Learning Curve of Cardiac Surgery Residents in Transit-Time Flow Measurement and High-Resolution Epicardial Ultrasonography During Coronary Surgery
Abstract
1. Introduction
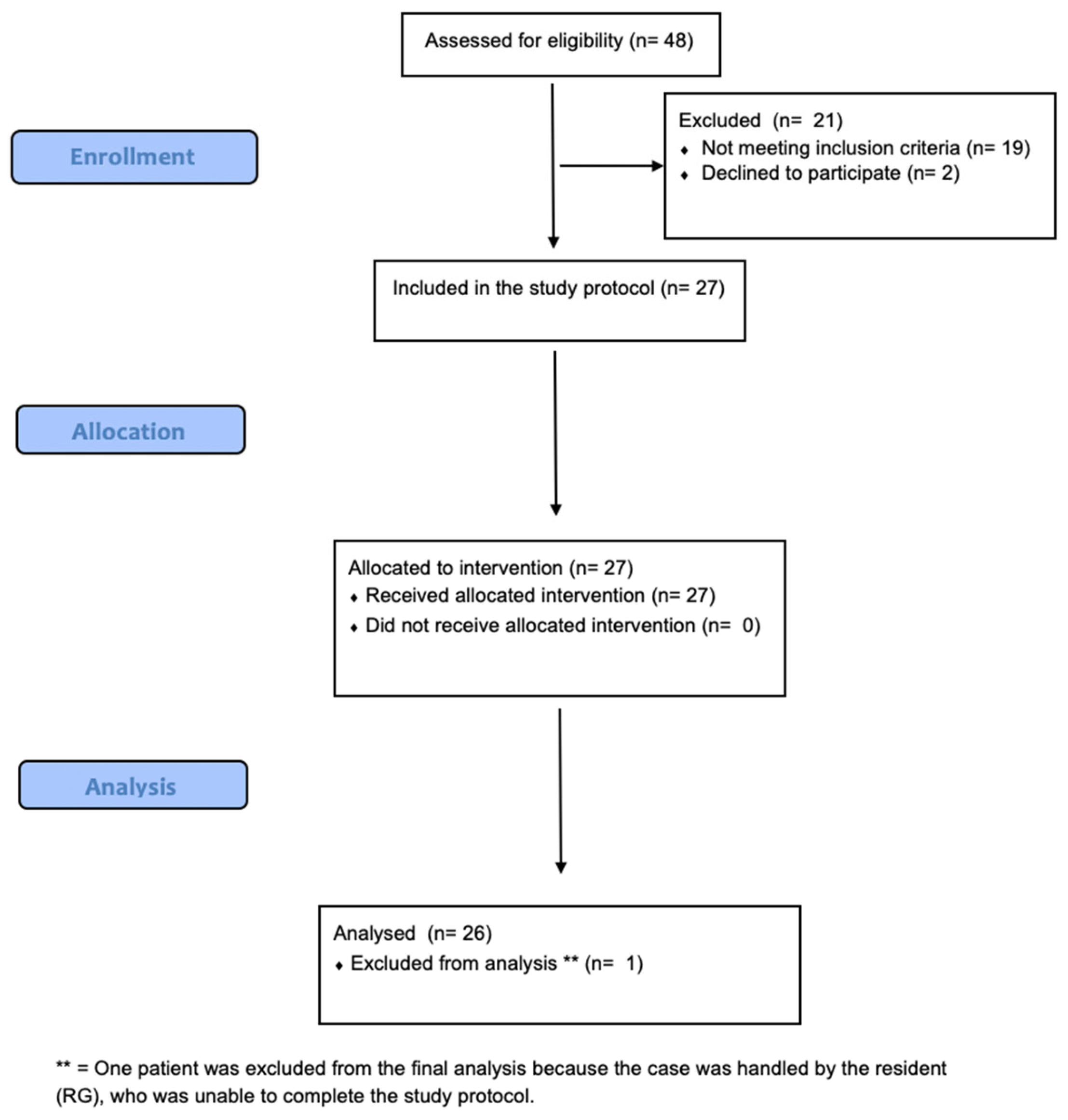
2. Materials and Methods
2.1. Study Population
2.2. Cardiac Surgery Residents
2.3. Pre-Training and Benchmark Selection
2.4. HRUS Study Protocol
2.5. TTFM Study Protocol
2.6. Data Management
2.7. Endpoints
- A TTFM total score per number of grafts analyzed ≥ 7;
- An HRUS total score per number of grafts analyzed ≥ 4.
