Prognostic Value of the RISK-PCI Score in Patients with Non-ST-Segment Elevation Acute Myocardial Infarction
Abstract
1. Introduction
2. Materials and Methods
2.1. Ethical Stataement
2.2. Patient Population and Procedures
2.3. Data Collection and Follow-Up Protocols
- –
- Demographic data: gender, age.
- –
- Anamnestic data: previous myocardial infarction (MI), prior percutaneous or surgical myocardial revascularization, comorbidities (e.g., stroke, peripheral vascular disease, ulcer disease), and risk factors for coronary disease (e.g., hypertension, diabetes, hyperlipoproteinemia, smoking, obesity, body mass index—BMI), and chest pain duration (in hours).
- –
- Physical examination data: systolic blood pressure, heart rate, Killip classification of heart failure at admission.
- –
- Laboratory parameters: hemoglobin, leukocytes, platelets, blood glucose, creatinine clearance, fibrinogen at admission, and maximum values of troponin I and creatine kinase.
- –
- Electrocardiographic data: arrhythmias (e.g., atrial fibrillation, complete AV block), acute left bundle branch block, infarction localization (anterior or inferior NSTEMI).
- –
- Echocardiographic data: left ventricular ejection fraction (LVEF).
- –
- Coronary angiography data: findings of three-vessel disease, left main stenosis, infarct-related artery (IRA), venous graft stenosis, IRA reference diameter, bifurcation lesions, and preprocedural occlusion (TIMI 0).
- –
- Drug therapy data: dual antiplatelet therapy, beta-blockers, heparin, ACE inhibitors, statins, cardiotonics, diuretics, inotropes, antiarrhythmics, gastric mucoprotectants (PPI, H2 blockers), and GP IIb/IIIa receptor inhibitors.
- –
- Intervention data: type of PCI (angioplasty or stent implantation), number of stents implanted, temporary pacemaker placement, post-procedural TIMI, stent length, drug-eluting stent (DES) use, and presence of coronary artery dissections.
- –
- Complication data: outcomes within 30 days (e.g., reinfarction, stroke, repeated revascularization, or death) were obtained from medical records, telephone interviews, and outpatient visits.
2.4. Outcomes and Definitions
2.5. The RISK-PCI Score
2.6. Statistical Analysis
3. Results
3.1. Patients Characteristics
3.2. Outcomes
3.3. Validation of a Score for Predicting 30-Day MACE in NSTEMI Patients
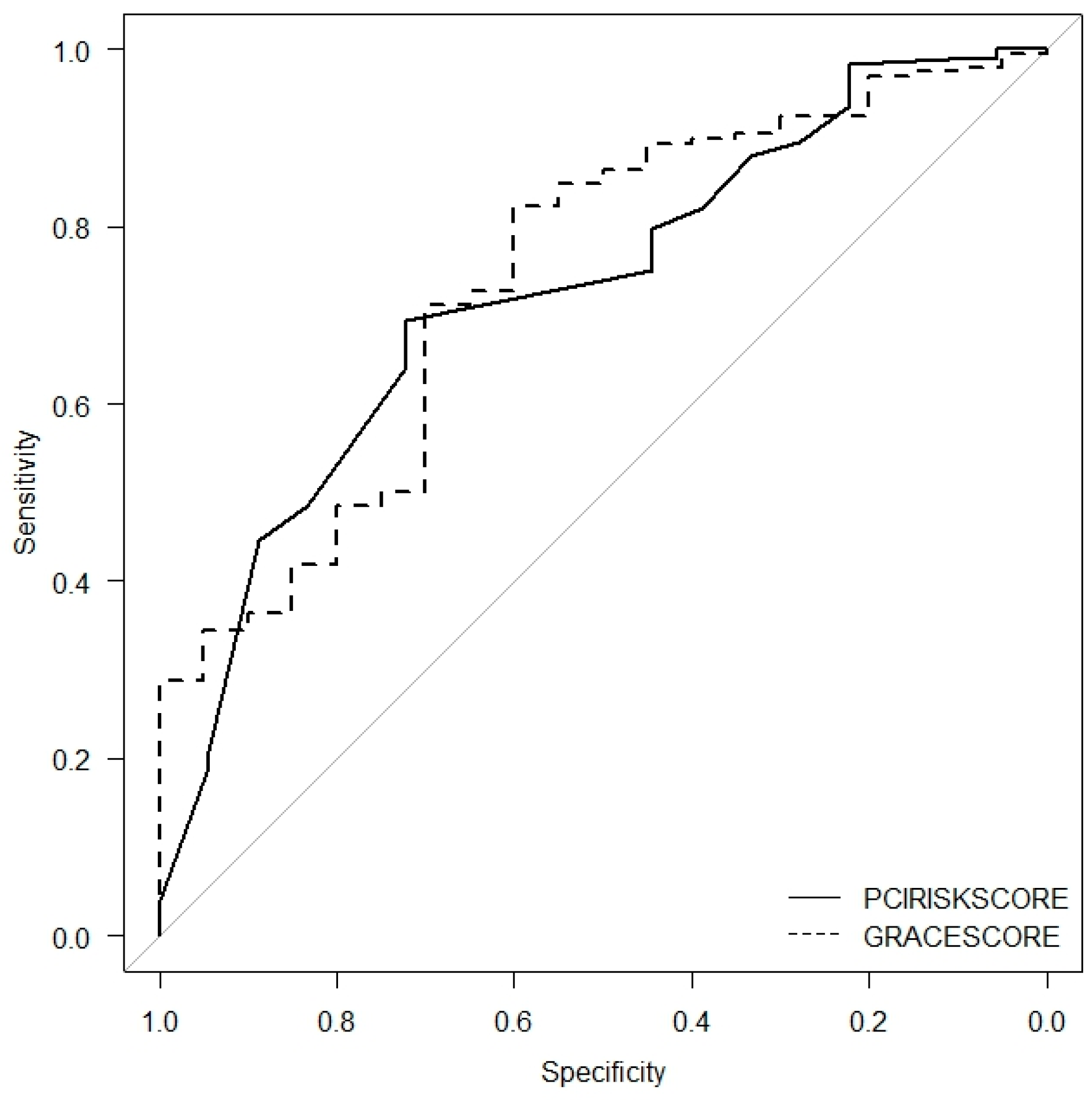
3.4. Predictive Performance of the RISK-PCI Score Compare to GRACE Score
3.5. Risk Stratification
4. Discussion
4.1. Key Findings
4.2. Age as a Risk Factor
4.3. Hyperglycemia and MACE
4.4. Renal Function and MACE
4.5. Final TIMI Score and MACE
