The Impact of Executive Functions on Metaphonological Skills: Correlation and Treatment Implication for ADHD Children
Abstract
1. Introduction
2. Materials and Methods
2.1. Study Design
2.2. Inclusion Criteria
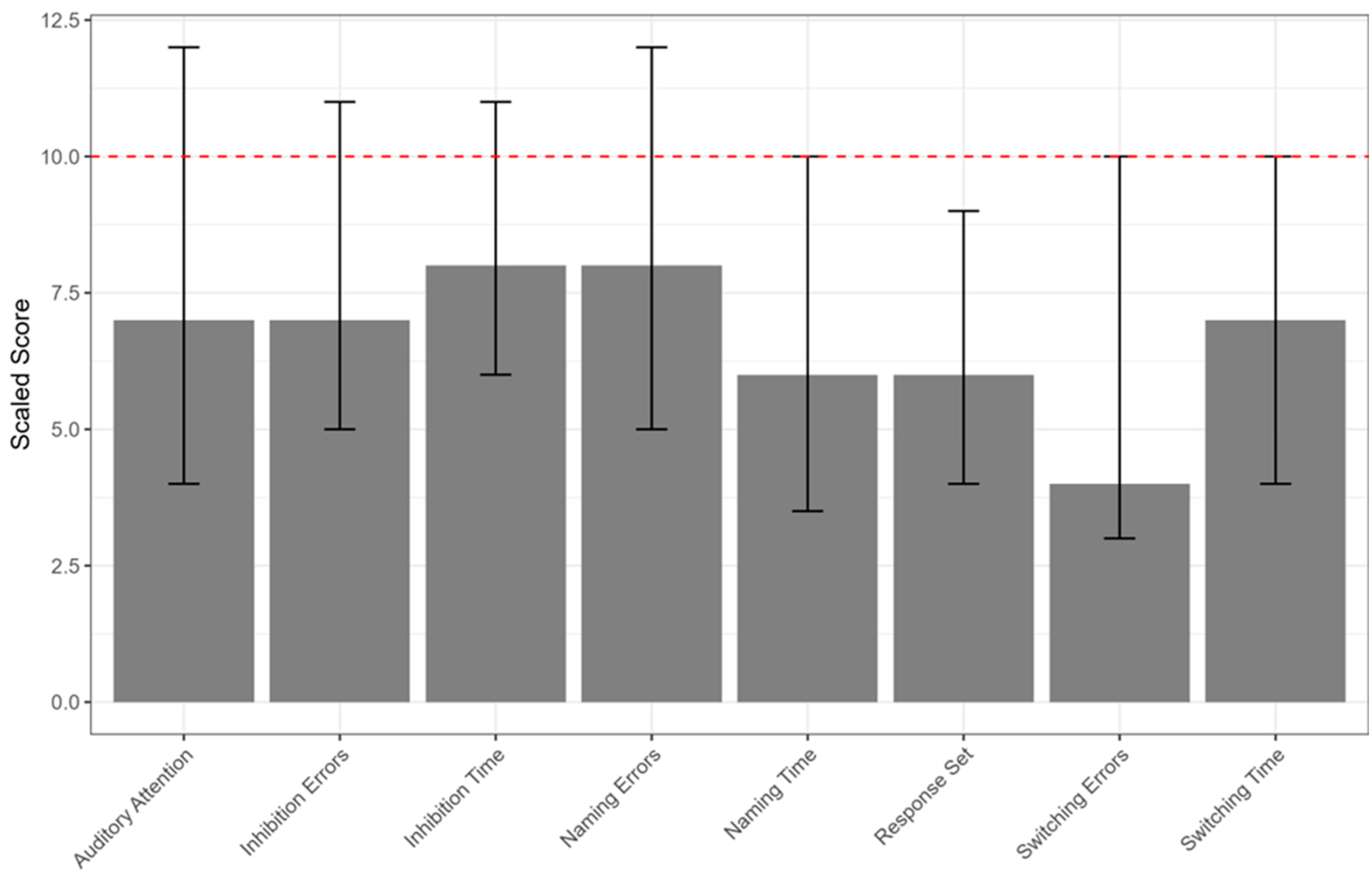
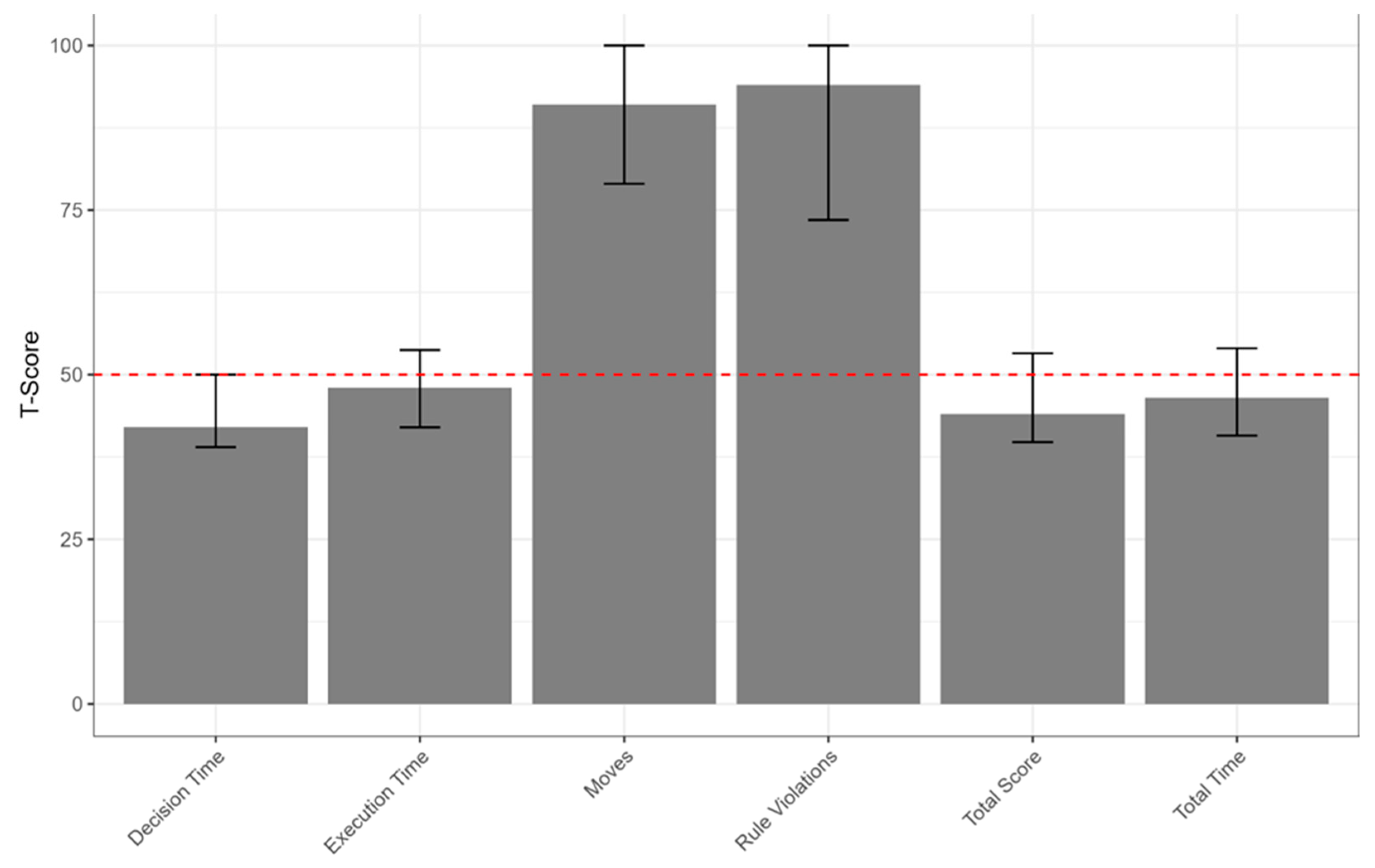
2.3. Measures
2.4. Executive Function
- -
- Auditory Attention (AA, 5–16 years old) assesses precisely selective auditory attention and the child’s ability to sustain attention over time. The child listens to a digital audio file in which a recorded voice lists random words and words related to actions to be performed. The child is presented with a visual array of printed pictures and is instructed to touch the corresponding image (i.e., picture) each time the target word is heard. Each correct response was counted for the AA total score if performed within the two-second interval. Specifically, this task evaluates mainly auditory attention and sustained attention.
- -
- Response Set (RS, 5–16 years old) assesses the child’s skills in modifying a learned response set by adopting a new and more complex one that includes congruent and incongruent responses. Before starting to listen to the digital audio file, the evaluator asks to touch a figure arbitrarily assigned to a specific word (e.g., “When you hear RED, touch the YELLOW circle”). Each correct response was counted for the RS total score if performed within the two-second interval. Specifically, this task evaluates mainly: cognitive flexibility, auditory attention, sustained attention, working memory, performance monitoring, and response inhibition/impulsivity.
- -
