Segment-Specific Analysis of Carotid Intima-Media Thickness and Its Association with Cardiovascular Risk Factors in a Large Healthy Cohort
Abstract
1. Introduction
2. Materials and Methods
2.1. Study Design and Population
2.2. Carotid Ultrasonography and IMT Measurement
2.3. Variables Assessment
2.4. Statistical Analysis
3. Results
3.1. Baseline Characteristics
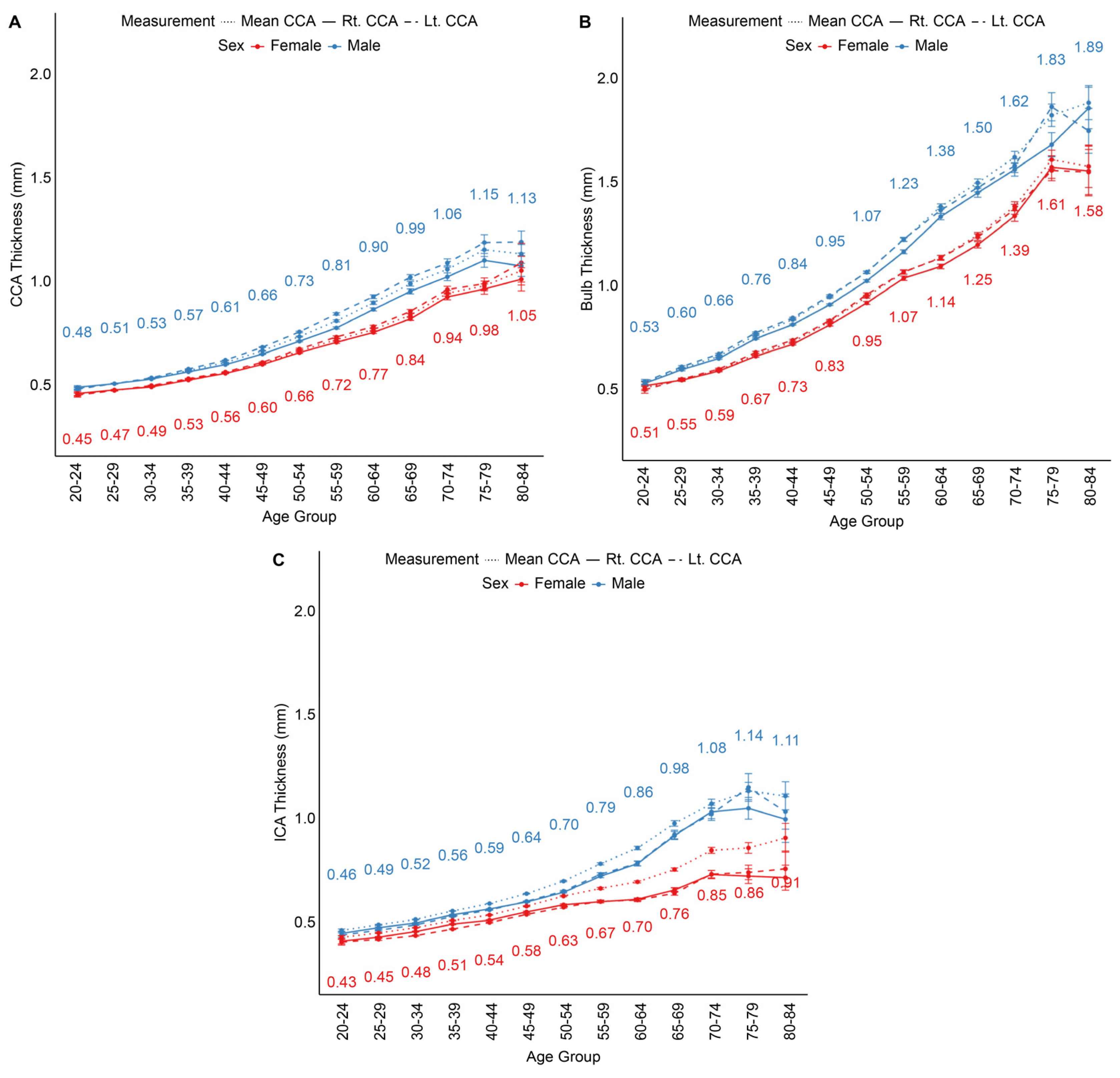
3.2. Age, Sex, and Segmental Variations in Carotid IMT
3.3. Associations of HTN, DM, and Dyslipidemia with Carotid IMT
3.4. Reference Distribution of Carotid IMT by Age and Sex
4. Discussion
4.1. Segmental Characteristics of IMT
4.2. Associations Between IMT and CV Risk Factors
4.3. Age- and Sex-Related Trends in Carotid IMT
4.4. Limitations
5. Conclusions
Supplementary Materials
Author Contributions
Funding
Institutional Review Board Statement
Informed Consent Statement
Data Availability Statement
Conflicts of Interest
References
- Den Ruijter, H.M.; Peters, S.A.E.; Anderson, T.J.; Britton, A.R.; Dekker, J.M.; Eijkemans, M.J.; Engström, G.; Evans, G.W.; de Graaf, J.; Grobbee, D.E.; et al. Common carotid intima-media thickness measurements in cardiovascular risk prediction: A meta-analysis. JAMA 2012, 308, 796–803. [Google Scholar] [CrossRef] [PubMed]
- Van den Oord, S.C.H.; Sijbrands, E.J.G.; ten Kate, G.L.; van Klaveren, D.; van Domburg, R.T.; van der Steen, A.F.W.; Schinkel, A.F.L. Carotid intima-media thickness for cardiovascular risk assessment: Systematic review and meta-analysis. Atherosclerosis 2013, 228, 1–11. [Google Scholar] [CrossRef] [PubMed]
- Kasliwal, R.R.; Kaushik, M.; Grewal, H.K.; Bansal, M. Carotid Ultrasound for Cardiovascular Risk Prediction: From Intima-media Thickness to Carotid Plaques. J. Indian Acad. Echocardiogr. Cardiovasc. Imaging 2017, 1, 39–46. [Google Scholar] [CrossRef]
- Willeit, P.; Tschiderer, L.; Allara, E.; Reuber, K.; Seekircher, L.; Gao, L.; Liao, X.; Lonn, E.; Gerstein, H.C.; Yusuf, S.; et al. Carotid intima-media thickness progression as surrogate marker for cardiovascular risk: Meta-Analysis of 119 Clinical Trials Involving 100 667 Patients. Circulation 2020, 142, 621–642. [Google Scholar] [CrossRef]
