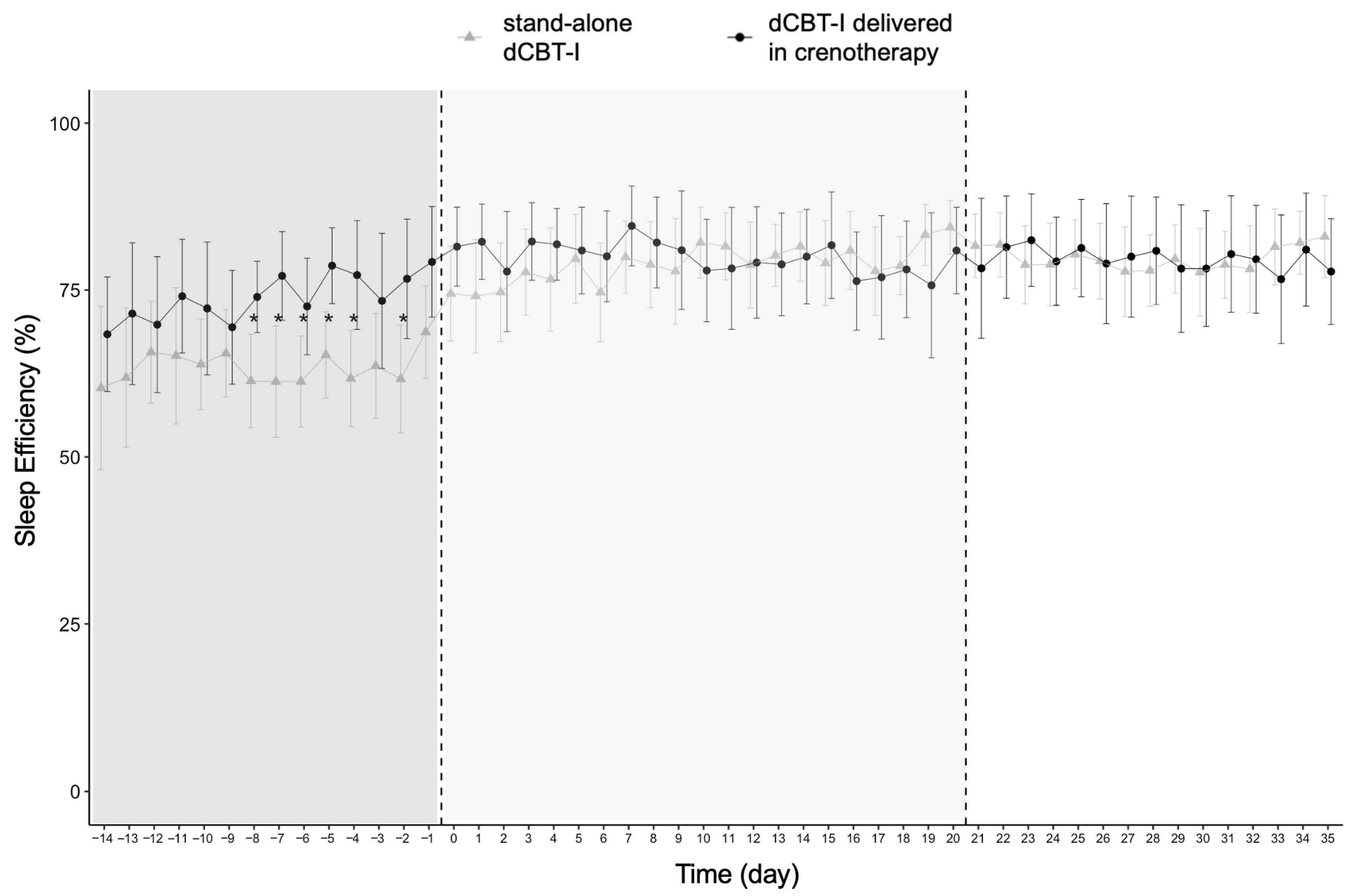
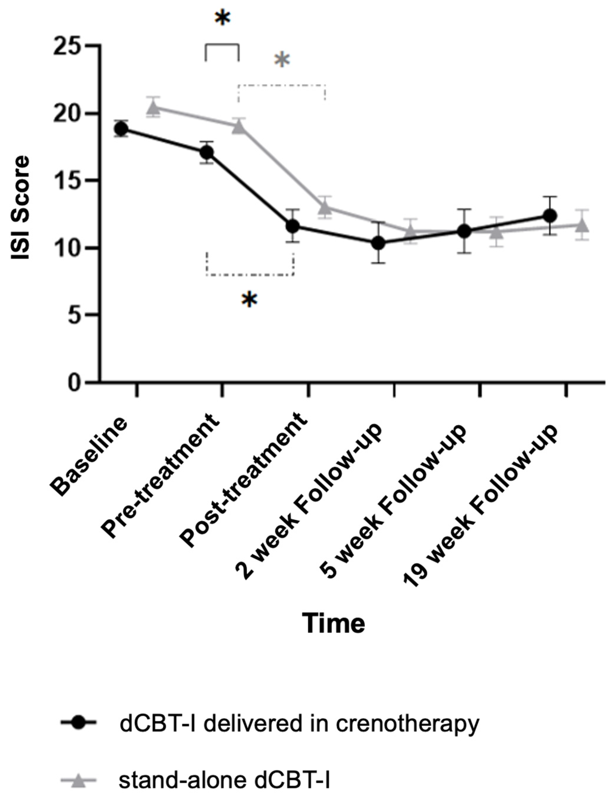
3.2. Impact of Crenotherapy on Insomnia Symptoms
3.3. Impact of Crenotherapy on Other Sleep Parameters and Mental Symptoms
3.4. Impact of Baseline Characteristics on Insomnia Symptoms
3.5. Satisfaction
4. Discussion
5. Limitations
6. Conclusions
Supplementary Materials
Author Contributions
Funding
Institutional Review Board Statement
Informed Consent Statement
Data Availability Statement
Acknowledgments
Conflicts of Interest
References
- Morin, C.M.; Jarrin, D.C. Epidemiology of Insomnia: Prevalence, Course, Risk Factors, and Public Health Burden. Sleep Med. Clin. 2022, 17, 173–191. [Google Scholar] [CrossRef]
- Morin, C.M.; Drake, C.L.; Harvey, A.G.; Krystal, A.D.; Manber, R.; Riemann, D.; Spiegelhalder, K. Insomnia disorder. Nat. Rev. Dis. Primers 2015, 1, 15026. [Google Scholar] [CrossRef]
- Baglioni, C.; Battagliese, G.; Feige, B.; Spiegelhalder, K.; Nissen, C.; Voderholzer, U.; Lombardo, C.; Riemann, D. Insomnia as a predictor of depression: A meta-analytic evaluation of longitudinal epidemiological studies. J. Affect. Disord. 2011, 135, 10–19. [Google Scholar] [CrossRef] [PubMed]
- Hertenstein, E.; Feige, B.; Gmeiner, T.; Kienzler, C.; Spiegelhalder, K.; Johann, A.; Jansson-Fröjmark, M.; Palagini, L.; Rücker, G.; Riemann, D.; et al. Insomnia as a predictor of mental disorders: A systematic review and meta-analysis. Sleep Med. Rev. 2019, 43, 96–105. [Google Scholar] [CrossRef]
- Kazdin, A.E.; Bootzin, R.R. The token economy: An evaluative review. J. Appl. Behav. Anal. 1972, 5, 343–372. [Google Scholar] [CrossRef] [PubMed]
- Riemann, D.; Benz, F.; Dressle, R.J.; Espie, C.A.; Johann, A.F.; Blanken, T.F.; Leerssen, J.; Wassing, R.; Henry, A.L.; Kyle, S.D.; et al. Insomnia disorder: State of the science and challenges for the future. J. Sleep Res. 2022, 31, e13604. [Google Scholar] [CrossRef] [PubMed]
- Delage, J.-P.; Côté, J.; Journault, W.-G.; Lemyre, A.; Bastien, C.H. The relationships between insomnia, nightmares, and dreams: A systematic review. Sleep Med. Rev. 2024, 75, 101931. [Google Scholar] [CrossRef]
- Carney, C.E.; Buysse, D.J.; Ancoli-Israel, S.; Edinger, J.D.; Krystal, A.D.; Lichstein, K.L.; Morin, C.M. The Consensus Sleep Diary: Standardizing Prospective Sleep Self-Monitoring. Sleep 2012, 35, 287–302. [Google Scholar] [CrossRef]
- Van Someren, E.J.W. Brain mechanisms of insomnia: New perspectives on causes and consequences. Physiol. Rev. 2021, 101, 995–1046. [Google Scholar] [CrossRef]
- Wassing, R.; Benjamins, J.S.; Dekker, K.; Moens, S.; Spiegelhalder, K.; Feige, B.; Riemann, D.; van der Sluis, S.; van der Werf, Y.D.; Talamini, L.M.; et al. Slow dissolving of emotional distress contributes to hyperarousal. Proc. Natl. Acad. Sci. USA 2016, 113, 2538–2543. [Google Scholar] [CrossRef]
- Ellis, J.; Ferini-Strambi, L.; García-Borreguero, D.; Heidbreder, A.; O’Regan, D.; Parrino, L.; Selsick, H.; Penzel, T. Chronic Insomnia Disorder across Europe: Expert Opinion on Challenges and Opportunities to Improve Care. Healthcare 2023, 11, 716. [Google Scholar] [CrossRef] [PubMed]
- Qaseem, A.; Kansagara, D.; Forciea, M.A.; Cooke, M.; Denberg, T.D. Clinical Guidelines Committee of the American College of Physicians. Management of Chronic Insomnia Disorder in Adults: A Clinical Practice Guideline From the American College of Physicians. Ann. Intern. Med. 2016, 165, 125–133. [Google Scholar] [CrossRef] [PubMed]
