Opportunistic Osteoporosis Screening in Breast Cancer Using AI-Derived Vertebral BMD from Routine CT: Validation Against QCT and Multivariable Diagnostic Modeling
Abstract
1. Introduction
2. Materials and Methods
2.1. Study Design and Population
2.2. CT Image Acquisition and QCT Measurement
2.3. AI-Derived Vertebral BMD Measurement
2.4. Statistical Analysis
3. Results
3.1. Patient Characteristics
3.2. Correlation, Agreement, and Diagnostic Concordance Between AI-vBMD and QCT-vBMD
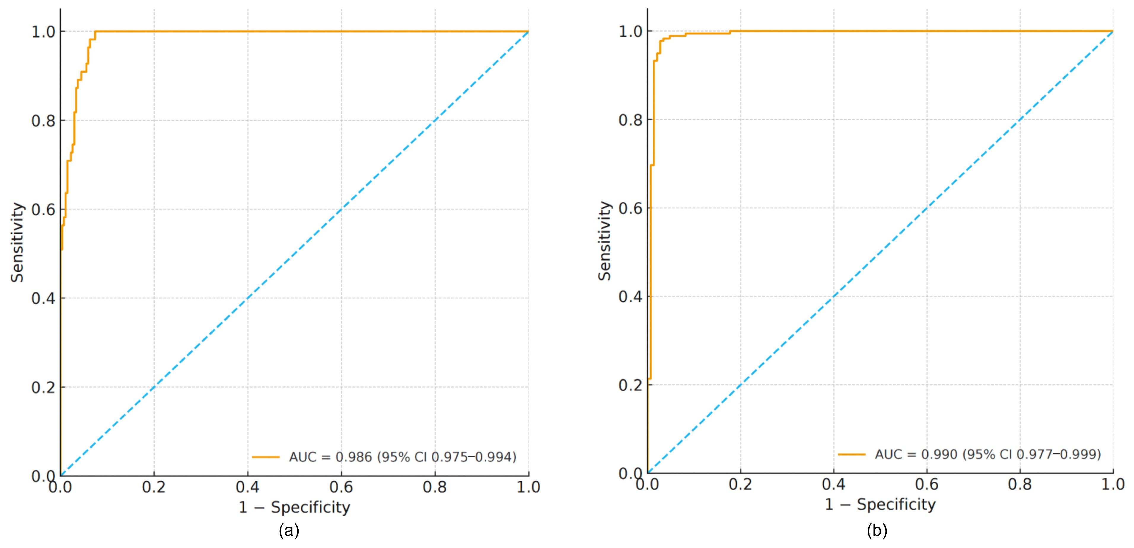
3.3. Diagnostic Performance of AI-vBMD
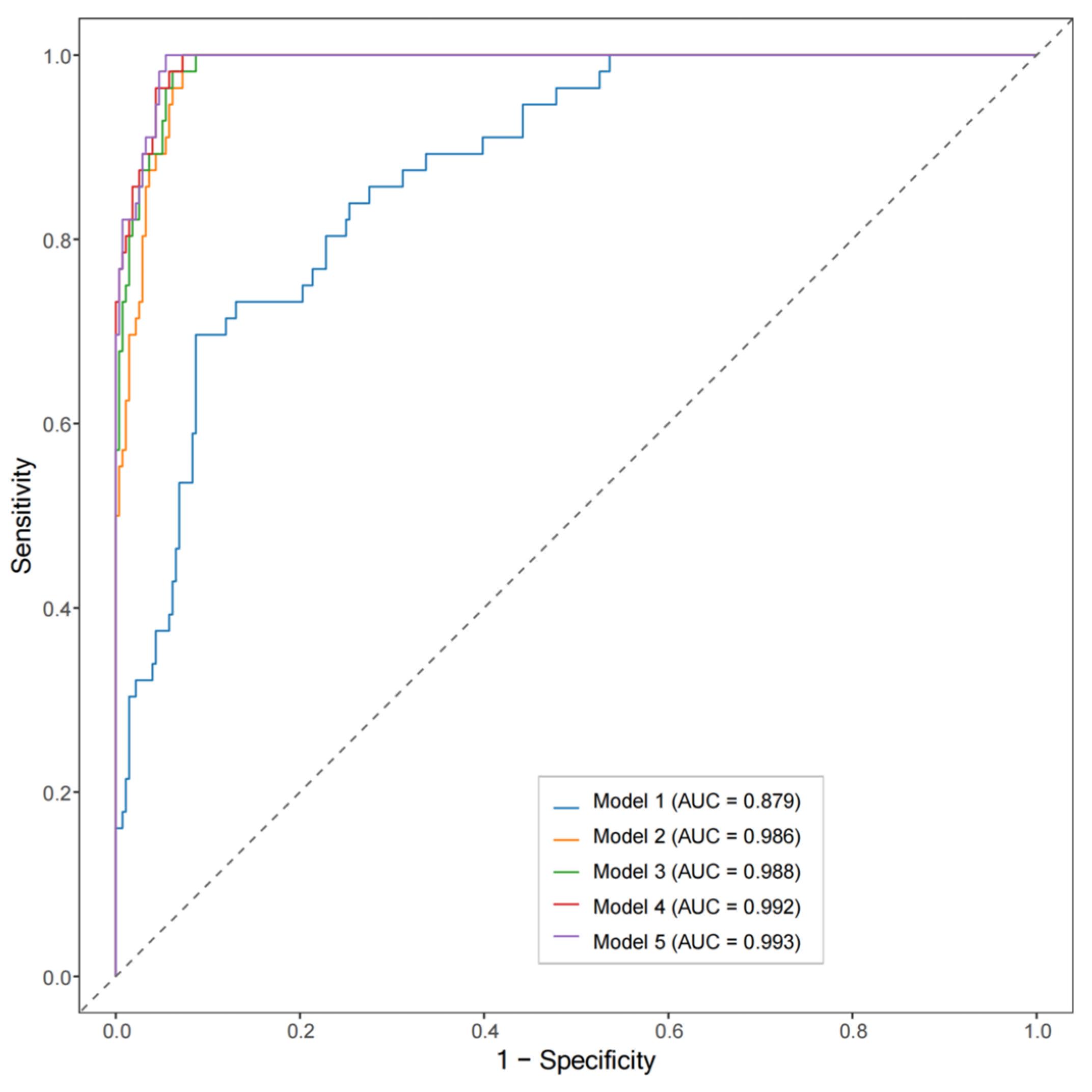
3.4. Multivariable Diagnostic Modeling: Incremental Value, Calibration, and Clinical Utility
4. Discussion
5. Conclusions
Author Contributions
Funding
Institutional Review Board Statement
Informed Consent Statement
Data Availability Statement
Acknowledgments
Conflicts of Interest
Abbreviations
| BMD | Bone mineral density |
| DXA | Dual-energy X-Ray absorptiometry |
| QCT | Quantitative computed tomography |
| vBMD | Volumetric BMD |
| ROI | Region of interest |
| AI | Artificial intelligence |
| DCA | Decision-curve analysis |
| eGFR | Estimated glomerular filtration rate |
| 25(OH)D | 25-hydroxyvitamin D |
| BALP | Bone-specific alkaline phosphatase |
| PTH | Parathyroid hormone |
| ROC | Receiver operating characteristic |
| AUC | Area under the curve |
| BMI | Body mass index |
| CIs | Confidence intervals |
| NRI | Net reclassification improvement |
| IDI | Integrated discrimination improvement |
| ORs | Odds ratios |
| HU | Hounsfield unit |
Appendix A
| Vertebral Level | Pearson’s r | p Value | Slope (95% CI) | Intercept (95% CI), mg/cm3 | R2 |
|---|---|---|---|---|---|
| T1 | 0.864 | <0.001 | 0.857 (0.803, 0.912) | 57.814 (50.784, 64.845) | 0.746 |
| T2 | 0.87 | <0.001 | 0.895 (0.841, 0.949) | 38.933 (31.942, 45.924) | 0.757 |
| T3 | 0.896 | <0.001 | 0.902 (0.854, 0.950) | 35.398 (29.228, 41.567) | 0.803 |
| T4 | 0.908 | <0.001 | 0.904 (0.860, 0.948) | 33.127 (27.383, 38.871) | 0.825 |
| T5 | 0.927 | <0.001 | 0.913 (0.874, 0.952) | 31.366 (26.263, 36.468) | 0.859 |
| T6 | 0.937 | <0.001 | 0.911 (0.875, 0.947) | 29.903 (25.227, 34.579) | 0.878 |
| T7 | 0.948 | <0.001 | 0.928 (0.895, 0.962) | 25.366 (21.063, 29.670) | 0.899 |
| T8 | 0.933 | <0.001 | 0.908 (0.871, 0.945) | 26.104 (21.283, 30.925) | 0.871 |
| T9 | 0.947 | <0.001 | 0.934 (0.900, 0.968) | 25.037 (20.649, 29.425) | 0.896 |
| T10 | 0.96 | <0.001 | 0.937 (0.908, 0.966) | 25.227 (21.469, 28.984) | 0.922 |
| T11 | 0.946 | <0.001 | 0.939 (0.905, 0.974) | 21.342 (16.898, 25.786) | 0.895 |