- Inhibition (ages 5–16 years old) assesses the child’s ability to inhibit automatic responses in favor of novel ones and consists of three subtests: condition A (Naming), condition B (Inhibition), and condition C (Switching). In the first condition (Naming), shapes or arrows are shown to the child and he must name the shape or arrow’s direction quickly. Naming was used to evaluate fluency, performance monitoring, processing speed, and response inhibition.
2.5. Assessment of Phonological Processing Skills
- -
- Rhyme reconnaissance: This test requires the recognition of rhymes, understood as a simple classificatory skill in which the child’s lexical ability is most involved. It is proposed to use visual support to the words presented orally by the examiner, i.e., four pictures including one stimulus word, one target, and two distractors.
- -
- Verbal fluency with phonemic facilitation: this test is required to elicit the greatest number of words beginning with a given phoneme in one minute. This task provides information about both classification processes based on phonemic analysis and retrieval ability from the lexical storehouse.
- -
- Phonemic synthesis: The task involves the identification of a word that results from the fusion of a sequence of phonemes presented orally. For example, after hearing the sounds /c/—/a/—/t/, the child is expected to blend them together and produce the word “cat”.
- -
- Phonemic segmentation: The examiner pronounces a word aloud, and the child is asked to orally segment the word into its individual phonemes The child’s response is verbal, and no written stimulus is provided.