- Carpenter, M.; Sinclair, H.; Kunadian, V. Carotid intima media thickness and its utility as a predictor of cardiovascular disease: A review of evidence. Cardiol. Rev. 2016, 24, 70–75. [Google Scholar] [CrossRef]
- Ling, Y.; Wan, Y.; Barinas-Mitchell, E.; Fujiyoshi, A.; Cui, H.; Maimaiti, A.; Xu, R.; Li, J.; Suo, C.; Zaid, M. Varying definitions of carotid intima-media thickness and future cardiovascular disease: A systematic review and meta-analysis. J. Am. Heart Assoc. 2023, 12, e031217. [Google Scholar] [CrossRef]
- Iglesias del Sol, A.; Bots, M.L.; Grobbee, D.E.; Hofman, A.; Witteman, J.C.M. Carotid intima-media thickness at different sites: Relation to incident myocardial infarction. The Rotterdam study. Eur. Heart J. 2002, 23, 934–940. [Google Scholar] [CrossRef]
- O’Leary, D.H.; Polak, J.F.; Kronmal, R.A.; Manolio, T.A.; Burke, G.L.; Wolfson, S.K., Jr. Carotid-artery intima and media thickness as a risk factor for myocardial infarction and stroke in older adults. Cardiovasc. Health Study Collab. Res. Group. N. Engl. J. Med. 1999, 340, 14–22. [Google Scholar] [CrossRef]
- Eikendal, A.L.M.; Groenewegen, K.A.; Anderson, T.J.; Britton, A.R.; Engström, G.; Evans, G.W.; de Graaf, J.; Grobbee, D.E.; Hedblad, B.; Holewijn, S.; et al. Common carotid intima-media thickness relates to cardiovascular events in adults aged <45 years. Hypertension 2015, 65, 707–713. [Google Scholar] [CrossRef]
- Gijsberts, C.M.; Groenewegen, K.A.; Hoefer, I.E.; Eijkemans, M.J.C.; Asselbergs, F.W.; Anderson, T.J.; Britton, A.R.; Dekker, J.M.; Engström, G.; Evans, G.W.; et al. Race/ethnic differences in the associations of the Framingham risk factors with carotid IMT and cardiovascular events. PLoS ONE 2015, 10, e0132321. [Google Scholar] [CrossRef]
- Kim, H.-L.; Lee, E.M.; Ahn, S.Y.; Kim, K.-I.; Kim, H.C.; Kim, J.H.; Lee, H.-Y.; Lee, J.H.; Park, J.-M.; Cho, E.J.; et al. The 2022 focused update of the 2018 Korean hypertension Society Guidelines for the management of hypertension. Clin. Hypertens. 2023, 29, 11. [Google Scholar] [CrossRef] [PubMed]