| T12 | 0.991 | <0.001 | 0.978 (0.964, 0.993) | 7.242 (5.377, 9.107) | 0.981 |
| L1 | 0.995 | <0.001 | 0.993 (0.982, 1.003) | 1.579 (0.174, 2.984) | 0.99 |
| L2 | 0.994 | <0.001 | 1.023 (1.010, 1.035) | −7.999 (−9.590, −6.409) | 0.987 |
| L3 | 0.986 | <0.001 | 1.009 (0.991, 1.027) | −12.979 (−15.311, −10.648) | 0.973 |
| L4 | 0.974 | <0.001 | 1.000 (0.975, 1.025) | −8.963 (−12.173, −5.753) | 0.949 |
| L5 | 0.963 | <0.001 | 1.029 (0.997, 1.060) | −3.999 (−8.070, 0.073) | 0.928 |
References
- Key, T.J.; Verkasalo, P.K.; Banks, E. Epidemiology of breast cancer. Lancet Oncol. 2001, 2, 133–140. [Google Scholar] [CrossRef]
- Waks, A.G.; Winer, E.P. Breast cancer treatment: A review. JAMA 2019, 321, 288–300. [Google Scholar] [CrossRef]
- Coleman, R. Bone-targeted treatments in cancer: The story so far. J. Bone Oncol. 2016, 5, 90–92. [Google Scholar] [CrossRef][Green Version]
- Shapiro, C.L. Osteoporosis: A long-term and late effect of breast cancer treatments. Cancers 2020, 12, 3094. [Google Scholar] [CrossRef] [PubMed]
- Guise, T.A.; Brufsky, A.; Coleman, R.E. Understanding and optimizing bone health in breast cancer. Curr. Med. Res. Opin. 2010, 26, 3–20. [Google Scholar] [CrossRef]
- Melton, L.J., III; Hartmann, L.C.; Achenbach, S.J.; Atkinson, E.J.; Therneau, T.M.; Khosla, S. Fracture risk in women with breast cancer: A population-based study. J. Bone Miner. Res. 2012, 27, 1196–1205. [Google Scholar] [CrossRef]
- Shapiro, C.L.; Van Poznak, C.; Lacchetti, C.; Kirshner, J.; Eastell, R.; Gagel, R.; Smith, S.; Edwards, B.J.; Frank, E.; Lyman, G.H.; et al. Management of Osteoporosis in Survivors of Adult Cancers with Nonmetastatic Disease: ASCO Clinical Practice Guideline. J. Clin. Oncol. 2019, 37, 2916–2946. [Google Scholar] [CrossRef] [PubMed]
- Link, T.M.; Kazakia, G. Update on imaging-based measurement of bone mineral density and quality. Curr. Rheumatol. Rep. 2020, 22, 13. [Google Scholar] [CrossRef]
- Bolotin, H.H. DXA in vivo BMD methodology: An erroneous and misleading research and clinical gauge of bone mineral status, bone fragility, and bone remodelling. Bone 2007, 41, 138–154. [Google Scholar] [CrossRef] [PubMed]
- Lorentzon, M.; Cummings, S.R. Osteoporosis: The evolution of a diagnosis. J. Intern. Med. 2015, 277, 650–661. [Google Scholar] [CrossRef]
- Haseltine, K.N.; Chukir, T.; Smith, P.J.; Jacob, J.T.; Bilezikian, J.P.; Farooki, A. Bone mineral density: Clinical relevance and quantitative assessment. J. Nucl. Med. 2021, 62, 446–454. [Google Scholar] [CrossRef]
- Adams, J.E. Quantitative computed tomography. Eur. J. Radiol. 2009, 71, 415–424. [Google Scholar] [CrossRef] [PubMed]