- -
- Deletion of initial syllable: this test evaluated the child’s ability to perform operations on the phonological structure of language, thus on the ability to “manipulate” phonological material. The child must delete the initial segment of the word.
- -
- Deletion of the final syllable the child must delete the final segment of the word and be able to reproduce the target word without the final syllable. Both the examiner’s question and the child’s answer are verbal, and no written stimulus is provided.
- -
- Spoonerism: in this task, the child had to invert the initial phoneme of two words, providing two new ones. This test is particularly difficult, requiring considerable ability in phonemic synthesis and analysis, and can only be administered starting from the second grade of primary school. For example, after hearing the pair “cat—dog”, the correct response would be “dat—cog”
2.6. Statistical Analysis
3. Results
Multiple Regression Analysis
4. Discussion
4.1. Executive Function-Metaphonological Skill Associations in ADHD
4.2. Developmental Variance and Overlapping Task Demands
4.3. Role of Age and IQ in Metaphonological Performance
4.4. Neurocognitive Interpretation and Clinical Implications
4.5. Limitations
5. Conclusions
Supplementary Materials
Author Contributions
Funding
Institutional Review Board Statement
Informed Consent Statement
Data Availability Statement
Acknowledgments
Conflicts of Interest
References
- American Psychiatric Association. Diagnostic and Statistical Manual of Mental Disorders: DSM-5; American Psychiatric Association: Washington, DC, USA, 2013; Volume 5. [Google Scholar]
- Polanczyk, G.V.; Willcutt, E.G.; Salum, G.A.; Kieling, C.; Rohde, L.A. ADHD prevalence estimates across three decades: An updated systematic review and meta-regression analysis. Int. J. Epidemiol. 2014, 43, 434–442. [Google Scholar] [CrossRef]
- Salari, N.; Ghasemi, H.; Abdoli, N.; Rahmani, A.; Shiri, M.H.; Hashemian, A.H.; Akbari, H.; Mohammadi, M. The global prevalence of ADHD in children and adolescents: A systematic review and meta-analysis. Ital. J. Pediatr. 2023, 49, 48. [Google Scholar] [CrossRef]
- Barkley, R.A. (Ed.) Attention-Deficit Hyperactivity Disorder: A Handbook for Diagnosis and Treatment; Guilford Publications: New York, NY, USA, 2014. [Google Scholar]
- Barkley, R.A.; Fischer, M. Predicting impairment in major life activities and occupational functioning in hyperactive children as adults: Self-reported executive function (EF) deficits versus EF tests. Dev. Neuropsychol. 2011, 36, 137–161. [Google Scholar] [CrossRef]
- Carucci, S.; Narducci, C.; Bazzoni, M.; Balia, C.; Donno, F.; Gagliano, A.; Zuddas, A. Clinical characteristics, neuroimaging findings, and neuropsychological functioning in attention-deficit hyperactivity disorder: Sex differences. J. Neurosci. Res. 2023, 101, 704–717. [Google Scholar] [CrossRef]
- Franke, B.; Michelini, G.; Asherson, P.; Banaschewski, T.; Bilbow, A.; Buitelaar, J.K.; Cormand, B.; Faraone, S.V.; Ginsberg, Y.; Haavik, J.; et al. Live fast, die young? A review of the developmental trajectories of ADHD across the lifespan. Eur. Neuropsychopharmacol. 2018, 28, 1059–1088. [Google Scholar] [CrossRef] [PubMed]
- Semrud-Clikeman, M.; Biederman, J.; Sprich-Buckminster, S.; Lehman, B.K.; Faraone, S.V.; Norman, D. Comorbidity between ADDH and learning disability: A review and report in a clinically referred sample. J. Am. Acad. Child Adolesc. Psychiatry 1992, 31, 439–448. [Google Scholar] [CrossRef]
- Bruce, B.; Thernlund, G.; Nettelbladt, U. ADHD and language impairment: A study of the parent questionnaire FTF (Five to Fifteen). Eur. Child Adolesc. Psychiatry 2006, 15, 52–60. [Google Scholar] [CrossRef]
- Zametkin, A.J.; Liebenauer, L.L.; Fitzgerald, G.A.; King, A.C.; Minkunas, D.V.; Herscovitch, P.; Yamada, E.M.; Cohen, R.M. Brain metabolism in teenagers with attention-deficit hyperactivity disorder. Arch. Gen. Psychiatry 1993, 50, 333–340. [Google Scholar] [CrossRef] [PubMed]
- Hagberg, B.S.; Miniscalco, C.; Gillberg, C. Clinic attenders with autism or attention-deficit/hyperactivity disorder: Cognitive profile at school age and its relationship to preschool indicators of language delay. Res. Dev. Disabil. 2010, 31, 1–8. [Google Scholar] [CrossRef]