- Aboyans, V.; Ricco, J.-B.; Bartelink, M.E.L.; Björck, M.; Brodmann, M.; Cohnert, T.; Collet, J.-P.; Czerny, M.; De Carlo, M.; Debus, S.; et al. 2017 ESC Guidelines on the Diagnosis and Treatment of peripheral arterial Diseases, in collaboration with the European Society for Vascular Surgery (ESVS): Document covering atherosclerotic disease of extracranial carotid and vertebral, mesenteric, renal, upper and lower extremity arteriesEndorsed by: The European Stroke Organization (ESO)The Task Force for the Diagnosis and Treatment of Peripheral Arterial Diseases of the European Society of Cardiology (ESC) and of the European Society for Vascular Surgery (ESVS). Eur. Heart J. 2018, 39, 763–816. [Google Scholar] [CrossRef] [PubMed]
- Goff, D.C.; Lloyd-Jones, D.M.; Bennett, G.; Coady, S.; D’agostino, R.B.; Gibbons, R.; Greenland, P.; Lackland, D.T.; Levy, D.; O’donnell, C.J.; et al. ACC/AHA guideline on the assessment of cardiovascular risk: A report of the American College of Cardiology/American Heart Association Task Force on Practice Guidelines. J. Am. Coll. Cardiol. 2013, 25, 2935–2959. [Google Scholar]
- Chien, K.L.; Su, T.C.; Jeng, J.S.; Hsu, H.C.; Chang, W.T.; Chen, M.F.; Lee, Y.T.; Hu, F.B. Carotid artery intima-media thickness, carotid plaque and coronary heart disease and stroke in Chinese. PLoS ONE 2008, 3, e3435. [Google Scholar] [CrossRef]
- Dalan, R.; Mina, T.H.M.; Nur Azizah, N.A.; Loh, M.L.; Gervais, W.G.; Chambers, J.C.C. Reference intervals for carotid artery intima-media thickness measurements in the multi-ethnic Asian population: Relationship with cardiometabolic risk factors. Eur. Heart J. 2023, 44 (Suppl. 2), ehad655-2461. [Google Scholar] [CrossRef]
- Seekircher, L.; Tschiderer, L.; Willeit, P. Intima-media thickness measured at the common carotid artery, carotid bifurcation, and internal carotid artery in cardiovascular risk assessment. Eur. J. Prev. Cardiol. 2024, 31 (Suppl. 1), zwae175-295. [Google Scholar] [CrossRef]
- Choi, H.I.; Lee, M.Y.; Oh, B.K.; Lee, S.J.; Kang, J.G.; Lee, S.H.; Lee, J.Y.; Kim, B.J.; Kim, B.S.; Kang, J.H.; et al. Effects of age, sex, and obesity on N-terminal pro B-type natriuretic peptide concentrations in the general population. Circ. J. 2021, 85, 647–654. [Google Scholar] [CrossRef]
- GE Healthcare. LOGIQ E9 Ultrasound System with XDclear. 2024. Available online: https://www.gehealthcare.com/products/ultrasound/logiq/logiq-e10?srsltid=AfmBOopQJv7OYHk-hRCtF2U56gzgnA-9alFNL0QwzrDMMUORI13K_K7m (accessed on 20 December 2024).