4.6. RISK-PCI Score and Prognostic Value
4.7. Clinical Relevance of RISK-PCI Score
4.8. Clinical Implications
4.9. Study Limitations
5. Conclusions
Author Contributions
Funding
Institutional Review Board Statement
Informed Consent Statement
Data Availability Statement
Acknowledgments
Conflicts of Interest
References
- Collet, J.P.; Thiele, H.; Barbato, E.; Barthélémy, O.; Bauersachs, J.; Bhatt, D.L.; Dendale, P.; Dorobantu, M.; Edvardsen, T.; Folliguet, T.; et al. 2020 ESC Guidelines for the management of acute coronary syndromes in patients presenting without persistent ST-segment elevation. Eur. Heart J. 2021, 42, 1289–1367. [Google Scholar]
- Krishnamurthy, S.N.; Pocock, S.; Kaul, P.; Owen, R.; Goodman, S.G.; Granger, C.B.; Nicolau, J.C.; Simon, T.; Westermann, D.; Yasuda, S.; et al. Comparing the long-term outcomes in chronic coronary syndrome patients with prior ST-segment and non-ST-segment elevation myocardial infarction: Findings from the TIGRIS registry. BMJ Open 2023, 13, e070237. [Google Scholar] [CrossRef] [PubMed]
- Baumann, A.A.W.; Mishra, A.; Worthley, M.I.; Nelson, A.J.; Psaltis, P.J. Management of multivessel coronary artery disease in patients with non-ST-elevation myocardial infarction: A complex path to precision medicine. Ther. Adv. Chronic Dis. 2020, 11, 2040622320938527. [Google Scholar] [CrossRef] [PubMed]
- Nguyen, T.M.; Melichova, D.; Aabel, E.W.; Lie, Ø.H.; Klæboe, L.G.; Grenne, B.; Sjøli, B.; Brunvand, H.; Haugaa, K.; Edvardsen, T. Mortality in Patients with Acute Coronary Syndrome-A Prospective 5-Year Follow-Up Study. J. Clin. Med. 2023, 12, 6598. [Google Scholar] [CrossRef] [PubMed]
- Cohen, M. Long-term outcomes in high-risk patients with non-ST-segment elevation myocardial infarction. J. Thromb. Thrombolysis 2016, 41, 464–474. [Google Scholar] [CrossRef]
- D’Ascenzo, F.; Biondi-Zoccai, G.; Moretti, C.; Bollati, M.; Omedè, P.; Sciuto, F.; Presutti, D.G.; Modena, M.G.; Gasparini, M.; Reed, M.J.; et al. TIMI, GRACE and alternative risk scores in Acute Coronary Syndromes: A meta-analysis of 40 derivation studies on 216,552 patients and of 42 validation studies on 31,625 patients. Contemp. Clin. Trials 2012, 33, 507–514. [Google Scholar] [CrossRef]
- de Feyter, P.J.; McFadden, E. Risk score for percutaneous coronary intervention: Forewarned is forearmed. J. Am. Coll. Cardiol. 2003, 42, 1729–1730. [Google Scholar]
- Jakimov, T.; Mrdović, I.; Filipović, B.; Zdravković, M.; Djoković, A.; Hinić, S.; Milić, N.; Filipović, B. Comparison of RISK-PCI, GRACE, TIMI risk scores for prediction of major adverse cardiac events in patients with acute coronary syndrome. Croat. Med. J. 2017, 58, 406–415. [Google Scholar] [PubMed]