- Sciberras, E.; Mueller, K.L.; Efron, D.; Bisset, M.; Anderson, V.; Schilpzand, E.J.; Jongeling, B.; Nicholson, J.M. Language problems in children with ADHD: A community-based study. Pediatrics 2014, 133, 793–800. [Google Scholar] [CrossRef]
- Germanò, E.; Gagliano, A.; Curatolo, P. Comorbidity of ADHD and dyslexia. Dev. Neuropsychol. 2010, 35, 475–493. [Google Scholar] [CrossRef]
- Willcutt, E.G.; Doyle, A.E.; Nigg, J.T.; Faraone, S.V.; Pennington, B.F. Validity of the executive function theory of attention-deficit/hyperactivity disorder: A meta-analytic review. Biol. Psychiatry 2005, 57, 1336–1346. [Google Scholar] [CrossRef]
- Barkley, R.A. Behavioral inhibition, sustained attention, and executive functions: Constructing a unifying theory of ADHD. Psychol. Bull. 1997, 121, 65. [Google Scholar] [CrossRef]
- Douglas, V.I. Cognitive control processes in attention deficit/hyperactivity disorder. In Handbook of Disruptive Behavior Disorders; Springer: Boston, MA, USA, 1999; pp. 105–138. [Google Scholar]
- Pennington, B.F.; Ozonoff, S. Executive functions and developmental psychopathology. J. Child Psychol. Psychiatry 1996, 37, 51–87. [Google Scholar] [CrossRef] [PubMed]
- Savcı, U.; Tufan, A.E.; Öztürk, Y.; Cansız, M.A. Executive Function Problems and Treatment in Children and Adolescents with Attention Deficit and Hyperactivity Disorder. Curr. Approaches Psychiatry/Psikiyatr. Guncel Yaklasimlar 2019, 11, 223. [Google Scholar] [CrossRef]
- Craig, F.; Margari, F.; Legrottaglie, A.R.; Palumbi, R.; De Giambattista, C. A review of executive function deficits in autism spectrum disorder and attention-deficit/hyperactivity disorder. Neuropsychiatr. Dis. Treat. 2016, 12, 1191–1202. [Google Scholar] [PubMed]
- Martinussen, R.; Hayden, J.; Hogg-Johnson, S.; Tannock, R. A meta-analysis of working memory impairments in children with attention-deficit/hyperactivity disorder. J. Am. Acad. Child Adolesc. Psychiatry 2005, 44, 377–384. [Google Scholar] [CrossRef]
- Rhodes, S.M.; Coghill, D.R.; Matthews, K. Neuropsychological functioning in stimulant-naive boys with hyperkinetic disorder. Psychol. Med. 2005, 35, 1109–1120. [Google Scholar] [CrossRef]
- Alderson, R.M.; Rapport, M.D.; Kofler, M.J. Attention-deficit/hyperactivity disorder and behavioral inhibition: A meta-analytic review of the stop-signal paradigm. J. Abnorm. Child Psychol. 2007, 35, 745–758. [Google Scholar] [CrossRef]
- Biederman, J.; Monuteaux, M.C.; Doyle, A.E.; Seidman, L.J.; Wilens, T.E.; Ferrero, F.; Morgan, C.L.; Faraone, S.V. Impact of executive function deficits and attention-deficit/hyperactivity disorder (ADHD) on academic outcomes in children. J. Consult. Clin. Psychol. 2004, 72, 757. [Google Scholar] [CrossRef]
- Loo, S.; Humphrey, L.A.; Tapio, T.; Moilanen, I.K.; McGough, J.J.; McCracken, J.T.; Yang, M.H.; Dang, J.; Taanila, A.; Ebeling, H.; et al. Executive functioning among Finnish adolescents with attention-deficit/hyperactivity disorder. J. Am. Acad. Child Adolesc. Psychiatry 2007, 46, 1594–1604. [Google Scholar] [CrossRef]
- Diamond, A. Executive functions. Annu. Rev. Psychol. 2013, 64, 135–168. [Google Scholar] [CrossRef]
- Kapa, L.L.; Plante, E.; Doubleday, K. Applying an integrative framework of executive function to preschoolers with specific language impairment. J. Speech Lang. Hear. Res. 2017, 60, 2170–2184. [Google Scholar] [CrossRef] [PubMed]
- Al Dahhan, N.Z.; Halverson, K.; Peek, C.P.; Wilmot, D.; D′MEllo, A.; Romeo, R.R.; Meegoda, O.; Imhof, A.; Wade, K.; Sridhar, A.; et al. Dissociating executive function and ADHD influences on reading ability in children with dyslexia. Cortex 2022, 153, 126–142. [Google Scholar] [CrossRef]
- Blankenship, T.L.; Slough, M.A.; Calkins, S.D.; Deater-Deckard, K.; Kim-Spoon, J.; Bell, M.A. Attention and executive functioning in infancy: Links to childhood executive function and reading achievement. Dev. Sci. 2019, 22, e12824. [Google Scholar] [CrossRef]
- Rabiner, D.L.; Godwin, J.; Dodge, K.A. Predicting academic achievement and attainment: The contribution of early academic skills, attention difficulties, and social competence. Sch. Psychol. Rev. 2016, 45, 250–267. [Google Scholar] [CrossRef]
- Thorell, L.B. Do delay aversion and executive function deficits make distinct contributions to the functional impact of ADHD symptoms? A study of early academic skill deficits. J. Child Psychol. Psychiatry Allied Discip. 2007, 48, 1061–1070. [Google Scholar] [CrossRef]