- Johri, A.M.; Nambi, V.; Naqvi, T.Z.; Feinstein, S.B.; Kim, E.S.H.; Park, M.M.; Becher, H.; Sillesen, H. Recommendations for the assessment of carotid arterial plaque by ultrasound for the characterization of atherosclerosis and evaluation of cardiovascular risk: From the American Society of Echocardiography. J. Am. Soc. Echocardiogr. 2020, 33, 917–933. [Google Scholar] [CrossRef]
- Zureik, M.; Ducimetière, P.; Touboul, P.J.; Courbon, D.; Bonithon-Kopp, C.; Berr, C.; Magne, C. Common carotid intima-media thickness predicts occurrence of carotid atherosclerotic plaques: Longitudinal results from the Aging Vascular Study (EVA) study. Arter. Thromb. Vasc. Biol. 2000, 20, 1622–1629. [Google Scholar] [CrossRef]
- Cheitlin, M.D.; Armstrong, W.F.; Aurigemma, G.P.; Beller, G.A.; Bierman, F.Z.; Davis, J.L.; Douglas, P.S.; Faxon, D.P.; Gillam, L.D.; Kimball, T.R.; et al. ACC/AHA/ASE 2003 Guideline Update for the Clinical Application of Echocardiography: Summary Article: A Report of the American College of Cardiology; American Heart Association Task Force on Practice Guidelines (ACC/AHA/ASE Committee to Update the, 1997 Guidelines for the Clinical Application of Echocardiography). Circulation 2003, 108, 1146–1162. [Google Scholar]
- Polak, J.F.; Person, S.D.; Wei, G.S.; Godreau, A.; Jacobs, D.R.; Harrington, A.; Sidney, S.; O’Leary, D.H. Segment-specific associations of carotid intima-media thickness with cardiovascular risk factors: The Coronary Artery Risk Development in Young Adults (CARDIA) study. Stroke 2010, 41, 9–15. [Google Scholar] [CrossRef] [PubMed]
- Engelen, L.; Ferreira, I.; Stehouwer, C.D.; Boutouyrie, P.; Laurent, S. Reference Values for Arterial Measurements Collaboration. Reference intervals for common carotid intima-media thickness measured with echotracking: Relation with risk factors. Eur. Heart J. 2013, 34, 2368–2380. [Google Scholar] [CrossRef] [PubMed]
- Ärnlöv, J.; Pencina, M.J.; Amin, S.; Nam, B.-H.; Benjamin, E.J.; Murabito, J.M.; Wang, T.J.; Knapp, P.E.; D’Agostino, R.B.; Bhasin, S.; et al. Endogenous sex hormones and cardiovascular disease incidence in men. Ann. Intern. Med. 2006, 145, 176–184. [Google Scholar] [CrossRef] [PubMed]
- Pollex, R.L.; Hegele, R.A. Genetic determinants of carotid ultrasound traits. Curr. Atheroscler. Rep. 2006, 8, 206–215. [Google Scholar] [CrossRef]
- Su, T.C.; Jeng, J.S.; Chien, K.L.; Sung, F.C.; Hsu, H.C.; Lee, Y.T. Hypertension status is the major determinant of carotid atherosclerosis: A community-based study in Taiwan. Stroke 2001, 32, 2265–2271. [Google Scholar] [CrossRef]