- Pickhardt, P.J.; Pooler, B.D.; Lauder, T.; del Rio, A.M.; Bruce, R.J.; Binkley, N. Opportunistic screening for osteoporosis using abdominal CT scans obtained for other indications. Ann. Intern. Med. 2013, 158, 588–595. [Google Scholar] [CrossRef]
- Löffler, M.T.; Jacob, A.; Valentinitsch, A.; Rienmüller, A.; Zimmer, C.; Ryang, Y.M.; Baum, T.; Kirschke, J.S. Improved prediction of incident vertebral fractures using opportunistic QCT compared to DXA. Eur. Radiol. 2019, 29, 4980–4989. [Google Scholar] [CrossRef] [PubMed]
- Roski, F.; Hammel, J.; Mei, K.; Haller, B.; Baum, T.; Kirschke, J.S.; Pfeiffer, D.; Woertler, K.; Pfeiffer, F.; Noël, P.B.; et al. Opportunistic osteoporosis screening: Contrast-enhanced dual-layer spectral CT provides accurate measurements of vertebral bone mineral density. Eur. Radiol. 2021, 31, 3147–3155. [Google Scholar] [CrossRef]
- Sebro, R.; De la Garza-Ramos, C. Opportunistic screening for osteoporosis and osteopenia from CT scans of the abdomen and pelvis using machine learning. Eur. Radiol. 2023, 33, 1812–1823. [Google Scholar] [CrossRef]
- Guo, M.; Zhang, Y.; Fu, Y.; Liu, X.; Peng, F.; Zhang, Z.; Wang, L. A comparative study of bone density in elderly people measured with AI and QCT. Front. Artif. Intell. 2025, 8, 1582960. [Google Scholar] [CrossRef]
- Engelke, K.; Adams, J.E.; Armbrecht, G.; Augat, P.; Bogado, C.E.; Bouxsein, M.L.; Felsenberg, D.; Ito, M.; Prevrhal, S.; Hans, D.B.; et al. Clinical use of quantitative computed tomography and peripheral quantitative computed tomography in the management of osteoporosis in adults: The 2007 ISCD Official Positions. J. Clin. Densitom. 2008, 11, 123–162. [Google Scholar] [CrossRef]
- Veronese, N.; Carraro, S.; Bano, G.; Trevisan, C.; Solmi, M.; Luchini, C.; Manzato, E.; Caccialanza, R.; Sergi, G.; Nicetto, D.; et al. Hyperuricemia protects against low bone mineral density, osteoporosis and fractures: A systematic review and meta-analysis. Eur. J. Clin. Investig. 2016, 46, 920–930. [Google Scholar] [CrossRef]
- Diana, A.; Carlino, F.; Giunta, E.F.; Franzese, E.; Guerrera, L.P.; Di Lauro, V.; De Vita, F.; Orditura, M.; Ciardiello, F. Cancer treatment–induced bone loss (CTIBL): State of the art and proper management in breast cancer patients on endocrine therapy. Curr. Treat. Options Oncol. 2021, 22, 45. [Google Scholar] [CrossRef] [PubMed]
- Lenchik, L.; Weaver, A.A.; Ward, R.J.; Boone, J.M.; Boutin, R.D. Opportunistic screening for osteoporosis using computed tomography: State of the art and argument for paradigm shift. Curr. Rheumatol. Rep. 2018, 20, 74. [Google Scholar] [CrossRef]