- Aragam, K.G.; Tamhane, U.U.; Kline-Rogers, E.; Li, J.; Fox, K.A.; Goodman, S.G.; Eagle, K.A.; Gurm, H.S. Does simplicity compromise accuracy in ACS risk prediction? A retrospective analysis of the TIMI and GRACE risk scores. PLoS ONE 2009, 4, e7947. [Google Scholar] [CrossRef]
- Roffi, M.; Patrono, C.; Collet, J.P.; Mueller, C.; Valgimigli, M.; Andreotti, F.; Bax, J.J.; A Borger, M.; Brotons, C.; Chew, D.P.; et al. Task Force for the Management of Acute Coronary Syndromes in Patients Presenting without Persistent ST-Segment Elevation of the European Society of Cardiology (ESC). Eur. Heart J. 2016, 37, 267–315. [Google Scholar] [CrossRef]
- Singh, M.; Lennon, R.J.; Holmes, D.R.; Bell, M.R.; Rihal, C.S. Correlates od procedural complications and a simple integer risk score for percutaneous coronary intervention. J. Am. Coll. Cardiol. 2002, 40, 387–393. [Google Scholar] [CrossRef] [PubMed]
- Kumar, S.S.; Negassa, A.; Scott Monrad, E. The Mayo Clinic risk score predicts in-hospital mortality following primary angioplasty. J. Invasive Cardiol. 2005, 17, 522–526. [Google Scholar]
- Amin, L.Z.; Amin, H.Z.; Nasution, S.A.; Panggabean, M.; Shatri, H. The New Mayo Clinic Risk Score Characteristics in Acute Coronary Syndrome in Patients Following Percutaneous Coronary Intervention. J. Tehran Heart Cent. 2017, 12, 149–154. [Google Scholar]
- Fitchett, D.H.; Borgundvaag, B.; Cantor, W.; Cohen, E.; Dhingra, S.; Fremes, S.; Gupta, M.; Heffernan, M.; Kertland, H.; Husain, M.; et al. Non-STE ACS Algorithm Group. Non-ST segment elevation acute coronary syndromes: A simplified risk-oriented algorithm. Can. J. Cardiol. 2006, 22, 663–677. [Google Scholar] [CrossRef] [PubMed]
- Mrdović, I.; Savić, L.; Krljanac, G.; Asanin, M.; Perunicic, J.; Lasica, R.; Marinkovic, J.; Kocev, N.; Vasiljevic, Z.; Ostojic, M. Predicting 30-day major adverse cardiovascular events after primary percutaneous coronary intervention. The RISK-PCI score. Int. J. Cardiol. 2013, 162, 220–227. [Google Scholar] [CrossRef]
- Mrdovic, I.; Savic, L.; Lasica, R.; Krljanac, G.; Asanin, M.; Brdar, N.; Djuricic, N.; Cvetinovic, N.; Marinkovic, J.; Perunicic, J. Usefulness of the RISK-PCI score to predict stent thrombosis in patients treated with primary percutaneous coronary intervention for ST-segment elevation myocardial infarction: A substudy of the RISK-PCI trial. Heart Vessel 2013, 28, 424–433. [Google Scholar] [CrossRef] [PubMed]