- El Samahy, M.H.; Matter, R.M.; Youssef, O.I.; Shams El Din El Telbany, M.A.; Kamal, N.A. Relation between carotid intima media thickness and oxidative stress markers in type 1 diabetic children and adolescents. J. Diabetes Metab. Disord. 2013, 12, 50. [Google Scholar] [CrossRef][Green Version]
- Gallo, G.; Volpe, M.; Savoia, C. Endothelial dysfunction in hypertension: Current concepts and clinical implications. Front. Med. 2021, 8, 798958. [Google Scholar] [CrossRef]
- Libby, P.; Ridker, P.M.; Hansson, G.K. Progress and challenges in translating the biology of atherosclerosis. Nature 2011, 473, 317–325. [Google Scholar] [CrossRef]
- Chironi, G.; Gariepy, J.; Denarie, N.; Balice, M.; Megnien, J.-L.; Levenson, J.; Simon, A. Influence of hypertension on early carotid artery remodeling. Arter. Thromb. Vasc. Biol. 2003, 23, 1460–1464. [Google Scholar] [CrossRef]
- Finn, A.V.; Kolodgie, F.D.; Virmani, R. Correlation between carotid intimal/medial thickness and atherosclerosis: A point of view from pathology. Arter. Thromb. Vasc. Biol. 2010, 30, 177–181. [Google Scholar] [CrossRef]
- Engelen, L.; Boutouyrie, P.; Ferreira, I.; Stehouwer, C.; Laurent, S. Normal and reference values for carotid intima-media thickness. Artery Res. 2011, 5, 141. [Google Scholar] [CrossRef]
- Sinning, C.; Wild, P.S.; Echevarria, F.M.O.; Wilde, S.; Schnabel, R.; Lubos, E.; Herkenhoff, S.; Bickel, C.; Klimpe, S.; Gori, T.; et al. Sex Differences in Early Carotid Atherosclerosis (from the Community-Based Gutenberg-Heart Study). Am. J. Cardiol. 2011, 107, 1841–1847. [Google Scholar] [CrossRef] [PubMed]


| Variables | CCA Carotid | p-Value | Bulb Carotid | p-Value | ICA Carotid | p-Value | |||
|---|---|---|---|---|---|---|---|---|---|
| <1.5 mm | ≥1.5 mm | <1.5 mm | ≥1.5 mm | <1.5 mm | ≥1.5 mm | ||||
| n | 85,164 | 987 | 67,568 | 7813 | 83,997 | 1127 | |||
| Age (years) | 46.44 (9.47) | 59.79 (10.11) | <0.001 | 45.25 (8.98) | 54.98 (10.38) | <0.001 | 46.35 (9.41) | 60.63 (10.00) | <0.001 |
| Sex (Male, n, %) | 59133 (69.43) | 759 (76.90) | <0.001 | 45,725 (67.67) | 5858 (74.98) | <0.001 | 58,145 (69.22) | 918 (81.46) | <0.001 |
| Body Mass Index (kg/m2) | 24.62 (3.54) | 24.87 (3.14) | 0.027 | 24.56 (3.61) | 24.70 (3.18) | 0.001 | 24.61 (3.54) | 24.79 (3.08) | 0.097 |
| Waist Circumference (cm) | 85.24 (9.95) | 86.62 (8.57) | <0.001 | 84.93 (10.13) | 85.88 (9.02) | <0.001 | 85.21 (9.96) | 87.08 (8.53) | <0.001 |
| Weight (kg) | 71.19 (13.69) | 69.88 (12.42) | 0.003 | 71.06 (13.90) | 70.54 (12.57) | 0.002 | 71.18 (13.72) | 69.82 (11.66) | 0.001 |
| Systolic Blood Pressure (mmHg) | 113.20 (12.93) | 122.12 (14.64) | <0.001 | 112.35 (12.76) | 118.29 (13.33) | <0.001 | 113.16 (12.93) | 121.06 (13.90) | <0.001 |