- Engelke, K.; Chaudry, O.; Bartenschlager, S. Opportunistic screening techniques for analysis of CT scans. Curr. Osteoporos. Rep. 2023, 21, 65–76. [Google Scholar] [CrossRef]
- Abbouchie, H.; Raju, N.; Lamanna, A.; Chiang, C.; Kutaiba, N. Screening for osteoporosis using L1 vertebral density on abdominal CT in an Australian population. Clin. Radiol. 2022, 77, e540–e548. [Google Scholar] [CrossRef]
- Bodden, J.; Prucker, P.; Sekuboyina, A.; El Husseini, M.; Grau, K.; Rühling, S.; Kaplan, H.; Menze, B.; Kirschke, J.S.; Pfeiffer, D.; et al. Reproducibility of CT-based opportunistic vertebral volumetric bone mineral density measurements from an automated segmentation framework. Eur. Radiol. Exp. 2024, 8, 86. [Google Scholar] [CrossRef]
- Pickhardt, P.J. Value-added opportunistic CT screening: State of the art. Radiology 2022, 303, 241–254. [Google Scholar] [CrossRef] [PubMed]
- Pan, Y.; Zhao, F.; Cheng, G.; Wang, H.; Lu, X.; He, D.; Zhang, H. Automated vertebral bone mineral density measurement with phantomless internal calibration in chest LDCT scans using deep learning. Br. J. Radiol. 2023, 96, 20230047. [Google Scholar] [CrossRef]
- Wu, Y.; Yang, X.; Wang, M.; Lian, Y.; Hou, P.; Chai, X.; Dai, Q.; Qian, B.; Jiang, Y.; Gao, J. Artificial intelligence assisted automatic screening of opportunistic osteoporosis in computed tomography images from different scanners. Eur. Radiol. 2025, 35, 2287–2295. [Google Scholar] [CrossRef] [PubMed]
- Hadji, P.; Aapro, M.S.; Body, J.J.; Bundred, N.J.; Brufsky, A.; Coleman, R.E.; Gnant, M.; Guise, T.; Lipton, A.; Tubiana-Hulin, M.; et al. Management of aromatase inhibitor–associated bone loss in postmenopausal women with breast cancer: Practical guidance for prevention and treatment. Ann. Oncol. 2011, 22, 2546–2555. [Google Scholar] [CrossRef]
- Taxel, P.; Faircloth, E.; Idrees, S.; Van Poznak, C. Cancer treatment–induced bone loss in women with breast cancer and men with prostate cancer. J. Endocr. Soc. 2018, 2, 574–588. [Google Scholar] [CrossRef] [PubMed]
- Ramin, C.; May, B.J.; Roden, R.B.S.; Orellana, M.M.; Hogan, B.C.; McCullough, M.S.; Armstrong, D.K.; Visvanathan, K. Evaluation of osteopenia and osteoporosis in younger breast cancer survivors compared with cancer-free women: A prospective cohort study. Breast Cancer Res. 2018, 20, 134. [Google Scholar] [CrossRef]
- Riggs, B.L.; Khosla, S.; Melton, L.J., III. Sex steroids and the construction and conservation of the adult skeleton. Endocr. Rev. 2002, 23, 279–302. [Google Scholar] [CrossRef] [PubMed]