- Willoughby, M.T.; Magnus, B.; Vernon-Feagans, L.; Blair, C.B. Family Life Project Investigators. Developmental delays in executive function from 3 to 5 years of age predict kindergarten academic readiness. J. Learn. Disabil. 2017, 50, 359–372. [Google Scholar]
- Pauls, L.J.; Archibald, L.M. Executive Functions in Children with Specific Language Impairment: A Meta-Analysis. J. Speech Lang. Hear. Res. 2016, 59, 1074–1086. [Google Scholar] [CrossRef]
- Baddeley, A.D.; Gathercole, S.; Papagno, C. The phonological loop as a language learning device. Psychol. Rev. 1998, 105, 158–173. [Google Scholar] [CrossRef]
- Gathercole, S.E.; Baddeley, A.D. Evaluation of the role of phonological STM in the development of vocabulary in children: A longitudinal study. J. Mem. Lang. 1989, 28, 200–213. [Google Scholar] [CrossRef]
- Ye, Z.; Zhou, X. Involvement of cognitive control in sentence comprehension: Evidence from ERPs. Brain Res. 2008, 1203, 103–115. [Google Scholar] [CrossRef]
- Deák, G.O. The development of cognitive flexibility and language abilities. Adv. Child Dev. Behav. 2004, 31, 271–327. [Google Scholar]
- Waring, R.; Rickard Liow, S.; Dodd, B.; Eadie, P. Differentiating phonological delay from phonological disorder: Executive function performance in preschoolers. Int. J. Lang. Commun. Disord. 2022, 57, 288–302. [Google Scholar] [CrossRef]
- Ruffini, C.; Berni, M.; Pierucci, G.; Pecini, C. Executive functions as predictors of learning prerequisites in preschool: A longitudinal study. Trends Neurosci. Educ. 2024, 36, 100239. [Google Scholar] [CrossRef]
- Blair, C.; Razza, R.P. Relating effortful control, executive function, and false belief understanding to emerging math and literacy ability in kindergarten. Child Dev. 2007, 78, 647–663. [Google Scholar] [CrossRef]
- Welsh, J.A.; Nix, R.L.; Blair, C.; Bierman, K.L.; Nelson, K.E. The development of cognitive skills and gains in academic school readiness for children from low-income families. J. Educ. Psychol. 2010, 102, 43–53. [Google Scholar] [CrossRef]
- Bortolini, U. Phonological Development. In Manual of Developmental Neuropsychology; Sabbadini, G., Ed.; Zanichelli: Bologna, Italy, 1995. [Google Scholar]
- Morais, J.; Alegria, J.; Content, A. The relationships between segmental analysis and alphabetic literacy: An interactive view. Cah. Psychol. Cogn. 1987, 7, 415–438. [Google Scholar]
- Melogno, S.; Pinto, M.A.; Lauriola, M. Becoming the Metalinguistic Mind: The Development of Metalinguistic Abilities in Children from 5 to 7. Children 2022, 9, 550. [Google Scholar] [CrossRef] [PubMed]
- Lenel, J.C.; Cantor, J.H. Rhyme recognition and phonemic perception in young children. J. Psycholinguist. Res. 1981, 10, 57–67. [Google Scholar] [CrossRef]
- Kim, Y.G. Executive Functions and Morphological Awareness Explain the Shared Variance Between Word Reading and Listening Comprehension. Sci. Stud. Read. 2023, 27, 451–474. [Google Scholar] [CrossRef]
- Vissers, C.; Koolen, S.; Hermans, D.; Scheper, A.; Knoors, H. Executive functioning in preschoolers with specific language impairment. Front. Psychol. 2015, 6, 1574. [Google Scholar] [CrossRef]
- Bellani, M.; Moretti, A.; Perlini, C.; Brambilla, P. Language disturbances in ADHD. Epidemiol. Psychiatr. Sci. 2011, 20, 311–315. [Google Scholar] [CrossRef]
- Law, J.; Tomblin, J.B.; Zhang, X. Characterizing the growth trajectories of language-impaired children between 7 and 11 years of age. J. Speech Lang. Hear. Res. 2008, 51, 739–749. [Google Scholar] [CrossRef]
- Termine, C.; Stella, G.; Capsoni, C.; Rosso, E.; Binda, A.; Pirola, A.; Conti, C.; Gruppi, E.; Lanzi, G.; Salini, S.; et al. Neuropsychological profile of pre-schoolers with metaphonological difficulties: Results from a non-clinical sample. Child Care Health Dev. 2007, 33, 703–712. [Google Scholar] [CrossRef]
- Furnes, B.; Samuelsson, S. Predicting reading and spelling difficulties in transparent and opaque orthographies: A comparison between Scandinavian and US/Australian children. Dyslexia 2010, 16, 119–142. [Google Scholar] [CrossRef]
- Melby-Lervåg, M.; Lyster, S.A.H.; Hulme, C. Phonological skills and their role in learning to read: A meta-analytic review. Psychol. Bull. 2012, 138, 322. [Google Scholar] [CrossRef]