| Diastolic Blood Pressure (mmHg) | 72.05 (8.97) | 74.59 (9.46) | <0.001 | 71.61 (8.96) | 74.20 (8.79) | <0.001 | 72.03 (8.98) | 74.07 (9.06) | <0.001 |
| NT-proBNP | 34.50 (72.59) | 136.55 (571.96) | <0.001 | 33.28 (81.50) | 56.24 (187.73) | <0.001 | 34.69 (82.49) | 96.19 (408.38) | <0.001 |
| Glucose (mg/dL) | 97.91 (16.34) | 107.72 (27.15) | <0.001 | 97.16 (15.58) | 102.01 (19.83) | <0.001 | 97.85 (16.30) | 105.89 (23.54) | <0.001 |
| Hemoglobin (g/dL) | 14.53 (1.41) | 14.45 (1.29) | 0.078 | 14.50 (1.44) | 14.50 (1.30) | 0.682 | 14.53 (1.42) | 14.54 (1.25) | 0.792 |
| HemoglobinA1c (%) | 5.68 (0.61) | 6.12 (0.97) | <0.001 | 5.64 (0.57) | 5.89 (0.73) | <0.001 | 5.67 (0.60) | 6.06 (0.83) | <0.001 |
| Total Cholesterol (mg/dL) | 198.82 (38.19) | 187.79 (47.94) | <0.001 | 199.11 (37.23) | 192.58 (43.44) | <0.001 | 198.90 (38.12) | 184.16 (46.68) | <0.001 |
| LDL-Cholesterol (mg/dL) | 128.17 (35.75) | 121.38 (44.91) | <0.001 | 128.21 (34.85) | 124.36 (40.82) | <0.001 | 128.25 (35.70) | 117.49 (43.47) | <0.001 |
| HDL-Cholesterol (mg/dL) | 59.25 (15.56) | 54.03 (13.36) | <0.001 | 59.72 (15.78) | 57.10 (14.40) | <0.001 | 59.29 (15.56) | 54.40 (13.54) | <0.001 |
| Triglycerides (mg/dL) | 130.77 (87.77) | 132.65 (97.96) | 0.507 | 129.59 (88.41) | 127.48 (80.28) | 0.044 | 130.53 (87.52) | 129.85 (90.26) | 0.797 |
| eGFR | 97.63 (13.80) | 85.27 (15.59) | <0.001 | 98.64 (13.67) | 89.33 (13.92) | <0.001 | 97.68 (13.79) | 84.75 (14.88) | <0.001 |
| 96.95 (17.95) | 87.54 (18.29) | <0.001 | 97.68 (18.08) | 90.16 (16.58) | <0.001 | 96.97 (17.96) | 87.35 (17.65) | <0.001 | |
| AST (IU/L) | 23.97 (13.72) | 25.74 (12.64) | <0.001 | 23.67 (13.37) | 25.34 (16.24) | <0.001 | 23.93 (13.73) | 26.63 (13.78) | <0.001 |
| ALT (IU/L) | 26.67 (20.44) | 26.83 (18.34) | 0.808 | 26.39 (20.63) | 26.63 (18.73) | 0.320 | 26.62 (20.45) | 27.60 (18.44) | 0.111 |
| GGT (IU/L) | 35.41 (43.73) | 42.43 (87.50) | <0.001 | 34.65 (41.74) | 36.93 (46.71) | <0.001 | 35.31 (43.49) | 42.27 (89.99) | <0.001 |
| Insulin (IU/mL) | 8.20 (5.72) | 7.42 (4.76) | <0.001 | 8.18 (5.65) | 7.49 (6.17) | <0.001 | 8.19 (5.71) | 7.47 (4.88) | <0.001 |
| HOMA-IR | 2.04 (1.67) | 2.05 (1.67) | 0.931 | 2.02 (1.65) | 1.95 (1.85) | 0.001 | 2.04 (1.67) | 2.01 (1.55) | 0.526 |
| Uric Acid (mmol/L) | 5.61 (1.44) | 5.56 (1.33) | 0.282 | 5.59 (1.45) | 5.55 (1.37) | 0.017 | 5.60 (1.44) | 5.58 (1.35) | 0.626 |
| hsCRP (mg/L) | 0.12 (0.32) | 0.14 (0.51) | 0.016 | 0.12 (0.33) | 0.12 (0.34) | 0.568 | 0.12 (0.32) | 0.14 (0.53) | 0.032 |
| Lifestyle and Socioeconomic Variables | |||||||||