- Demontiero, O.; Vidal, C.; Duque, G. Aging and bone loss: New insights for the clinician. Ther. Adv. Musculoskelet. Dis. 2012, 4, 61–76. [Google Scholar] [CrossRef]
- Hsieh, E.; Wang, Q.; Zhang, R.; Niu, X.; Xia, W.; Fraenkel, L.; Zhang, Y. Vertebral fractures among breast cancer survivors in China: A cross-sectional study of prevalence and health services gaps. BMC Cancer 2018, 18, 104. [Google Scholar] [CrossRef] [PubMed]
- Gnant, M.; Pfeiler, G.; Dubsky, P.C.; Hubalek, M.; Greil, R.; Jakesz, R.; Wette, V.; Balic, M.; Haslbauer, F.; Melbinger, E.; et al. Adjuvant denosumab in breast cancer (ABCSG-18): A multicentre, randomised, double-blind, placebo-controlled trial. Lancet 2015, 386, 433–443. [Google Scholar] [CrossRef] [PubMed]
- Early Breast Cancer Trialists’ Collaborative Group (EBCTCG). Adjuvant bisphosphonate treatment in early breast cancer: Meta-analyses of individual patient data from randomised trials. Lancet 2015, 386, 1353–1361. [CrossRef]
- Dhesy-Thind, S.; Fletcher, G.G.; Blanchette, P.S.; Clemons, M.J.; Gandhi, S.; Gupta, R.; Mates, M.; Moy, B.; Vandenberg, T.; Van Poznak, C.H.; et al. Use of adjuvant bisphosphonates and other bone-modifying agents in breast cancer: A Cancer Care Ontario and American Society of Clinical Oncology clinical practice guideline. J. Clin. Oncol. 2017, 35, 2062–2081. [Google Scholar] [CrossRef]
- Stratton, J.; Hu, X.; Soulos, P.R.; Davidoff, A.J.; Pusztai, L.; Gross, C.P.; Mougalian, S.S. Bone density screening in postmenopausal women with early-stage breast cancer treated with aromatase inhibitors. J. Oncol. Pract. 2017, 13, e505–e515. [Google Scholar] [CrossRef]
- Zekri, J.; Farag, K. Assessment of bone health in breast cancer patients starting adjuvant aromatase inhibitors: A quality improvement clinical audit. J. Bone Oncol. 2016, 5, 159–162. [Google Scholar] [CrossRef]
- Wáng, Y.X.J. The definition of spine bone mineral density (BMD)-classified osteoporosis and the much inflated prevalence of spine osteoporosis in older Chinese women when using the conventional cutpoint T-score of −2.5. Ann. Transl. Med. 2022, 10, 1421. [Google Scholar] [CrossRef]
- Himič, V.; Syrmos, N.; Ligarotti, G.K.I.; Kato, S.; Fehlings, M.G.; Ganau, M. The role of genetic and epigenetic factors in determining the risk of spinal fragility fractures: New insights in the management of spinal osteoporosis. Quant. Imaging Med. Surg. 2023, 13, 7632–7645. [Google Scholar] [CrossRef]





| Variable | Overall | QCT-Based Classification | p Value | AI-Based Classification | ||||
|---|---|---|---|---|---|---|---|---|