- Willcutt, E.G.; Pennington, B.F.; Olson, R.K.; Chhabildas, N.; Hulslander, J. Neuropsychological analyses of comorbidity between reading disability and attention deficit hyperactivity disorder: In search of the common deficit. Dev. Neuropsychol. 2005, 27, 35–78. [Google Scholar] [CrossRef] [PubMed]
- Biederman, J. Impact of comorbidity in adults with attention-deficit/hyperactivity disorder. J. Clin. Psychiatry 2004, 65, 3–7. [Google Scholar] [PubMed]
- Matejko, A.A.; Lozano, M.; Schlosberg, N.; McKay, C.; Core, L.; Revsine, C.; Davis, S.N.; Eden, G.F. The relationship between phonological processing and arithmetic in children with learning disabilities. Dev. Sci. 2023, 26, e13294. [Google Scholar] [CrossRef] [PubMed]
- Everatt, J.; Weeks, S.; Brooks, P. Profiles of strengths and weaknesses in dyslexia and other learning difficulties. Dyslexia 2007, 14, 16–41. [Google Scholar] [CrossRef]
- Hutchinson, E.; Bavin, E.; Efron, D.; Sciberras, E. A comparison of working memory profiles in school-aged children with Specific Language Impairment, Attention Deficit/Hyperactivity Disorder, Comorbid SLI and ADHD and their typically developing peers. Child Neuropsychol. J. Norm. Abnorm. Dev. Child. Adolesc. 2012, 18, 190–207. [Google Scholar] [CrossRef]
- Stanford, E.; Delage, H. Executive Functions and Morphosyntax: Distinguishing DLD From ADHD in French-Speaking Children. Front. Psychol. 2020, 11, 551824. [Google Scholar] [CrossRef]
- Javorsky, J. An examination of youth with attention-deficit/hyperactivity disorder and language learning disabilities: A clinical study. J. Learn. Disabil. 1996, 29, 247–258. [Google Scholar] [CrossRef] [PubMed]
- Redmond, S.M.; Thompson, H.L.; Goldstein, S. Psycholinguistic profiling differentiates specific language impairment from typical development and from attention-deficit/hyperactivity disorder. J. Speech Lang. Hear. Res. 2011, 54, 99–117. [Google Scholar] [CrossRef] [PubMed]
- Bernhardt, B.; Major, E. Speech, language and literacy skills 3 years later: A follow-up study of early phonological and metaphonological intervention. Int. J. Lang. Commun. Disord. 2005, 40, 1–27. [Google Scholar] [CrossRef]
- Blaye, A.; Jacques, S. Categorical flexibility in pre-schoolers: Contributions of conceptual knowledge and executive control. Dev. Sci. 2009, 12, 863–873. [Google Scholar] [CrossRef]
- Gathercole, S.E.; Baddeley, A.D. Working Memory and Language; Psychology Press: New York, NY, USA, 1993. [Google Scholar]
- Orsini, A.; Pezzuti, L.; Picone, L. WISC-IV. Contribution To The Italian Calibration; Giunti OS—Special Organisations: Florence, Italy, 2012. [Google Scholar]
- Korkman, M.; Kirk, U.; Kemp, S. NEPSY-II–Second Edition; Harcourt Assessment: San Antonio, TX, USA, 2007. [Google Scholar]
- Fancello, G.S.; Vio, C.; Cianchetti, C. TOL. Tower of London. Test for The Evaluation of Executive Functions (Planning and Problem-solving); With CD-ROM; Edizioni Erickson: Trento, Italy, 2021. [Google Scholar]
- Marotta, L.; Ronchetti, C.; Trasciani, M.; Vicari, S. Test CMF—Valutazione Delle Competenze Metafonologiche; Con CD-ROM; Edizioni Erickson: Trento, Italy, 2008. [Google Scholar]
- Boccia, M.; Marin, D.; D’Antuono, G.; Ciurli, P.; Incoccia, C.; Antonucci, G.; Guariglia, C.; Piccardi, L. The Tower of London (ToL) in Italy: Standardization of the ToL test in an Italian population. Neurol. Sci. 2017, 38, 1263–1270. [Google Scholar] [CrossRef]
- Spaulding, T.J.; Plante, E.; Vance, R. Sustained selective attention skills of preschool children with specific language impairment: Evidence for separate attentional capacities. J. Speech Lang. Hear. Res. 2008, 51, 16–34. [Google Scholar] [CrossRef] [PubMed]
- Ebert, K.D.; Kohnert, K. Sustained attention in children with primary language impairment: A meta-analysis. J. Speech Lang. Hear. Res. 2011, 54, 1372–1384. [Google Scholar] [CrossRef]
- Gandolfi, E.; Traverso, L.; Zanobini, M.; Usai, M.C.; Viterbori, P. The longitudinal relationship between early inhibitory control skills and emergent literacy in preschool children. Read. Writ. 2021, 34, 1985–2009. [Google Scholar] [CrossRef]
- Nozari, N.; Dell, G.S.; Schwartz, M.F. Is comprehension necessary for error detection? A conflict-based account of monitoring in speech production. Cogn. Psychol. 2011, 63, 1–33. [Google Scholar] [CrossRef] [PubMed]
- Lara-Díaz, M.F.; Beltrán Rojas, J.C.; Aponte Rippe, Y. Visual attention and phonological processing in children with developmental language disorder. Front. Commun. 2024, 9, 1386279. [Google Scholar] [CrossRef]