2.8. Statistical Analysis
3. Results
3.1. Baseline Patient Characteristics and Surgery Details
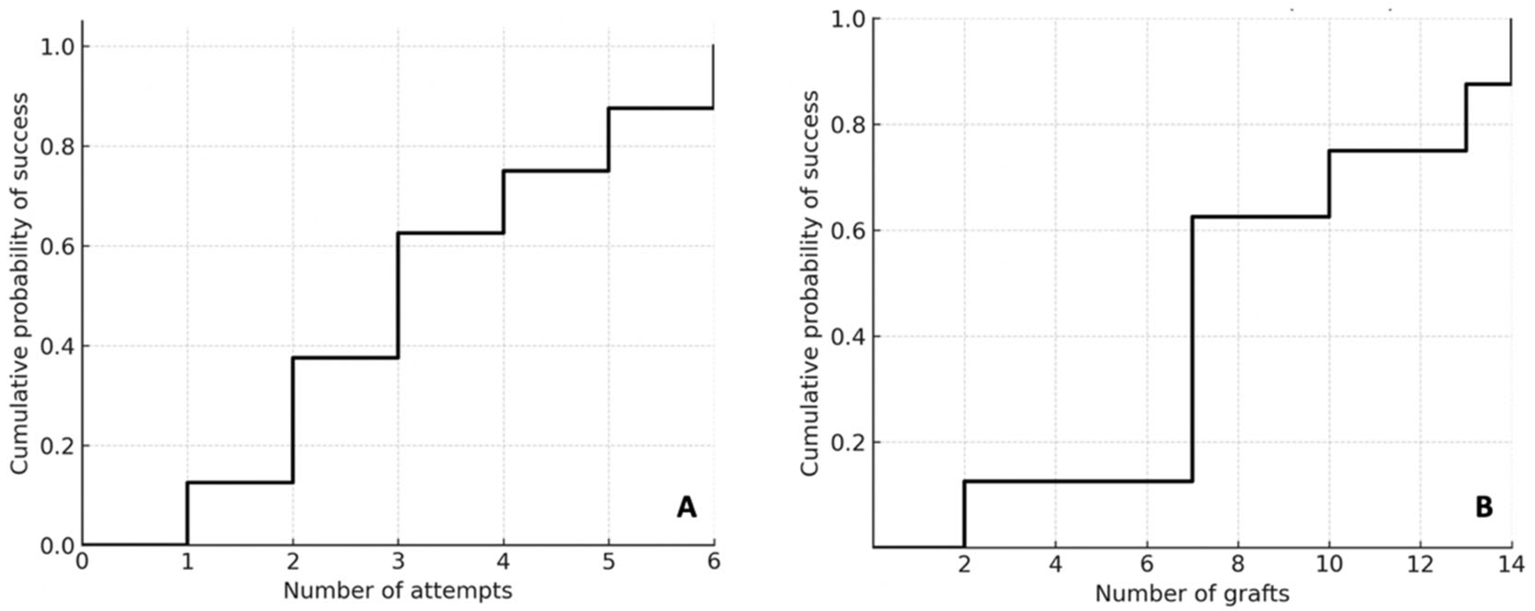
3.2. Primary Endpoint Analysis
3.3. Secondary Endpoint Analysis
3.4. Multiple Logistic Regression Analysis
4. Discussion
Study Limitations
5. Conclusions
Author Contributions
Funding
Institutional Review Board Statement
Informed Consent Statement
Data Availability Statement
Acknowledgments
Conflicts of Interest
Abbreviations
| CABG | Coronary Artery Bypass Grafting |
| TTFM | Transit-time flow measurement |
| HRUS | High-resolution epicardial ultrasonography |
| MGF | Mean graft flow |
| PI | Pulsatility index |
| %BF | Percentage of backward flow |
| %DF | Percentage of diastolic filling |
| ACI | Acoustic coupling index |
| MAP | Mean arterial pressure |
References
- Taggart, D.P. Biochemical assessment of myocardial injury after cardiac surgery: Effects of a platelet activating factor antagonist, bilateral internal thoracic artery grafts, and coronary endarterectomy. J. Thorac. Cardiovasc. Surg. 2000, 120, 651–659. [Google Scholar] [CrossRef] [PubMed][Green Version]
- Yusuf, S.; Zucker, D.; Peduzzi, P.; Fisher, L.D.; Takaro, T.; Kennedy, J.W.; Davis, K.; Killip, T.; Passamani, E.; Norris, R.; et al. Effect of coronary artery bypass graft surgery on survival: Overview of 10-year results from randomised trials by the Coronary Artery Bypass Graft Surgery Trialists Collaboration. Lancet 1994, 27, 563–570. [Google Scholar] [CrossRef] [PubMed]
- D’Ancona, G.; Karamanoukian, H.L.; Ricci, M.; Schmid, S.; Bergsland, J.; Salerno, T.A. Graft revision after transit time flow measurement in off-pump coronary artery bypass grafting. Eur. J. Cardiothorac. Surg. 2000, 17, 287–293. [Google Scholar] [CrossRef] [PubMed]
- Kieser, T.M. Graft quality verification in coronary artery bypass graft surgery: How, when and why? Curr. Opin. Cardiol. 2017, 32, 722–736, Erratum in: Curr. Opin. Cardiol. 2018, 33, 121.. [Google Scholar] [CrossRef]
- Herman, C.; Sullivan, J.A.; Buth, K.; Legare, J.F. Intraoperative graft flow measurements during coronary artery bypass surgery predict in-hospital outcomes. Interact. Cardiovasc. Thorac. Surg. 2008, 7, 582–585. [Google Scholar] [CrossRef]
- Gaudino, M.; Sandner, S.; Di Giammarco, G.; Di Franco, A.; Arai, H.; Asai, T.; Bakaeen, F.; Doenst, T.; Fremes, S.E.; Glineur, D.; et al. The Use of Intraoperative Transit Time Flow Measurement for Coronary Artery Bypass Surgery: Systematic Review of the Evidence and Expert Opinion Statements. Circulation 2021, 144, 1160–1171. [Google Scholar] [CrossRef]