- Riemann, D.; Espie, C.A.; Altena, E.; Arnardottir, E.S.; Baglioni, C.; Bassetti, C.L.A.; Bastien, C.; Berzina, N.; Bjorvatn, B.; Dikeos, D.; et al. The European Insomnia Guideline: An update on the diagnosis and treatment of insomnia 2023. J. Sleep Res. 2023, 32, e14035. [Google Scholar] [CrossRef] [PubMed]
- Wilson, S.; Anderson, K.; Baldwin, D.; Dijk, D.-J.; Espie, A.; Espie, C.; Gringras, P.; Krystal, A.; Nutt, D.; Selsick, H.; et al. British Association for Psychopharmacology consensus statement on evidence-based treatment of insomnia, parasomnias and circadian rhythm disorders: An update. J. Psychopharmacol. 2019, 33, 923–947. [Google Scholar] [CrossRef]
- Baglioni, C.; Altena, E.; Bjorvatn, B.; Blom, K.; Bothelius, K.; Devoto, A.; Espie, C.A.; Frase, L.; Gavriloff, D.; Tuuliki, H.; et al. The European Academy for Cognitive Behavioural Therapy for Insomnia: An initiative of the European Insomnia Network to promote implementation and dissemination of treatment. J. Sleep Res. 2020, 29, e12967. [Google Scholar] [CrossRef]
- van Straten, A.; Lancee, J. Digital cognitive behavioural therapy for insomnia: The answer to a major public health issue? Lancet Digit. Health 2020, 2, e381–e382. [Google Scholar] [CrossRef]
- Soh, H.L.; Ho, R.C.; Ho, C.S.; Tam, W.W. Efficacy of digital cognitive behavioural therapy for insomnia: A meta-analysis of randomised controlled trials. Sleep Med. 2020, 75, 315–325. [Google Scholar] [CrossRef]
- Blom, K.; Tarkian Tillgren, H.; Wiklund, T.; Danlycke, E.; Forssén, M.; Söderström, A.; Johansson, R.; Hesser, H.; Jernelöv, S.; Lindefors, N.; et al. Internet-vs. group-delivered cognitive behavior therapy for insomnia: A randomized controlled non-inferiority trial. Behav. Res. Ther. 2015, 70, 47–55. [Google Scholar] [CrossRef]
- Lancee, J.; van Straten, A.; Morina, N.; Kaldo, V.; Kamphuis, J.H. Guided Online or Face-to-Face Cognitive Behavioral Treatment for Insomnia: A Randomized Wait-List Controlled Trial. Sleep 2016, 39, 183–191. [Google Scholar] [CrossRef]
- Lin, W.; Li, N.; Yang, L.; Zhang, Y. The efficacy of digital cognitive behavioral therapy for insomnia and depression: A systematic review and meta-analysis of randomized controlled trials. PeerJ 2023, 11, e16137. [Google Scholar] [CrossRef]
- Espie, C.A.; Henry, A.L. Disseminating cognitive behavioural therapy (CBT) for insomnia at scale: Capitalising on the potential of digital CBT to deliver clinical guideline care. J. Sleep Res. 2023, 32, e14025. [Google Scholar] [CrossRef]
- Hasan, F.; Tu, Y.K.; Yang, C.M.; James Gordon, C.; Wu, D.; Lee, H.C.; Yuliana, L.T.; Herawati, L.; Chen, T.J.; Chiu, H.Y. Comparative efficacy of digital cognitive behavioral therapy for insomnia: A systematic review and network meta-analysis. Sleep Med. Rev. 2022, 61, 101567. [Google Scholar] [CrossRef] [PubMed]
- Zachariae, R.; Lyby, M.S.; Ritterband, L.M.; O’Toole, M.S. Efficacy of internet-delivered cognitive-behavioral therapy for insomnia—A systematic review and meta-analysis of randomized controlled trials. Sleep Med. Rev. 2016, 30, 1–10. [Google Scholar] [CrossRef]