- Landerl, K.; Rojas, J.C.B.; Rippe, Y.A. Phonological awareness and rapid automatized naming as longitudinal predictors of reading in five alphabetic orthographies with varying degrees of consistency. Sci. Stud. Read. 2019, 23, 220–234. [Google Scholar] [CrossRef]
- Rohl, M.; Tunmer, W.E. Phonemic segmentation skill and spelling acquisition. Appl. Psycholinguist. 1988, 9, 335–350. [Google Scholar] [CrossRef]
- Shokrkon, A.; Nicoladis, E. The directionality of the relationship between executive functions and language skills: A literature review. Front. Psychol. 2022, 13, 848696. [Google Scholar] [CrossRef]
- Purvis, K.L.; Tannock, R. Phonological processing, not inhibitory control, differentiates ADHD and reading disability. J. Am. Acad. Child Adolesc. Psychiatry 2000, 39, 485–494. [Google Scholar] [CrossRef]
- Ger, E.; Roebers, C.M. The relationship between executive functions, working memory, and intelligence in kindergarten children. J. Intell. 2023, 11, 64. [Google Scholar] [CrossRef]
- Lorusso, M.L.; Borasio, F.; Travellini, S.; Molteni, M. Predicting Response to Neuropsychological Intervention in Developmental Dyslexia: A Retrospective Study. Brain Sci. 2024, 14, 775. [Google Scholar] [CrossRef]
- Ryan, M.; Borasio, F.; Travellini, S.; Molteni, M. Rapid automatized naming (RAN) in children with ADHD: An ex-Gaussian analysis. Child Neuropsychol. 2017, 23, 571–587. [Google Scholar] [CrossRef]
- McDowell, K.D.; Lonigan, C.J.; Goldstein, H. Relations among socioeconomic status, age, and predictors of phonological awareness. J. Speech Lang. Hear. Res. 2007, 50, 1079–1092. [Google Scholar] [CrossRef]
- Sermier Dessemontet, R.; de Chambrier, A.F.; Martinet, C.; Moser, U.; Bayer, N. Exploring phonological awareness skills in children with intellectual disability. Am. J. Intellect. Dev. Disabil. 2017, 122, 476–491. [Google Scholar] [CrossRef] [PubMed]
- Anthony, J.L.; Lonigan, C.J.; Driscoll, K.; Phillips, B.M.; Burgess, S.R. Phonological Sensitivity: A quasi-parallel progression of word structure units and cognitive operations. Read. Res. Q. 2003, 38, 470–487. [Google Scholar] [CrossRef]
- Miller, E.K. The prefrontal cortex and cognitive control. Nature reviews. Neuroscience 2000, 1, 59–65. [Google Scholar] [CrossRef]
- Miller, E.K.; Cohen, J.D. An integrative theory of prefrontal cortex function. Annu. Rev. Neurosci. 2001, 24, 167–202. [Google Scholar] [CrossRef]
- Ref Benso, F.; Mazzoni, N.; Chiorri, C.; Ardu, E.; Venuti, P.; Pasqualotto, A. Spoonerism Beyond Language: A Multi-Componential Perspective on Phonological Awareness. Brain Sci. 2025, 15, 878. [Google Scholar] [CrossRef] [PubMed]
- Puente, A.; Alvarado, J.M.; Fernández, P.; Rosselli, M.; Ardila, A.; Jiménez, A. Assessment of reading precursors in Spanish-speaking children. Span. J. Psychol. 2016, 19, E85. [Google Scholar] [CrossRef] [PubMed]
- Lefèvre, E.; Cavalli, E.; Colé, P.; Law, J.M.; Sprenger-Charolles, L. Tracking reading skills and reading-related skills in dyslexia before (age 5) and after (ages 10–17) diagnosis. Ann. Dyslexia 2023, 73, 260–287. [Google Scholar] [CrossRef]
- Laasonen, M.; Lehtinen, M.; Leppämäki, S.; Tani, P.; Hokkanen, L. Project DyAdd: Phonological processing, reading, spelling, and arithmetic in adults with dyslexia or ADHD. J. Learn. Disabil. 2010, 43, 3–14. [Google Scholar] [CrossRef]
- Segundo-Marcos, R.; Carrillo, A.M.; Fernández, V.L.; González, M.T.D. Development of executive functions in late childhood and the mediating role of cooperative learning: A longitudinal study. Cogn. Dev. 2022, 63, 101219. [Google Scholar] [CrossRef]
- Diamanti, V.; Mouzaki, A.; Ralli, A.; Antoniou, F.; Papaioannou, S.; Protopapas, A. Preschool Phonological and Morphological Awareness As Longitudinal Predictors of Early Reading and Spelling Development in Greek. Front. Psychol. 2017, 8, 2039. [Google Scholar] [CrossRef] [PubMed]
- Windfuhr, K.L.; Snowling, M.J. The relationship between paired associate learning and phonological skills in normally developing readers. J. Exp. Child Psychol. 2001, 80, 160–173. [Google Scholar] [CrossRef]
- Boets, B.; Wouters, J.; van Wieringen, A.; Ghesquière, P. Auditory temporal information processing in preschool children at family risk for dyslexia: Relations with phonological abilities and developing literacy skills. Brain Lang. 2006, 97, 64–79. [Google Scholar] [CrossRef]