- Di Giammarco, G.; Canosa, C.; Foschi, M.; Rabozzi, R.; Marinelli, D.; Masuyama, S.; Ibrahim, B.M.; Ranalletta, R.A.; Penco, M.; Di Mauro, M. Intraoperative graft verification in coronary surgery: Increased diagnostic accuracy adding high-resolution epicardial ultrasonography to transit-time flow measurement. Eur. J. Cardiothorac. Surg. 2014, 45, e41–e45. [Google Scholar] [CrossRef]
- Neumann, F.J.; Sousa-Uva, M.; Ahlsson, A.; Alfonso, F.; Banning, A.P.; Benedetto, U.; Byrne, R.A.; Collet, J.P.; Falk, V.; Head, S.J.; et al. 2018 ESC/EACTS Guidelines on myocardial revascularization. Eur. Heart. J. 2019, 40, 87–165. [Google Scholar] [CrossRef]
- Kieser, T.M.; Taggart, D.P. The use of intraoperative graft assessment in guiding graft revision. Ann. Cardiothorac. Surg. 2018, 7, 652–662. [Google Scholar] [CrossRef]
- Di Giammarco, G.; Cammertoni, F.; Testa, N.; Massetti, M. Understanding Surgeons’ Reluctance to Adopt Intraoperative Coronary Graft Verification Procedures: A Literature Review Combined to AI-Driven Insights Under Human Supervision. J. Clin. Med. 2024, 13, 6889. [Google Scholar] [CrossRef]
- Hiratzka, L.F.; McPherson, D.D.; Brandt, B., 3rd; Lamberth, W.C., Jr.; Marcus, M.L.; Kerber, R.E. Intraoperative high-frequency epicardial echocardiography in coronary revascularization: Locating deeply embedded coronary arteries. Ann. Thorac. Surg. 1986, 42, S9–S11. [Google Scholar] [CrossRef]
- Hiratzka, L.F.; McPherson, D.D.; Lamberth, W.C., Jr.; Brandt, B., 3rd; Armstrong, M.L.; Schröder, E.; Hunt, M.; Kieso, R.; Megan, M.D.; Tompkins, P.K. Intraoperative evaluation of coronary artery bypass graft anastomoses with high-frequency epicardial echocardiography: Experimental validation and initial patient studies. Circulation 1986, 73, 1199–1205. [Google Scholar] [CrossRef] [PubMed]
- Balacumaraswami, L.; Taggart, D.P. Intraoperative imaging techniques to assess coronary artery bypass graft patency. Ann. Thorac. Surg. 2007, 83, 2251–2257. [Google Scholar] [CrossRef] [PubMed]
- Kieser, T.M.; Rose, S.; Kowalewski, R.; Belenkie, I. Transit-time flow predicts outcomes in coronary artery bypass graft patients: A series of 1000 consecutive arterial grafts. Eur. J. Cardiothorac. Surg. 2010, 38, 155–162. [Google Scholar] [CrossRef] [PubMed]
- Walpoth, B.H.; Bosshard, A.; Genyk, I.; Kipfer, B.; Berdat, P.A.; Hess, O.M.; Althaus, U.; Carrel, T.P. Transit-time flow measurement for detection of early graft failure during myocardial revascularization. Ann. Thorac. Surg. 1998, 66, 1097–1100. [Google Scholar] [CrossRef]