- Kallestad, H.; Scott, J.; Vedaa, Ø.; Lydersen, S.; Vethe, D.; Morken, G.; Stiles, T.C.; Sivertsen, B.; Langsrud, K. Mode of delivery of Cognitive Behavioral Therapy for Insomnia: A randomized controlled non-inferiority trial of digital and face-to-face therapy. Sleep 2021, 44, zsab185. [Google Scholar] [CrossRef] [PubMed]
- Hwang, J.W.; Lee, G.E.; Woo, J.H.; Kim, S.M.; Kwon, J.Y. Systematic review and meta-analysis on fully automated digital cognitive behavioral therapy for insomnia. npj Digital Med. 2025, 8, 157. [Google Scholar] [CrossRef] [PubMed]
- Mellor, A.; Kavaliotis, E.; Mascaro, L.; Drummond, S.P.A. Approaches to the assessment of adherence to CBT-I, predictors of adherence, and the association of adherence to outcomes: A systematic review. Sleep Med. Rev. 2022, 63, 101620. [Google Scholar] [CrossRef]
- Carpi, M.; Szkody, E.M.; Marques, D.R. One Single Session to Sleep Them All? The Potential of Single-Session Interventions for Insomnia. J. Sleep Res. 2025, e70134. [Google Scholar] [CrossRef]
- de Lange, M.A.; Richmond, R.C.; Eastwood, S.V.; Davies, N.M. Insomnia symptom prevalence in England: A comparison of cross-sectional self-reported data and primary care records in the UK Biobank. BMJ Open 2024, 14, e080479. [Google Scholar] [CrossRef]
- Wilson, S.; Tolley, C.; Mc Ardle, R.; Lawson, L.; Beswick, E.; Hassan, N.; Slight, R.; Slight, S. Recommendations to advance digital health equity: A systematic review of qualitative studies. npj Digit. Med. 2024, 7, 173. [Google Scholar] [CrossRef]
- Candio, P.; Ooms, T. A conceptual framework and umbrella review of digital health technology interventions and health equity. BMC Health Serv. Res. 2025, 26, 16. [Google Scholar] [CrossRef]
- Morin, C.M.; Vallières, A.; Guay, B.; Ivers, H.; Savard, J.; Mérette, C.; Bastien, C.; Baillargeon, L. Cognitive behavioral therapy, singly and combined with medication, for persistent insomnia: A randomized controlled trial. J. Am. Med. Assoc. 2009, 301, 2005–2015. [Google Scholar] [CrossRef]
- Espie, C.A. The Clinician’s Guide to Cognitive and Behavioural Therapeutics (CBTx) for Insomnia: A Scientist-Practitioner Approach; Cambridge University Press: Cambridge, UK, 2025. [Google Scholar]
- Bender, T.; Karagülle, Z.; Bálint, G.P.; Gutenbrunner, C.; Bálint, P.V.; Sukenik, S. Hydrotherapy, balneotherapy, and spa treatment in pain management. Rheumatol. Int. 2005, 25, 220–224. [Google Scholar] [CrossRef] [PubMed]
- Hardy, P.; Many, P. [Crenotherapy]. Soins 1979, 24, 41–43. [Google Scholar] [PubMed]
- Castelli, L.; Galasso, L.; Mulè, A.; Ciorciari, A.; Fornasini, F.; Montaruli, A.; Roveda, E.; Esposito, F. Sleep and spa therapies: What is the role of balneotherapy associated with exercise? A systematic review. Front. Physiol. 2022, 13, 964232. [Google Scholar] [CrossRef]
- Fioravanti, A.; Antonelli, M.; Vitale, M. Advances in modern Balneology: New evidence-based indications from recent studies. Int. J. Biometeorol. 2024, 68, 2447–2452. [Google Scholar] [CrossRef]
- Moini Jazani, A.; Nasimi Doost Azgomi, H.; Nasimi Doost Azgomi, A.; Hossein Ayati, M.; Nasimi Doost Azgomi, R. Efficacy of hydrotherapy, spa therapy, and balneotherapy on sleep quality: A systematic review. Int. J. Biometeorol. 2023, 67, 975–991. [Google Scholar] [CrossRef] [PubMed]
- Salamon, R.; Christine, G.; Olié, J.-P.; Dubois, O. Evaluation of the effectiveness of crenotherapy in treating generalized anxiety disorder. Sante Publique 2008, 20, 105–112. [Google Scholar] [CrossRef]