- Savic, L.; Mrdovic, I.; Asanin, M.; Stankovic, S.; Krljanac, G.; Lasica, R. Using the RISK-PCI Score in the Long-Term Prediction of Major Adverse Cardiovascular Events and Mortality after Primary Percutaneous Coronary Intervention. J. Interv. Cardiol. 2019, 2019, 2679791. [Google Scholar] [CrossRef]
- Thygesen, K.; Alpert, J.S.; Jaffe, A.S.; Simoons, M.L.; Chaitman, B.R.; White, H.D. Writing Group on the Joint ESC/ACCF/AHA/WHF Task Force for the Universal Definition of Myocardial Infarction. Third universal definition of myocardial infarction. Eur. Heart J. 2012, 33, 2551–2567. [Google Scholar] [CrossRef]
- Valliani, K.; Artani, A.; Azam, I.; Tai, J.; Kadir, M.M. Determinant of repeat revascularization within 5 years of Percutaneous Coronary Intervention at a tertiary care hospital, Karachi: A matched case-control study. Ann. Med. Surg. 2022, 75, 103364. [Google Scholar] [CrossRef]
- Díez-Villanueva, P.; Méndez, C.J.; Alfonso, F. Non-ST elevation acute coronary syndrome in the elderly. J. Geriatr. Cardiol. 2020, 17, 9–15. [Google Scholar]
- Van Den Broek, W.W.; Gimbel, M.E.; Hermanides, R.S.; Runnet, C.; Storey, R.F.; Austin, D.; Oemrawsingh, R.M.; Cooke, J.; Galasko, G.; Walhout, R.; et al. Treatment and prognosis of elderly patients with non-ST-elevation myocardial infarction. Eur. Heart J. 2022, 43, ehac544.2541. [Google Scholar] [CrossRef]
- Damluji, A.A.; Forman, D.E.; Wang, T.Y.; Chikwe, J.; Kunadian, V.; Rich, M.W.; Young, B.A.; Ii, R.L.P.; DeVon, H.A.; Alexander, K.P.; et al. Management of Acute Coronary Syndrome in the Older Adult Population: A Scientific Statement From the American Heart Association. Circulation 2023, 147, e32–e62. [Google Scholar] [CrossRef] [PubMed]
- Hao, Y.; Lu, Q.; Li, T.; Yang, G.; Hu, P.; Ma, A. Admission hyperglycaemia and adverse outcomes in diabetic and non-diabetic patients with non-ST-elevation myocardial infarction undergoing percutaneous coronary intervention. BMC Cardiovasc. Disord. 2017, 17, 6. [Google Scholar]
- Laichuthai, N.; Abdul-Ghani, M.; Kosiborod, M.; Parksook, W.W.; Kerr, S.J.; DeFronzo, R.A. Newly Discovered Abnormal Glucose Tolerance in Patients with Acute Myocardial Infarction and Cardiovascular Outcomes: A Meta-analysis. Diabetes Care 2020, 43, 1958–1966. [Google Scholar] [CrossRef]
- Pepe, M.; Addabbo, F.; Cecere, A.; Tritto, R.; Napoli, G.; Nestola, P.L.; Cirillo, P.; Biondi-Zoccai, G.; Giordano, S.; Ciccone, M.M. Acute Hyperglycemia-Induced Injury in Myocardial Infarction. Int. J. Mol. Sci. 2024, 25, 8504. [Google Scholar] [CrossRef] [PubMed]