| Current Smoker (n, %) | 13,754 (29.98) | 202 (31.03) | 0.591 | 10,563 (30.32) | 1411 (29.37) | 0.186 | 13,465 (29.90) | 244 (31.73) | 0.289 |
| Alcohol Intake (g/day) | 8.64 (14.49) | 10.19 (15.45) | 0.002 | 8.51 (14.34) | 9.94 (16.46) | <0.001 | 8.61 (14.47) | 10.83 (15.42) | <0.001 |
| High Alcohol Intake (%) | 1055 (1.37) | 14 (1.62) | 0.634 | 818 (1.34) | 135 (1.92) | <0.001 | 1040 (1.37) | 15 (1.49) | 0.839 |
| Alcohol Consumption (frequency, n (%)): | <0.001 | <0.001 | <0.001 | ||||||
| 0 times/week | 7869 (10.20) | 144 (16.61) | 5981 (9.78) | 915 (12.95) | 7784 (10.23) | 134 (13.32) | |||
| 1–2 times/week | 57,763 (74.84) | 551 (63.55) | 46199 (75.53) | 4874 (68.97) | 56,973 (74.86) | 676 (67.20) | |||
| 3–4 times/week | 9044 (11.72) | 112 (12.92) | 7103 (11.61) | 932 (13.19) | 8910 (11.71) | 133 (13.22) | |||
| ≥5 times/week | 2502 (3.24) | 60 (6.92) | 1885 (3.08) | 346 (4.90) | 2444 (3.21) | 63 (6.26) | |||
| Vigorous Exercise (≥5 times/week, n (%)) | 4288 (5.05) | 86 (8.83) | <0.001 | 3341 (4.96) | 483 (6.23) | <0.001 | 4232 (5.05) | 80 (7.19) | 0.002 |
| Physical Activity Level (IPAQ %): | <0.001 | <0.001 | <0.001 | ||||||
| Sedentary | 28,693 (33.75) | 262 (26.82) | 22,978 (34.06) | 2282 (29.35) | 28,273 (33.72) | 315 (28.20) | |||
| Mild | 37,761 (44.42) | 420 (42.99) | 30156 (44.70) | 3433 (44.15) | 37,299 (44.48) | 482 (43.15) | |||
| HEPA (Health-Enhancing Physical Activity) | 18,560 (21.83) | 295 (30.19) | 14329 (21.24) | 2060 (26.50) | 18,276 (21.80) | 320 (28.65) | |||
| Health Conditions | |||||||||
| Hypertension (n, %) | 24,264 (28.50) | 608 (61.66) | <0.001 | 17,284 (25.59) | 3550 (45.48) | <0.001 | 23,703 (28.23) | 673 (59.77) | <0.001 |
| Diabetes Mellitus (n, %) | 9659 (11.34) | 313 (31.71) | <0.001 | 6685 (9.89) | 1597 (20.44) | <0.001 | 9432 (11.23) | 323 (28.66) | <0.001 |
| Dyslipidemia (n, %) | 51,112 (60.02) | 638 (64.64) | 0.004 | 39,427 (58.35) | 4780 (61.18) | <0.001 | 50,337 (59.93) | 673 (59.72) | 0.910 |
| Outcome Variable | Predictor Variable | Crude | Model 1 * | Model 2 † | Model 3 ‡ |
|---|---|---|---|---|---|
| Beta (95% CI), p-Value | Beta (95% CI), p-Value | Beta (95% CI), p-Value | Beta (95% CI), p-Value | ||
| Common Carotid Artery | HTN | 0.11 (0.10–0.11), <0.001 | 0.04 (0.04–0.04), <0.001 | 0.03 (0.02–0.04), <0.001 | 0.03 (0.02–0.04), <0.001 |
| DM | 0.12 (0.11–0.12), <0.001 | 0.04 (0.04–0.05), <0.001 | 0.04 (0.02–0.05), <0.001 | 0.03 (0.02–0.05), <0.001 | |
| Dyslipidemia | 0.03 (0.03–0.03), <0.001 | 0.02 (0.02–0.02), <0.001 | 0.01 (0.00–0.02), 0.007 | 0.01 (0.00–0.02), 0.004 | |