- Rapolienė, L.; Rapolis, D.; Bredelytė, A.; Taletavičienė, G.; Fioravanti, A.; Martinkėnas, A. Balneotherapy as a Complementary Intervention for Stress and Cortisol Reduction: Findings from a Randomized Controlled Trial. Brain Sci. 2025, 15, 165. [Google Scholar] [CrossRef]
- Vion-Dury, J.; Micoulaud-Franchi, J.-A.; Grousset, B.; Kanny, G.; Dubois, O. Psychosomatic states and their correlation with letting-go: Two newly evaluated core factors for investigating the therapeutic effect of spa treatment. Int. J. Biometeorol. 2023, 67, 1643–1650. [Google Scholar] [CrossRef]
- Zwolińska, J.; Gąsior, M. Effects of complex spa therapy in patients with osteoarthritis of the spine receiving treatments in health resorts in south-eastern Poland. Sci. Rep. 2022, 12, 14663. [Google Scholar] [CrossRef]
- De Maricourt, P.; Gorwood, P.; Hergueta, T.; Galinowski, A.; Salamon, R.; Diallo, A.; Vaugeois, C.; Lépine, J.P.; Olié, J.P.; Dubois, O. Balneotherapy Together with a Psychoeducation Program for Benzodiazepine Withdrawal: A Feasibility Study. Evid.-Based Complement. Altern. Med. eCAM 2016, 2016, 8961709. [Google Scholar] [CrossRef]
- Coelho, J.; Pecune, F.; Levavasseur, Y.; De Sevin, E.; D’incau, E.; Sagaspe, P.; Sanchez-Ortuño, M.-M.; Micoulaud-Franchi, J.-A.; Philip, P. From improved sleep regularity to reduced sleep complaints and mental health conditions: A population-based interventional study using a smartphone-based virtual agent. Sleep 2023, 46, zsad165. [Google Scholar] [CrossRef] [PubMed]
- Dupuy, L.; Morin, C.M.; de Sevin, E.; Taillard, J.; Salles, N.; Bioulac, S.; Auriacombe, M.; Micoulaud-Franchi, J.-A.; Philip, P. Smartphone-based virtual agents and insomnia management: A proof-of-concept study for new methods of autonomous screening and management of insomnia symptoms in the general population. J. Sleep Res. 2022, 31, e13489. [Google Scholar] [CrossRef] [PubMed]
- Morin, C.M.; Bei, B.; Bjorvatn, B.; Poyares, D.; Spiegelhalder, K.; Wing, Y.K.; Governing Council of the World Sleep Society. World sleep society international sleep medicine guidelines position statement endorsement of «behavioral and psychological treatments for chronic insomnia disorder in adults: An American Academy of sleep medicine clinical practice guidelines». Sleep Med. 2023, 109, 164–169. [Google Scholar] [CrossRef] [PubMed]
- Riemann, D.; Baglioni, C.; Bassetti, C.; Bjorvatn, B.; Dolenc Groselj, L.; Ellis, J.G.; Espie, C.A.; Garcia-Borreguero, D.; Gjerstad, M.; Gonçalves, M.; et al. European guideline for the diagnosis and treatment of insomnia. J. Sleep Res. 2017, 26, 675–700. [Google Scholar] [CrossRef]
- Bastien, C. Validation of the Insomnia Severity Index as an outcome measure for insomnia research. Sleep Med. 2001, 2, 297–307. [Google Scholar] [CrossRef]
- Stern, E.; Chamontin, M.; Maruani, J.; Mouchabac, S.; Micoulaud Franchi, J.A.; Mauries, S.; Geoffroy, P.A. Validation of the French version of the Insomnia Severity Index in a population with psychiatric disorders and sleep complaints. L’Encephale 2025. advance online publication. [Google Scholar] [CrossRef]
- Chasens, E.R.; Ratcliffe, S.J.; Weaver, T.E. Development of the FOSQ-10: A Short Version of the Functional Outcomes of Sleep Questionnaire. Sleep 2009, 32, 915–919. [Google Scholar] [CrossRef]