- Januszek, R.; Bujak, K.; Kasprzycki, K.; Gąsior, M.; Bartuś, S. Prognosis of patients with renal failure one year following non-ST-segment elevation myocardial infarction treated with percutaneous coronary intervention. Hell. J. Cardiol. 2024, 76, 48–57. [Google Scholar] [CrossRef]
- Sadeghi, H.M.; Stone, G.W.; Grines, C.L.; Mehran, R.; Dixon, S.R.; Lansky, A.J.; Fahy, M.; Cox, D.A.; Garcia, E.; Tcheng, J.E.; et al. Impact of renal insufficiency in patients undergoing primary angioplasty for acute myocardial infarction. Circulation 2003, 108, 2769–2775. [Google Scholar] [CrossRef]
- Karwowski, J.; Poloński, L.; Gierlotka, M.; Bęćkowski, M.; Kowalik, I.; Szwed, H. Post-procedural TIMI flow grade 2 is not associated with improved prognosis in patients with non-ST-segment elevation myocardial infarction undergoing percutaneous coronary revascularization (PL-ACS registry). Cardiol. J. 2016, 23, 402–410. [Google Scholar] [CrossRef]
- Fox, K.A.; Dabbous, O.H.; Goldberg, R.J.; Pieper, K.S.; A Eagle, K.; Van de Werf, F.; Avezum, Á.; Goodman, S.G.; Flather, M.D.; A Anderson, F.; et al. Prediction of risk of death and myocardial infarction in the six months after presentation with acute coronary syndrome: Prospective multinational observational study (GRACE). BMJ 2006, 333, 1091–1094. [Google Scholar] [CrossRef]
- Synetos, A.; Georgiopoulos, G.; Pylarinou, V.; Toutouzas, K.; Maniou, K.; Drakopoulou, M.; Tolis, P.; Karanasos, A.; Papanikolaou, A.; Latsios, G.; et al. Comparison of prognostic risk scores after successful primary percutaneous coronary intervention. Int. J. Cardiol. 2017, 230, 482–487. [Google Scholar] [CrossRef]



| Risk Factor | Points | Risk Factor | Points |
|---|---|---|---|
| Creatinine Clearance (CCr) * | |||
| Age > 75 years | 1 | ≥90 mL/min | 0 |
| Previous heart attack | 1.5 | CCr 60–89 mL/min | 1 |
| Anterior infarction | 1 | CCr < 60 mL/min | 2 |
| Complete AV block * | 2 | LVEF < 40% | 1.5 |
| Acute BBB * | 3.5 | Ref. diameter ≤ 2.5 mm | 1 |
| Leukocytes * > 12.0 × 10−9/L | 1 | Previous TIMI = 0 | 1 |
| Glycemia * ≥ 6.6 mmol/L | 1 | Final TIMI < 3 | 3.5 |
| Characteristi-cs | Total n = 242 | MACE n = 24 | Non-MACE n = 218 | p * |
|---|---|---|---|---|
| Baseline | ||||
| Age (years), mean ± sd | 64.39 ± 12.20 | 69.75 ± 14.33 | 63.80 ± 11.83 | 0.023 £ |
| Age > 75 years, n (%) | 56 (23.1) | 11 (45.8) | 45 (20.6) | 0.005 ¥ |
| Gender (female), n (%) | 72 (29.8) | 2 (8.3) | 70 (32.1) | 0.016 ¥ |
| BMI, kg/m3 | 24.81 ± 3.21 | 24.65 ± 3.07 | 24.82 ± 3.24 | 0.812 £ |
| Smoking, n (%) | 129 (53.3) | 8 (33.3) | 121 (55.5) | 0.039 ¥ |
| Medical history, n (%) | ||||
| HTA | 210 (86.8) | 20 (83.3) | 190 (87.2) | 0.600 ¥ |
| DM | 67 (27.7) | 8 (33.3) | 59 (27.1) | 0.515 ¥ |