- Bauer, S.F.; Bauer, K.; Ennker, I.C.; Rosendahl, U.; Ennker, J. Intraoperative bypass flow measurement reduces the incidence of postoperative ventricular fibrillation and myocardial markers after coronary revascularisation. Thorac. Cardiovasc. Surg. 2005, 53, 217–222. [Google Scholar] [CrossRef]
- Laali, M.; Nardone, N.; Demondion, P.; D’ALessandro, C.; Guedeney, P.; Barreda, E.; Lebreton, G.; Leprince, P. Impact of transit-time flow measurement on early postoperative outcomes in total arterial coronary revascularization with internal thoracic arteries: A propensity score analysis on 910 patients. Interact. Cardiovasc. Thorac. Surg. 2022, 35, ivac065. [Google Scholar] [CrossRef]
- Thuijs, D.J.F.M.; Bekker, M.W.A.; Taggart, D.P.; Kappetein, A.P.; Kieser, T.M.; Wendt, D.; Di Giammarco, G.; Trachiotis, G.D.; Puskas, J.D.; Head, S.J. Improving coronary artery bypass grafting: A systematic review and meta-analysis on the impact of adopting transit-time flow measurement. Eur. J. Cardiothorac. Surg. 2019, 56, 654–663. [Google Scholar] [CrossRef]
- McPherson, D.D.; Armstrong, M.; Rose, E.; Kieso, R.A.; Megan, M.; Hunt, M.; Hite, P.; Marcus, M.L.; Kerber, R.E. High frequency epicardial echocardiography for coronary artery evaluation: In vitro and in vivo validation of arterial lumen and wall thickness measurements. J. Am. Coll. Cardiol. 1986, 8, 600–606. [Google Scholar] [CrossRef]
- Haaverstad, R.; Vitale, N.; Tjomsland, O.; Tromsdal, A.; Torp, H.; Samstad, S.O. Intraoperative color Doppler ultrasound assessment of LIMA-to-LAD anastomoses in off-pump coronary artery bypass grafting. Ann. Thorac. Surg. 2002, 74, S1390-4. [Google Scholar] [CrossRef]
- Budde, R.P.; Meijer, R.; Dessing, T.C.; Borst, C.; Gründeman, P.F. Detection of construction errors in ex vivo coronary artery anastomoses by 13-MHz epicardial ultrasonography. J. Thorac. Cardiovasc. Surg. 2005, 129, 1078–1083. [Google Scholar] [CrossRef][Green Version]
- Taggart, D.P.; Thuijs, D.J.F.M.; Di Giammarco, G.; Puskas, J.D.; Wendt, D.; Trachiotis, G.D.; Kieser, T.M.; Kappetein, A.P.; Head, S.J. Intraoperative transit-time flow measurement and high-frequency ultrasound assessment in coronary artery bypass grafting. J. Thorac. Cardiovasc. Surg. 2020, 159, 1283–1292. [Google Scholar] [CrossRef]









| Variable | |
|---|---|
| Age, years | 65.6 ± 7.4 |
| Male | 25 (92.6) |
| BMI, Kg/m2 | 27.5 ± 4.8 |
| Hypertension | 20 (74.1) |
| Dyslipidemia | 25 (92.6) |
| Diabetes | 12 (44.4) |
| Active smoker | 9 (33.3) |
| COPD | 5 (18.5) |
| Previous PCI | 5 (18.5) |
| Clinical presentation | |
| Asymptomatic | 12 (44.4) |