- Nicassio, P.M.; Mendlowitz, D.R.; Fussell, J.J.; Petras, L. The phenomenology of the pre-sleep state: The development of the pre-sleep arousal scale. Behav. Res. Ther. 1985, 23, 263–271. [Google Scholar] [CrossRef]
- Bocéréan, C.; Dupret, E. A validation study of the Hospital Anxiety and Depression Scale (HADS) in a large sample of French employees. BMC Psychiatry 2014, 14, 354. [Google Scholar] [CrossRef]
- Attkisson, C.C.; Zwick, R. The client satisfaction questionnaire. Eval. Program Plann. 1982, 5, 233–237. [Google Scholar] [CrossRef] [PubMed]
- Christensen, H.; Batterham, P.J.; Gosling, J.A.; Ritterband, L.M.; Griffiths, K.M.; Thorndike, F.P.; Glozier, N.; O’Dea, B.; Hickie, I.B.; Mackinnon, A.J. Effectiveness of an online insomnia program (SHUTi) for prevention of depressive episodes (the GoodNight Study): A randomised controlled trial. Lancet Psychiatry 2016, 3, 333–341. [Google Scholar] [CrossRef]
- Skoglund, H.; Sivertsen, B.; Kallestad, H.; Vedaa, Ø. Digital cognitive behavioral therapy for insomnia for people with comorbid psychological distress: A large scale randomized controlled trial. Sleep Med. 2024, 121, 241–250. [Google Scholar] [CrossRef]
- Zhang, C.; Liu, Y.; Guo, X.; Liu, Y.; Shen, Y.; Ma, J. Digital Cognitive Behavioral Therapy for Insomnia Using a Smartphone Application in China: A Pilot Randomized Clinical Trial. JAMA Network Open 2023, 6, e234866. [Google Scholar] [CrossRef] [PubMed]
- Kyle, S.D.; Hurry, M.E.D.; Emsley, R.; Marsden, A.; Omlin, X.; Juss, A.; Spiegelhalder, K.; Bisdounis, L.; Luik, A.I.; Espie, C.A.; et al. The effects of digital cognitive behavioral therapy for insomnia on cognitive function: A randomized controlled trial. Sleep 2020, 43, zsaa034. [Google Scholar] [CrossRef]
- Scott, J.; Vedaa, Ø.; Sivertsen, B.; Langsrud, K.; Kallestad, H. Using network intervention analysis to explore associations between participant expectations of and difficulties with cognitive behavioural therapy for insomnia and clinical outcome: A proof of principle study. J. Psychiatr. Res. 2022, 148, 73–83. [Google Scholar] [CrossRef] [PubMed]
- Dubois, O.; Salamon, R.; Germain, C.; Poirier, M.-F.; Vaugeois, C.; Banwarth, B.; Mouaffak, F.; Galinowski, A.; Olié, J.P. Balneotherapy versus paroxetine in the treatment of generalized anxiety disorder. Complement. Ther. Med. 2010, 18, 1. [Google Scholar] [CrossRef]
- Dressle, R.J.; Riemann, D. Hyperarousal in insomnia disorder: Current evidence and potential mechanisms. J. Sleep Res. 2023, 32, e13928. [Google Scholar] [CrossRef]
- Yuan, S.; Wang, R.; Shi, Y.; Zhao, Y.; Tao, H.; Wu, G.; Tan, L.; Ouyang, X. Bridge symptoms of insomnia, obsessive-compulsive symptoms, and depression/anxiety: A network analysis. BMC Psychiatry 2025, 25, 570. [Google Scholar] [CrossRef]
- Parker, G.; Russo, N. Current issues in relation to burnout’s definition, measurement, prevalence and management: A narrative review. Psychiatry Res. 2025, 352, 116709. [Google Scholar] [CrossRef]
- Tobias, L.A.; Pisani, M.A. Sleep and Sleep Disorders in Older Adults. Clin. Geriatr. Med. 2025, 41, 569–586. [Google Scholar] [CrossRef]
- Altena, E.; Ellis, J.; Camart, N.; Guichard, K.; Bastien, C. Mechanisms of cognitive behavioural therapy for insomnia. J. Sleep Res. 2023, 32, e13860. [Google Scholar] [CrossRef] [PubMed]