| Normal | Osteopenia | Osteoporosis | (QCT) | Normal | Osteopenia | Osteoporosis | ||
| N | 332 | 150 (45.2%) | 126 (38.0%) | 56 (16.9%) | - | 155 (46.7%) | 113 (34.0%) | 57 (17.2%) |
| Age (years) | 52.71 (9.89) | 46.59 (8.26) | 55.35 (6.90) | 63.18 (8.10) | <0.001 *** | 46.70 (8.22) | 55.67 (6.72) | 62.86 (7.88) |
| Height (cm) | 157.01 (4.87) | 157.42 (5.14) | 157.05 (4.32) | 155.83 (5.17) | 0.050 * | 157.40 (5.11) | 157.31 (4.45) | 155.44 (4.89) |
| Weight (kg) | 58.00 (8.18) | 57.32 (8.77) | 59.35 (7.40) | 56.78 (7.92) | 0.017 * | 57.10 (8.79) | 59.57 (7.12) | 57.53 (8.38) |
| BMI (kg/m2) | 23.50 (2.93) | 23.09 (3.01) | 24.07 (2.82) | 23.35 (2.80) | 0.005 ** | 23.01 (3.03) | 24.09 (2.73) | 23.77 (2.97) |
| Disease duration (years) | 3.74 (3.25) | 3.22 (2.55) | 4.36 (3.67) | 3.79 (3.78) | 0.035 * | 3.19 (2.62) | 4.41 (2.82) | 3.98 (5.00) |
| QCT-vBMD (mg/cm3) | 117.79 (39.32) | 153.48 (24.41) | 99.49 (11.30) | 63.37 (11.97) | <0.001 *** | 151.02 (25.50) | 97.83 (11.90) | 66.52 (17.45) |
| AI-vBMD (mg/cm3) | 119.53 (38.24) | 153.68 (24.65) | 101.66 (13.08) | 68.20 (12.65) | <0.001 *** | 152.52 (24.13) | 100.57 (10.66) | 67.41 (11.48) |
| Uric acid (µmol/L) | 299.47 (68.03) | 290.56 (69.47) | 313.02 (62.03) | 292.39 (73.60) | 0.036 * | 290.35 (69.65) | 310.69 (63.12) | 299.90 (72.08) |
| eGFR (mL/min/1.73 m2) | 97.74 (18.08) | 102.87 (16.21) | 94.21 (17.97) | 91.37 (19.65) | <0.001 *** | 102.92 (16.20) | 93.89 (18.14) | 91.68 (19.66) |
| 25-hydroxyvitamin D (ng/mL) | 25.62 (10.39) | 24.80 (10.69) | 26.31 (9.60) | 26.24 (11.28) | 0.437 | 24.52 (10.52) | 27.56 (9.93) | 24.64 (10.51) |
| Bone-specific ALP (U/L) | 14.77 (7.33) | 13.13 (5.83) | 15.74 (7.66) | 16.91 (9.13) | <0.001 *** | 13.43 (6.62) | 15.30 (7.04) | 17.19 (9.19) |
| Molecular subtype, n (%) | ||||||||
| Luminal A | 103 (31.0%) | 42 (12.7%) | 42 (12.7%) | 19 (5.7%) | - | 43 (13.0%) | 38 (11.4%) | 22 (6.6%) |
| Luminal B | 52 (15.7%) | 23 (6.9%) | 22 (6.6%) | 7 (2.1%) | - | 24 (7.2%) | 21 (6.3%) | 7 (2.1%) |
| HER2+ | 93 (28.0%) | 47 (14.2%) | 33 (9.9%) | 13 (3.9%) | - | 50 (15.1%) | 27 (8.1%) | 15 (4.5%) |
| Triple-negative | 48 (14.5%) | 27 (8.1%) | 11 (3.3%) | 10 (3.0%) | - | 29 (8.7%) | 11 (3.3%) | 8 (2.4%) |
| χ2 test for subtype across QCT groups | 0.327 | |||||||
| Model | Predictors | n | AUC | AUC 95% CI | ΔAUC | ΔAUC 95% CI | ΔAUC P | Brier | AIC |
|---|---|---|---|---|---|---|---|---|---|
| Model 1 | age, BMI, serum uric acid, eGFR | 294 | 0.879 | 0.829–0.923 | - | - | - | 0.097 | 188.1 |
| Model 2 | AI-vBMD only | 325 | 0.986 | 0.975–0.994 | +0.110 | 0.067–0.161 | <0.001 | 0.037 | 76.2 |