| Stable angina | 5 (18.5) |
| Unstable angina | 6 (22.2) |
| NSTEMI | 4 (14.8) |
| PAD | 10 (37) |
| Previous stroke | 4 (14.8) |
| eGFR, mL/min | 87.3 ± 17.4 |
| Preoperative dialysis | 0 (0) |
| EF, % | 57.0 ± 6.5 |
| STS Score | 0.9 ± 0.7 |
| Variable | |
|---|---|
| Total grafts | 67 |
| Graft per patient | 2.6 ± 0.6 |
| Arterial graft | 28 (41.8) |
| Arterial graft per patient | 1.1 ± 0.4 |
| Venous graft | 39 (58.2) |
| Venous graft per patient | 1.5 ± 0.9 |
| Coronary target and graft type: | |
| LAD | 26 |
| LIMA | 25 (96.2) |
| SVG | 1 (3.8) |
| Diagonal branches | 8 |
| SVG | 8 (100) |
| OM | 17 |
| SVG | 15 (88.2) |
| “in situ” RIMA | 1 (5.9) |
| “free graft” RA | 1 (5.9) |
| Ramus | 2 |
| SVG | 1 (50) |
| “in situ” RIMA | 1 (50) |
| RCA | 1 |
| SVG | 1 (100) |
| PDA | 13 |
| SVG | 13 (100) |
| Surgery time, min | 261.5 ± 42.0 |
| X-clamp time, min | 65.2 ± 19.5 |
| ECC time, min | 82.6 ± 23.4 |
| Resident | PG Year | n° of Attempts | n° of Grafts | Δt, days |
|---|---|---|---|---|
| S.D. | 5° | 5 | 14 | 66 (60–72) |
| G.C. | 4° | 1 | 2 | - |
| M.M. | 3° | 6 | 13 | 35 (28–94) |
| E.D. | 3° | 3 | 7 | 29 (22–35) |
| A.O. | 3° | 3 | 7 | 17 (12–22) |
| K.C. | 2° | 2 | 7 | 5 (-) |
| G.M. | 1° | 4 | 10 | 36 (31–81) |
| R.P. | 1° | 2 | 7 | 1 (-) |
| Overall | 26 | 67 | 36 (23–67) |
| TTFM | LAD (n = 26) | Diag/Ramus (n = 10) | OM (n = 17) | RCA/PDA (n = 14) | p |
|---|---|---|---|---|---|
| Acquisition time, s | 26 (25–35) | 24 (17.0–30.8) | 24.5 (21.0–29.8) | 26.0 (18.5–36.5) | 0.42 |
| Multiple attempts | 3 (11.5) | 0 (0) | 1 (5.9) | 2 (14.3) | 0.61 |
| Probe change | 0 (0) | 0 (0) | 0 (0) | 2 (14.3) | 1 |
| ΔACI, % | 7.1 (4.5–11.4) | 9.2 (5.3–15.8) | 7.3 (3.4–12.8) | 4.9 (3.0–16.2) | 0.88 |
| ΔMF, % | 9.6 (5.0–22.0) | 8.0 (6.0–14.7) | 6.8 (4.2–13.7) | 5.7 (1.9–8.6) | 0.22 |
| ΔPI, % | 6.4 (4.3–14.2) | 6.0 (3.0–11.2) | 7.4 (5.1–15.8) | 12.5 (9.5–38.1) | 0.10 |
| ΔDF, % | 2.6 (1.5–8.2) | 5.6 (3.3–7.2) | 3.7 (1.2–9.8) | 2.9 (1.5–3.0) | 0.41 |
| ΔBF, % | 4.6 (2.3–7.9) | 5.3 (2.5–8.4) | 4.9 (2.1–8.2) | 5.1 (2.7–8.5) | 0.37 |
| HRUS | LAD (26) | OM (17) | Diag/Ramus (10) | RCA/PDA (14) | p |
|---|---|---|---|---|---|
| Acquisition time < 60 s | |||||
| Short ax. | 25 (96.2) | 16 (94.1) | 10 (100) | 12 (85.7) | 0.46 |
| Long ax. | 26 (100) | 15 (88.2) | 10 (100) | 13 (92.9) | 0.25 |
| Both | 25 (96.2) | 15 (88.2) | 10 (100) | 12 (85.7) | 0.44 |
| Appropriate acquisition | |||||
| Short ax. | 20 (76.9) | 10 (58.8) | 5 (50) | 6 (42.9) | 0.15 |
| Long ax. | 22 (84.6) | 10 (58.8) | 6 (60) | 10 (71.4) | 0.24 |
| Both | 19 (73.1) | 6 (35.3) | 5 (50) | 5 (35.7) | 0.04 |