- Boets, B.; Wouters, J.; van Wieringen, A.; De Smedt, B.; Ghesquière, P. Modelling relations between sensory processing, speech perception, orthographic and phonological ability, and literacy achievement. Brain Lang. 2008, 106, 29–40. [Google Scholar] [CrossRef] [PubMed]
- Schatschneider, C.; Fletcher, J.M.; Francis, D.J.; Carlson, C.D.; Foorman, B.R. Kindergarten prediction of reading skills: A longitudinal comparative analysis. J. Educ. Psychol. 2004, 96, 265. [Google Scholar] [CrossRef]



| Test | Subtest | Cognitive Domain |
|---|---|---|
| NEPSY-II | Auditory Attention | Selective and sustained attention |
| NEPSY-II | Response Set | Cognitive flexibility, response inhibition, working memory |
| NEPSY-II | Inhibition—Naming | Processing speed, fluency, response monitoring |
| NEPSY-II | Inhibition—Inhibition | Response inhibition, cognitive control |
| NEPSY-II | Inhibition—Switching | Cognitive flexibility, working memory, inhibition |
| Tower of London | Total score/time/errors | Planning, problem solving, monitoring, inhibition |
| Item AMS | Metaphonological Awareness | Metaphonological Skills |
|---|---|---|
| Rhyme reconnaissance | global awareness | Sound Judgment task |
| Verbal fluency with phonemic facilitation | analytical awareness | |
| Phonemic synthesis | analytical awareness | Synthesis and Segmentation |
| Phonemic segmentation | ||
| Deletion of initial syllable | analytical awareness analytical awareness | Manipulation |
| Deletion of final syllable | ||
| Spoonerism | analytical awareness |
| N | Average (SD) or % | ||
|---|---|---|---|
| Sample | 84 | ||
| Age | 7.94 (1.667) | ||
| Gender | Male | 48 | 57.1% |
| Female | 36 | 42.9% | |
| Intellectual Quotient | 89.8 | ||
| Dependent Variables | Predictors | β | Std β | p-Value | Adjusted R2 |
|---|---|---|---|---|---|
| Phonemic synthesis | Age | 5.66 | 0.47 | 0.02 | 0.14 |
| Switching Time Scaled Score | 1.99 | 0.40 | 0.09 | ||
| Deletion of the final syllable | Age | 5.39 | 0.44 | 0.03 | 0.01 |
| Execution Time T-Score | −1.15 | −0.64 | 0.07 |
| Dependent Variables | Predictors | β | Std β | p-Value | Adjusted R2 |
|---|---|---|---|---|---|
| Phonemic synthesis | Age | 5.84 | 0.48 | 0.04 | 0.17 |
| Deletion of the final syllable | Age | 7.28 | 0.59 | 0.02 | 0.05 |
Disclaimer/Publisher’s Note: The statements, opinions and data contained in all publications are solely those of the individual author(s) and contributor(s) and not of MDPI and/or the editor(s). MDPI and/or the editor(s) disclaim responsibility for any injury to people or property resulting from any ideas, methods, instructions or products referred to in the content. |
© 2026 by the authors. Licensee MDPI, Basel, Switzerland. This article is an open access article distributed under the terms and conditions of the Creative Commons Attribution (CC BY) license.
Share and Cite
Piccolo, A.; La Fauci, M.; De Domenico, C.; Di Cara, M.; Fulgenzi, A.; Mancuso, N.; Bonanno, L.; Tresoldi, M.; Muratore, R.; Impallomeni, C.; et al. The Impact of Executive Functions on Metaphonological Skills: Correlation and Treatment Implication for ADHD Children. J. Clin. Med. 2026, 15, 906. https://doi.org/10.3390/jcm15020906
Piccolo A, La Fauci M, De Domenico C, Di Cara M, Fulgenzi A, Mancuso N, Bonanno L, Tresoldi M, Muratore R, Impallomeni C, et al. The Impact of Executive Functions on Metaphonological Skills: Correlation and Treatment Implication for ADHD Children. Journal of Clinical Medicine. 2026; 15(2):906. https://doi.org/10.3390/jcm15020906
Chicago/Turabian StylePiccolo, Adriana, Margherita La Fauci, Carmela De Domenico, Marcella Di Cara, Alessia Fulgenzi, Noemi Mancuso, Lilla Bonanno, Maria Tresoldi, Rosalia Muratore, Caterina Impallomeni, and et al. 2026. "The Impact of Executive Functions on Metaphonological Skills: Correlation and Treatment Implication for ADHD Children" Journal of Clinical Medicine 15, no. 2: 906. https://doi.org/10.3390/jcm15020906
APA StylePiccolo, A., La Fauci, M., De Domenico, C., Di Cara, M., Fulgenzi, A., Mancuso, N., Bonanno, L., Tresoldi, M., Muratore, R., Impallomeni, C., Tripodi, E., & Cucinotta, F. (2026). The Impact of Executive Functions on Metaphonological Skills: Correlation and Treatment Implication for ADHD Children. Journal of Clinical Medicine, 15(2), 906. https://doi.org/10.3390/jcm15020906