| Model 3 | Model 1 + AI-vBMD (clinical–radiologic model) | 287 | 0.988 | 0.978–0.996 | +0.113 | 0.070–0.161 | <0.001 | 0.033 | 68.5 |
| Model 4 | Model 3 + bone and mineral metabolism markers * | 283 | 0.992 | 0.983–0.998 | +0.118 | 0.074–0.166 | <0.001 | 0.028 | 73.6 |
| Model 5 | Model 4 + molecular subtype † | 283 | 0.993 | 0.986–0.998 | +0.119 | 0.075–0.168 | <0.001 | 0.026 | 77.6 |
| Model Comparison | n | ΔAUC | ΔAUC 95% CI | p |
|---|---|---|---|---|
| Model 2 − Model 1 | 287 | +0.110 | 0.066–0.158 | <0.001 |
| Model 3 − Model 2 | 287 | +0.003 | −0.001–0.008 | 0.1960 |
| Model 4 − Model 3 | 283 | +0.004 | −0.001–0.010 | 0.1113 |
| Model 5 − Model 4 | 283 | +0.001 | −0.001–0.004 | 0.4353 |
Disclaimer/Publisher’s Note: The statements, opinions and data contained in all publications are solely those of the individual author(s) and contributor(s) and not of MDPI and/or the editor(s). MDPI and/or the editor(s) disclaim responsibility for any injury to people or property resulting from any ideas, methods, instructions or products referred to in the content. |
© 2026 by the authors. Licensee MDPI, Basel, Switzerland. This article is an open access article distributed under the terms and conditions of the Creative Commons Attribution (CC BY) license.
Share and Cite
Pu, J.; Zhou, W.; Wei, M.; Li, W.; Xiao, Y.; Xie, J.; Lv, F. Opportunistic Osteoporosis Screening in Breast Cancer Using AI-Derived Vertebral BMD from Routine CT: Validation Against QCT and Multivariable Diagnostic Modeling. J. Clin. Med. 2026, 15, 512. https://doi.org/10.3390/jcm15020512
Pu J, Zhou W, Wei M, Li W, Xiao Y, Xie J, Lv F. Opportunistic Osteoporosis Screening in Breast Cancer Using AI-Derived Vertebral BMD from Routine CT: Validation Against QCT and Multivariable Diagnostic Modeling. Journal of Clinical Medicine. 2026; 15(2):512. https://doi.org/10.3390/jcm15020512
Chicago/Turabian StylePu, Jiayi, Wenqin Zhou, Miao Wei, Wen Li, Yan Xiao, Jia Xie, and Fajin Lv. 2026. "Opportunistic Osteoporosis Screening in Breast Cancer Using AI-Derived Vertebral BMD from Routine CT: Validation Against QCT and Multivariable Diagnostic Modeling" Journal of Clinical Medicine 15, no. 2: 512. https://doi.org/10.3390/jcm15020512
APA StylePu, J., Zhou, W., Wei, M., Li, W., Xiao, Y., Xie, J., & Lv, F. (2026). Opportunistic Osteoporosis Screening in Breast Cancer Using AI-Derived Vertebral BMD from Routine CT: Validation Against QCT and Multivariable Diagnostic Modeling. Journal of Clinical Medicine, 15(2), 512. https://doi.org/10.3390/jcm15020512