| Hyperlipidemia | 173 (71.5) | 13 (54.2) | 160 (73.4) | 0.048 ¥ |
| Previous AMI | 51 (21.2) | 4 (16.7) | 47 (21.7) | 0.570 ¥ |
| Previous CABG | 26 (10.7) | 3 (12.5) | 23 (10.6) | 0.770 ¥ |
| Previous PCI | 49 (20.2) | 4 (16.7) | 45 (20.6) | 0.646 ¥ |
| Previous complete AV block | 3 (1.2) | 1 (4.2) | 2 (0.9) | 0.270 € |
| Previous atrial fibrillation | 23 (9.5) | 5 (20.8) | 18 (8.3) | 0.046 ¥ |
| Previous CVI | 18 (7.4) | 4 (16.7) | 14 (6.4) | 0.069 ¥ |
| Previous peptic ulcer | 29 (12.0) | 1 (4.2) | 28 (12.8) | 0.214 ¥ |
| Peripheral vascular disease | 11 (4.5) | 1 (4.2) | 10 (4.6) | 0.925 ¥ |
| Admission characteristics | ||||
| SBP (mmHg), mean ± sd | 140.48 ± 23.09 | 127.50 ± 23.82 | 141.90 ± 22.61 | 0.004 £ |
| HR (beats/min), mean ± sd | 78.88 ± 14.91 | 82.39 ± 20.34 | 78.50 ± 14.22 | 0.235 £ |
| Peak CK, med (min–max) | 274.0 (0.0–3163.0) | 364.0 (16.0–3163.0) | 260.0 (0.0–2897.0) | 0.350 $ |
| Peak troponin, med (min–max) | 2.8 (0.1–126.1) | 6.5 (0.9–126.1) | 2.4 (0.1–72.8) | 0.013 $ |
| Hgb (g/L), mean ± sd | 136.10 ± 17.44 | 131.83 ± 22.59 | 136.58 ± 16.78 | 0.207 £ |
| Leukocyte (×109/L), med (min–max) | 9.0 (3.0–26.3) | 8.9 (3.6–26.3) | 9.0 (3.0–19.4) | 0.824 $ |
| Platelet count (×109/L), med (min–max) | 220 (20–603) | 213.5 (115–330) | 220.5 (20–603) | 0.415 $ |
| Fibrinogen (mg/mL), mean ± sd | 4.36 ± 1.06 | 4.50 ± 1.14 | 4.34 ± 1.05 | 0.499 £ |
| Glycemia (mmol/L), med (min–max) | 6.2 (3.9–23.7) | 7.2 (4.2–23.2) | 6.1 (3.9–23.7) | 0.012 $ |
| Glycemia > 6.6 mmol/L, n (%) | 105 (43.6) | 18 (75.0) | 87 (40.1) | 0.001 ¥ |
| Creatinine clearance (mL/min), med (min–max) | 79.5 (4.0–169.0) | 48.0 (6.0–115.0) | 82.0 (4.0–169.0) | <0.001 $ |
| Creatinine clearance (mL/min), n (%) | ||||
| <60 | 65 (30.1) | 13 (61.9) | 52 (26.7) | 0.001 ¥ |
| >60 | 151 (69.6) | 8 (38.1) | 143 (73.3) | |
| Left ventricle EF (%), mean ± sd | 52.12 ± 12.24 | 44.83 ± 15.30 | 52.93 ± 11.62 | 0.002 £ |
| Left ventricle EF < 40%, n (%) | 27 (11.2) | 5 (20.8) | 22 (10.0) | 0.113 ¥ |
| Killip class 2/3, n (%) | 30 (12.4) | 9 (37.5) | 21 (9.6) | <0.001 ¥ |
| AIM localization, n (%) | ||||
| anterior | 125 (51.7) | 13 (54.2) | 112 (51.4) | 0.795 ¥ |
| inferior | 89 (36.8) | 6 (25.0) | 83 (38.1) | 0.207 ¥ |
| Pain duration before FMC, med (min–max) | 8.0 (5.0–120.0) | 8.0 (0.8–48.0) | 8.0 (0.5–120.0) | 0.598 $ |
| Angiographic Findings | Total n = 242 | MACE n = 24 | Non-MACE n = 218 | p * |
|---|---|---|---|---|
| Pre-procedural TIMI flow grade 0, n (%) | 23 (9.5) | 2 (8.3) | 21 (9.6) | 0.837 ¥ |
| 3-vessel disease, n (%) | 76 (31.4) | 15 (62.5) | 61 (28.0) | <0.001 ¥ |