- Dekker, K.; Benjamins, J.S.; Maksimovic, T.; Filardi, M.; Hofman, W.F.; van Straten, A.; Van Someren, E.J.W. Combined Internet-Based Cognitive-Behavioral and Chronobiological Intervention for Insomnia: A Randomized Controlled Trial. Psychother. Psychosom. 2020, 89, 117–118. [Google Scholar] [CrossRef] [PubMed]
- Leerssen, J.; Lakbila-Kamal, O.; Dekkers, L.M.S.; Ikelaar, S.L.C.; Albers, A.C.W.; Blanken, T.F.; Lancee, J.; van der Lande, G.J.M.; Maksimovic, T.; Mastenbroek, S.E.; et al. Treating Insomnia with High Risk of Depression Using Therapist-Guided Digital Cognitive, Behavioral, and Circadian Rhythm Support Interventions to Prevent Worsening of Depressive Symptoms: A Randomized Controlled Trial. Psychother. Psychosom. 2022, 91, 168–179. [Google Scholar] [CrossRef] [PubMed]
- Manber, R.; Gumport, N.B.; Tully, I.A.; Kim, J.P.; Kim, B.; Simpson, N.; Rosas, L.G.; Zulman, D.M.; Goldhaber-Fiebert, J.D.; Rangel, E.; et al. Effects of a Triage Checklist to optimize insomnia treatment outcomes and reduce hypnotic use: The RCT of the effectiveness of stepped-care sleep therapy in general practice study. Sleep 2025, 48, zsae182. [Google Scholar] [CrossRef]
- Luik, A.I.; Kyle, S.D.; Espie, C.A. Digital Cognitive Behavioral Therapy (dCBT) for Insomnia: A State-of-the-Science Review. Curr. Sleep Med. Rep. 2017, 3, 48–56. [Google Scholar] [CrossRef]
- Vignapiano, A.; Monaco, F.; Panarello, E.; Landi, S.; Di Gruttola, B.; Malvone, R.; Martiadis, V.; Raffone, F.; Marenna, A.; Pontillo, M.; et al. Digital Interventions for the Rehabilitation of First-Episode Psychosis: An Integrated Perspective. Brain Sci. 2025, 15, 80. [Google Scholar] [CrossRef]
- Simon, L.; Steinmetz, L.; Feige, B.; Benz, F.; Spiegelhalder, K.; Baumeister, H. Comparative efficacy of onsite, digital, and other settings for cognitive behavioral therapy for insomnia: A systematic review and network meta-analysis. Sci. Rep. 2023, 13, 1929. [Google Scholar] [CrossRef]
- Zhou, E.S.; Recklitis, C.J. Internet-delivered insomnia intervention improves sleep and quality of life for adolescent and young adult cancer survivors. Pediatr. Blood Cancer 2020, 67, e28506. [Google Scholar] [CrossRef]
- Riemann, D.; Spiegelhalder, K. Insomnia—An outlook for the future. J. Sleep Res. 2023, 32, e14061. [Google Scholar] [CrossRef]
- Baglioni, C.; Bostanova, Z.; Bacaro, V.; Benz, F.; Hertenstein, E.; Spiegelhalder, K.; Rücker, G.; Frase, L.; Riemann, D.; Feige, B. A Systematic Review and Network Meta-Analysis of Randomized Controlled Trials Evaluating the Evidence Base of Melatonin, Light Exposure, Exercise, and Complementary and Alternative Medicine for Patients with Insomnia Disorder. J. Clin. Med. 2020, 9, 1949. [Google Scholar] [CrossRef]
- Kwon, C.-Y.; Lee, B.; Cheong, M.J.; Kim, T.-H.; Jang, B.-H.; Chung, S.Y.; Kim, J.W. Non-pharmacological Treatment for Elderly Individuals With Insomnia: A Systematic Review and Network Meta-Analysis. Front. Psychiatry 2021, 11, 608896. [Google Scholar] [CrossRef]
- Lowe, H.; Haddock, G.; Mulligan, L.D.; Gregg, L.; Fuzellier-Hart, A.; Carter, L.-A.; Kyle, S.D. Does exercise improve sleep for adults with insomnia? A systematic review with quality appraisal. Clin. Psychol. Rev. 2019, 68, 1–12. [Google Scholar] [CrossRef]