| Odds Ratio | Standard Error | 95% CI | p-Value | |
|---|---|---|---|---|
| Resident-related | ||||
| PGY > 3 | 0.89 | 0.14 | 0.67–1.17 | 0.38 |
| Previous echo expertise | 1.49 | 0.46 | 0.61–3.68 | 0.40 |
| Ambidextrous | 0.84 | 0.31 | 0.45–1.63 | 0.58 |
| Procedure-related | ||||
| Lateral wall acqu. | 0.64 | 0.24 | 0.40–1.02 | 0.07 |
| Inferior wall acqu. | 0.90 | 0.24 | 0.56–1.43 | 0.66 |
Disclaimer/Publisher’s Note: The statements, opinions and data contained in all publications are solely those of the individual author(s) and contributor(s) and not of MDPI and/or the editor(s). MDPI and/or the editor(s) disclaim responsibility for any injury to people or property resulting from any ideas, methods, instructions or products referred to in the content. |
© 2026 by the authors. Licensee MDPI, Basel, Switzerland. This article is an open access article distributed under the terms and conditions of the Creative Commons Attribution (CC BY) license.
Share and Cite
Cammertoni, F.; Di Giammarco, G.; Testa, N.; Pavone, N.; Marcolini, A.; D’Avino, S.; Bruno, P.; Grandinetti, M.; Bianchini, F.; Trapani, A.E.; et al. Learning Curve of Cardiac Surgery Residents in Transit-Time Flow Measurement and High-Resolution Epicardial Ultrasonography During Coronary Surgery. J. Clin. Med. 2026, 15, 620. https://doi.org/10.3390/jcm15020620
Cammertoni F, Di Giammarco G, Testa N, Pavone N, Marcolini A, D’Avino S, Bruno P, Grandinetti M, Bianchini F, Trapani AE, et al. Learning Curve of Cardiac Surgery Residents in Transit-Time Flow Measurement and High-Resolution Epicardial Ultrasonography During Coronary Surgery. Journal of Clinical Medicine. 2026; 15(2):620. https://doi.org/10.3390/jcm15020620
Chicago/Turabian StyleCammertoni, Federico, Gabriele Di Giammarco, Nicola Testa, Natalia Pavone, Alberta Marcolini, Serena D’Avino, Piergiorgio Bruno, Maria Grandinetti, Francesco Bianchini, Antonio E. Trapani, and et al. 2026. "Learning Curve of Cardiac Surgery Residents in Transit-Time Flow Measurement and High-Resolution Epicardial Ultrasonography During Coronary Surgery" Journal of Clinical Medicine 15, no. 2: 620. https://doi.org/10.3390/jcm15020620
APA StyleCammertoni, F., Di Giammarco, G., Testa, N., Pavone, N., Marcolini, A., D’Avino, S., Bruno, P., Grandinetti, M., Bianchini, F., Trapani, A. E., & Massetti, M. (2026). Learning Curve of Cardiac Surgery Residents in Transit-Time Flow Measurement and High-Resolution Epicardial Ultrasonography During Coronary Surgery. Journal of Clinical Medicine, 15(2), 620. https://doi.org/10.3390/jcm15020620