| Left main disease, n (%) | 22 (9.1) | 3 (12.5) | 19 (8.7) | 0.540 ¥ |
| Bifurcation lesion, n (%) | 19 (7.9) | 1 (4.2) | 18 (8.3) | 0.480 ¥ |
| Reference diameter (mm), mean ± sd | 3.09 ± 0.51 | 3.15 ± 0.35 | 3.00 ± 0.52 | 0.585 £ |
| Reference diameter < 2.5 mm, n (%) | 41 (17.2) | 1 (4.3) | 40 (18.5) | 0.087 ¥ |
| Saphenous vein graft, n (%) | 21 (35.0) | 2 (25.0) | 19 (36.5) | 0.524 ¥ |
| Procedural characteristics | ||||
| PTCA, n (%) | 64 (26.4) | 7 (29.2) | 57 (26.1) | 0.750 ¥ |
| Tirofiban, n (%) | 21 (10.5) | 3 (17.6) | 18 (9.8) | 0.315 ¥ |
| Stent, n (%) | 182 (75.2) | 19 (79.2) | 163 (74.8) | 0.636 ¥ |
| Number of stents, med (min–max) | 1 (0–5) | 1 (0–3) | 1 (0–5) | 0.842 $ |
| IRA max stent length (mm), med (min–max) | 22 (12–83) | 22 (15–64) | 22 (12–83) | 0.679 $ |
| IRA DES, n (%) | 75 (31.0) | 10 (41.7) | 65 (29.8) | 0.233 ¥ |
| IRA Dissection, n (%) | 11 (4.5) | 1 (4.2) | 10 (4.6) | 0.925 ¥ |
| Final TIMI flow grade < 3, n (%) | 23 (9.6) | 5 (21.7) | 18 (8.3) | 0.038 ¥ |
| Therapy During Hospitalization (in Addition to DAPT and PPI/H2), n (%) | Total n = 242 | MACE n = 24 | Non-MACE n = 218 | p * |
|---|---|---|---|---|
| Beta blocker | 204 (84.3) | 16 (66.7) | 188 (86.2) | 0.012 ¥ |
| Heparin | 236 (97.5) | 23 (95.8) | 213 (97.7) | 0.469 € |
| ACE inhibitor | 203 (83.9) | 18 (75.0) | 185 (84.9) | 0.212 ¥ |
| Statin | 241 (99.6) | 24 (100.0) | 217 (99.5) | 1.000 € |
| Diuretic | 65 (26.9) | 14 (58.3) | 51 (23.4) | <0.001 ¥ |
| Antiaritmics | 23 (9.5) | 6 (25.0) | 17 (7.8) | 0.006 ¥ |
| Inotropics | 15 (6.2) | 6 (25.0) | 9 (4.1) | <0.001 ¥ |
| Cardiac glycoside | 7 (2.9) | 1 (4.2) | 6 (2.8) | 0.523 € |
| Outcomes | Total n = 242 | MACE n = 24 | Non-MACE n = 218 | p * |
|---|---|---|---|---|
| Death, n (%) | 9 (3.7) | 9 (37.5) | 0 (0.0) | <0.001 ¥ |
| Re-AMI, n (%) | 5 (2.1) | 5 (20.8) | 0 (0.0) | <0.001 ¥ |
| CVI | 3 (1.2) | 3 (12.5) | 0 (0.0) | <0.001 ¥ |
| Re-PCI | 5 (2.1) | 5 (20.8) | 0 (0.0) | <0.001 ¥ |
| RISK-PCI score, med (min–max) | 3 (0.0–11.5) | 4 (1–11.5) | 3 (0–11.0) | 0.001 $ |
| Parameter | MACE | ||
|---|---|---|---|
| OR | 95%CI OR | p * | |
| Age > 75 years | 3.25 | 1.37–7.74 | 0.008 |
| Prior infarction | 0.72 | 0.24–2.22 | 0.571 |
| Anterior infarction | 1.12 | 0.48–2.61 | 0.795 |
| Complete AV block | 4.70 | 0.41–53.80 | 0.214 |
| Acute BBB | - | - | - |
| Leukocyte >12 × 109/L | 1.01 | 0.36–2.86 | 0.982 |
| Glucose ≥ 6.6 mmol/L | 4.48 | 1.71–11.74 | 0.002 |
| Creatinine Clearance < 60 mL/min | 4.47 | 1.75–11.40 | 0.002 |
| LVEF < 40% | 2.34 | 0.80–6.90 | 0.122 |
| IRA reference diameter ≤ 25 mm | 0.20 | 0.03–1.53 | 0.121 |