- Crowther, M.E.; Saunders, W.J.; Sletten, T.L.; Drummond, S.P.A.; Bei, B. Tailoring cognitive behavioural therapy for insomnia across contexts, conditions, and individuals: What do we know, where do we go? J. Sleep Res. 2023, 32, e14023. [Google Scholar] [CrossRef]
- Johansen, P.M.; Trujillo, F.A.; Hagerty, V.; Harland, T.; Davis, G.; Pilitsis, J.G. Establishing Minimal Clinically Important Difference in Sleep Outcomes after Spinal Cord Stimulation in Patients with Chronic Pain Disorders. Stereotact. Funct. Neurosurg. 2023, 101, 41–46. [Google Scholar] [CrossRef]
- Yang, M.; Morin, C.M.; Schaefer, K.; Wallenstein, G.V. Interpreting score differences in the Insomnia Severity Index: Using health-related outcomes to define the minimally important difference. Curr. Med. Res. Opin. 2009, 25, 2487–2494. [Google Scholar] [CrossRef]
- Qin, Z.; Zhu, Y.; Shi, D.D.; Chen, R.; Li, S.; Wu, J. The gap between statistical and clinical significance: Time to pay attention to clinical relevance in patient-reported outcome measures of insomnia. BMC Med. Res. Methodol. 2024, 24, 177. [Google Scholar] [CrossRef]






| Phase | Stand-Alone dCBT-I | dCBT-I Delivered in Crenotherapy | Participant Location |
|---|---|---|---|
| Screening (E1–E2) | Eligibility assessment and consent | Eligibility assessment and consent | Home |
| Baseline (E2) | ISI | ISI | Home |
| Pre-treatment period (W0–W2) | ISI, secondary outcomes and 2 weeks sleep diary | ISI, secondary outcomes and 2 weeks sleep diary | Home |
| Intervention (W2–W5) | 3-week dCBT-I program and sleep diary | 3-week dCBT-I program and sleep diary | Home (stand-alone)/Thermal centre (in crenotherapy group) |
| Primary endpoint (W5: Post-treatment) | ISI and secondary outcomes | ISI and secondary outcomes | Home |
| Follow-up (W7, W10, W24, M6) | ISI and secondary outcomes | ISI and secondary outcomes | Home |
| Stand-Alone dCBT-I Group (n = 38) | dCBT-I Delivered in Crenotherapy Group (n = 28) | |
|---|---|---|
| Age, mean ± SD | 58.13 ± 7.11 | 60.61 ± 10.93 |
| Height, mean ± SD | 163.39 ± 7.83 | 166.75 ± 9.28 |
| Weight, mean ± SD | 67.66 ± 15.46 | 65.07 ± 14.32 |
| BMI, mean ± SD | 25.28 ± 5.22 | 23.27 ± 4.01 |
| Female, n, (%) | 34 (89.47%) | 23 (82.14%) |
| History of mental disorders, n, (%) | 25 (65.79%) | 16 (57.14%) |
| Previous crenotherapy, n, (%) | 30 (78.95%) | 21 (75%) |
| Hypnotic medication, n, (%) | 21 (55.26%) | 15 (53.57%) |
| ISI score, mean ± SD | 20.45 ± 3.56 | 18.86 ± 3.91 |
| Severe insomnia disorder (ISI > 21), n, (%) | 14 (36.84%) | 8 (28.57%) |
| Within Group | Between Groups | |||||||||||
|---|---|---|---|---|---|---|---|---|---|---|---|---|
| Stand-Alone dCBT-I | dCBT-I Delivered in Crenotherapy | Stand-Alone dCBT-I vs. dCBT-I Delivered in Crenotherapy | ||||||||||
| Pre | Post | |||||||||||
| Pre | Post | Cohen’s d | p Value | Pre | Post | Cohen’s d | p Value | Delta | p Value | Delta | p Value | |
| ISI | 19.08 ± 3.49 | 13.03 ± 4.94 | 1.25 | <0.001 | 17.11 ± 4.24 | 11.64 ± 6.4 | 0.93 | <0.001 | 1.97 | 0.044 | 1.39 | 0.328 |
| SE | 64.17 ± 14.26 | 79.40 ± 12.88 | −1.57 | <0.001 | 74.28 ± 15.48 | 80.21 ± 16.96 | −0.49 | 0.025 | −10.11 | 0.064 | −0.81 | 0.831 |
| SOL | 54.16 ± 47.29 | 26.04 ± 17.39 | 0.71 | <0.001 | 36.19 ± 22.12 | 26.80 ± 16.42 | 0.43 | 0.044 | 17.91 | 0.076 | −0.76 | 0.865 |
| TST | 393.06 ± 78.81 | 394.69 ± 77.60 | −0.03 | 0.846 | 408.78 ± 86.76 | 416.94 ± 95.11 | −0.19 | 0.364 | −15.72 | 0.502 | −22.25 | 0.321 |
| LI | 54.27 ± 36.71 | 26.92 ± 28.15 | 0.95 | <0.001 | 36.42 ± 32.07 | 22.85 ± 21.19 | 0.54 | 0.015 | 17.85 | 0.056 | 4.07 | 0.547 |
| TIB | 501.14 ± 61.51 | 447.47 ± 71.92 | 1.10 | <0.001 | 481.90 ± 71.04 | 466.59 ± 79.41 | 0.48 | 0.028 | 19.24 | 0.239 | −19.12 | 0.334 |
| WASO | 68.36 ± 42.11 | 34.12 ± 27.91 | 1.00 | <0.001 | 47.74 ± 38.12 | 35.71 ± 33.17 | 0.29 | 0.170 | 20.62 | 0.092 | −1.59 | 0.841 |
| FOSQ10 | 11.81 ± 2.61 | 12.78 ± 3.14 | −0.38 | 0.028 | 12.18 ± 4.24 | 13.50 ± 4.36 | −0.51 | 0.015 | −0.37 | 0.651 | −0.72 | 0.251 |
| PSAS-C | 26.76 ± 6.95 | 22.62 ± 8.23 | 0.62 | <0.001 | 22.91 ± 8.40 | 20.22 ± 8.12 | 0.40 | 0.067 | 3.85 | 0.106 | 2.40 | 0.216 |
| PSAS-S | 15.34 ± 5.54 | 13.94 ± 4.95 | 0.36 | 0.041 | 16.00 ± 5.34 | 15.65 ± 5.95 | 0.06 | 0.768 | −0.66 | 0.516 | −1.71 | 0.212 |
| HADS-A | 12.71 ± 4.23 | 10.71 ± 4.69 | 0.70 | <0.001 | 11.23 ± 3.23 | 8.27 ± 2.89 | 0.87 | <0.001 | 1.48 | 0.165 | 2.44 | 0.030 |
| HADS-D | 8.65 ± 3.70 | 7.24 ± 4.10 | 0.48 | 0.006 | 7.59 ± 5.04 | 5.37 ± 4.32 | 0.56 | 0.008 | 1.06 | 0.304 | 1.87 | 0.058 |
Disclaimer/Publisher’s Note: The statements, opinions and data contained in all publications are solely those of the individual author(s) and contributor(s) and not of MDPI and/or the editor(s). MDPI and/or the editor(s) disclaim responsibility for any injury to people or property resulting from any ideas, methods, instructions or products referred to in the content. |
© 2026 by the authors. Licensee MDPI, Basel, Switzerland. This article is an open access article distributed under the terms and conditions of the Creative Commons Attribution (CC BY) license.
Share and Cite
Lenoir, J.; Mengarduque, M.; Coelho, J.; Geoffroy, P.-A.; Denéchère, É.; Aouizerate, B.; Jaafari, N.; Philip, P.; Taillard, J.; Dubois, O.; et al. Digital Cognitive Behavioural Therapy for Insomnia Delivered Within a Crenotherapy Setting: Results from a Multicentre Proof-of-Concept Randomised Controlled Trial. J. Clin. Med. 2026, 15, 2176. https://doi.org/10.3390/jcm15062176
Lenoir J, Mengarduque M, Coelho J, Geoffroy P-A, Denéchère É, Aouizerate B, Jaafari N, Philip P, Taillard J, Dubois O, et al. Digital Cognitive Behavioural Therapy for Insomnia Delivered Within a Crenotherapy Setting: Results from a Multicentre Proof-of-Concept Randomised Controlled Trial. Journal of Clinical Medicine. 2026; 15(6):2176. https://doi.org/10.3390/jcm15062176
Chicago/Turabian StyleLenoir, Julie, Marie Mengarduque, Julien Coelho, Pierre-Alexis Geoffroy, Émilie Denéchère, Bruno Aouizerate, Nematollah Jaafari, Pierre Philip, Jacques Taillard, Olivier Dubois, and et al. 2026. "Digital Cognitive Behavioural Therapy for Insomnia Delivered Within a Crenotherapy Setting: Results from a Multicentre Proof-of-Concept Randomised Controlled Trial" Journal of Clinical Medicine 15, no. 6: 2176. https://doi.org/10.3390/jcm15062176
APA StyleLenoir, J., Mengarduque, M., Coelho, J., Geoffroy, P.-A., Denéchère, É., Aouizerate, B., Jaafari, N., Philip, P., Taillard, J., Dubois, O., & Micoulaud-Franchi, J.-A. (2026). Digital Cognitive Behavioural Therapy for Insomnia Delivered Within a Crenotherapy Setting: Results from a Multicentre Proof-of-Concept Randomised Controlled Trial. Journal of Clinical Medicine, 15(6), 2176. https://doi.org/10.3390/jcm15062176