| IRA pre-procedural TIMI flow grade 0 | 0.85 | 0.19–3.88 | 0.837 |
| IRA post-procedural TIMI flow grade < 3 | 3.06 | 1.02–9.20 | 0.047 |
| RISK-PCI score | 1.39 | 1.16–1.68 | <0.001 |
| Risk Class | n (%) | Score Category | MACE (%) Observed vs. Expected | OR (95% CI RR) for 30-Day MACE |
|---|---|---|---|---|
| Low | 93 (43.9) | 0–2.5 | 3.2 vs. 1.1–9.1 | Ref. |
| Intermediate | 72 (34.0) | 3–4.5 | 12.5 vs. 6.7–22.1 | 4.28 (1.12–16.46) |
| High | 30 (14.2) | 5–6.5 | 13.3 vs. 5.3–29.7 | 4.62 (0.97–21.95) |
| Very high | 17 (8.0) | ≥7 | 29.4 vs. 13.3–53.1 | 12.50 (2.64–59.07) |
Disclaimer/Publisher’s Note: The statements, opinions and data contained in all publications are solely those of the individual author(s) and contributor(s) and not of MDPI and/or the editor(s). MDPI and/or the editor(s) disclaim responsibility for any injury to people or property resulting from any ideas, methods, instructions or products referred to in the content. |
© 2025 by the authors. Licensee MDPI, Basel, Switzerland. This article is an open access article distributed under the terms and conditions of the Creative Commons Attribution (CC BY) license (https://creativecommons.org/licenses/by/4.0/).
Share and Cite
Stanojkovic, A.; Mrdovic, I.; Tosic, I.; Matic, D.; Savic, L.; Petrovic, J.; Cirkovic, A.; Milosevic, A.; Srdic, M.; Kostic, N.; et al. Prognostic Value of the RISK-PCI Score in Patients with Non-ST-Segment Elevation Acute Myocardial Infarction. J. Clin. Med. 2025, 14, 2727. https://doi.org/10.3390/jcm14082727
Stanojkovic A, Mrdovic I, Tosic I, Matic D, Savic L, Petrovic J, Cirkovic A, Milosevic A, Srdic M, Kostic N, et al. Prognostic Value of the RISK-PCI Score in Patients with Non-ST-Segment Elevation Acute Myocardial Infarction. Journal of Clinical Medicine. 2025; 14(8):2727. https://doi.org/10.3390/jcm14082727
Chicago/Turabian StyleStanojkovic, Ana, Igor Mrdovic, Ivana Tosic, Dragan Matic, Lidija Savic, Jelena Petrovic, Andja Cirkovic, Aleksandra Milosevic, Milena Srdic, Natasa Kostic, and et al. 2025. "Prognostic Value of the RISK-PCI Score in Patients with Non-ST-Segment Elevation Acute Myocardial Infarction" Journal of Clinical Medicine 14, no. 8: 2727. https://doi.org/10.3390/jcm14082727
APA StyleStanojkovic, A., Mrdovic, I., Tosic, I., Matic, D., Savic, L., Petrovic, J., Cirkovic, A., Milosevic, A., Srdic, M., Kostic, N., Rankovic, I., & Petrusic, I. (2025). Prognostic Value of the RISK-PCI Score in Patients with Non-ST-Segment Elevation Acute Myocardial Infarction. Journal of Clinical Medicine, 14(8), 2727. https://doi.org/10.3390/jcm14082727