| Carotid Bulb | HTN | 0.18 (0.18–0.19), <0.001 | 0.05 (0.05–0.06), <0.001 | 0.05 (0.03–0.07), <0.001 | 0.05 (0.03–0.07), <0.001 |
| DM | 0.19 (0.18–0.20), <0.001 | 0.04 (0.03–0.05), <0.001 | 0.03 (0.01–0.06), 0.014 | 0.03 (0.01–0.06), 0.014 | |
| Dyslipidemia | 0.03 (0.02–0.04), <0.001 | 0.01 (0.00–0.02), <0.001 | 0.02 (0.00–0.03), 0.029 | 0.02 (0.00–0.04), 0.013 | |
| Internal Carotid Artery | HTN | 0.10 (0.09–0.10), <0.001 | 0.03 (0.03–0.04), <0.001 | 0.03 (0.02–0.04), <0.001 | 0.03 (0.02–0.04), <0.001 |
| DM | 0.10 (0.10–0.11), <0.001 | 0.03 (0.03–0.04), <0.001 | 0.03 (0.02–0.04), <0.001 | 0.03 (0.02–0.04), <0.001 | |
| Dyslipidemia | 0.03 (0.02–0.03), <0.001 | 0.02 (0.01–0.02), <0.001 | 0.01 (0.00–0.02), 0.002 | 0.01 (0.01–0.02), <0.001 |
| Outcome Variable | Predictor Variable | Crude | Model 1 * | Model 2 † | Model 3 ‡ |
|---|---|---|---|---|---|
| Odds Ratio (95% CI), p-Value | Odds Ratio (95% CI), p-Value | Odds Ratio (95% CI), p-Value | Odds Ratio (95% CI), p-Value | ||
| Common Carotid Artery | HTN | 4.04 (3.55–4.59), <0.001 | 2.07 (1.81–2.37), <0.001 | 1.60 (1.11–2.30), 0.012 | 1.60 (1.11–2.31), 0.011 |
| DM | 3.63 (3.17–4.16), <0.001 | 1.81 (1.57–2.09), <0.001 | 2.13 (1.48–3.08), <0.001 | 2.13 (1.48–3.07), <0.001 | |
| Dyslipidemia | 1.22 (1.07–1.39), 0.003 | 1.79 (1.56–2.06), <0.001 | 1.59 (1.11–2.27), 0.011 | 1.59 (1.12–2.28), 0.011 | |
| Carotid Bulb | HTN | 2.43 (2.31–2.54), <0.001 | 1.39 (1.32–1.46), <0.001 | 1.38 (1.19–1.61), <0.001 | 1.38 (1.19–1.61), <0.001 |
| DM | 2.34 (2.20–2.49), <0.001 | 1.28 (1.19–1.36), <0.001 | 1.26 (1.05–1.51), 0.014 | 1.27 (1.05–1.52), 0.012 | |
| Dyslipidemia | 1.12 (1.07–1.18), <0.001 | 1.27 (1.20–1.34), <0.001 | 1.24 (1.07–1.43), 0.004 | 1.25 (1.08–1.44), 0.003 | |
| Internal Carotid Artery | HTN | 3.78 (3.35–4.26), <0.001 | 1.82 (1.60–2.06), <0.001 | 1.67 (1.19–2.34), 0.003 | 1.64 (1.17–2.31), 0.004 |
| DM | 3.18 (2.79–3.62), <0.001 | 1.47 (1.28–1.69), <0.001 | 1.72 (1.21–2.44), 0.002 | 1.78 (1.25–2.52), 0.001 | |
| Dyslipidemia | 0.99 (0.88–1.12), 0.886 | 1.51 (1.32–1.72), <0.001 | 1.39 (1.00–1.93), 0.051 | 1.42 (1.02–1.98), 0.038 |
| Age Group (Years) | n | CCA | Bulb | ICA | |||
|---|---|---|---|---|---|---|---|
| Mean (SD) | Median (IQR) | Mean (SD) | Median (IQR) | Mean (SD) | Median (IQR) | ||
| 20–24 | 79 | 0.48 (0.06) | 0.47 (0.07) | 0.53 (0.08) | 0.53 (0.1) | 0.46 (0.06) | 0.47 (0.09) |
| 25–29 | 666 | 0.50 (0.07) | 0.49 (0.09) | 0.59 (0.15) | 0.56 (0.12) | 0.48 (0.07) | 0.48 (0.09) |
| 30–34 | 2191 | 0.52 (0.07) | 0.50 (0.08) | 0.64 (0.19) | 0.60 (0.14) | 0.50 (0.08) | 0.49 (0.09) |
| 35–39 | 3079 | 0.55 (0.09) | 0.53 (0.10) | 0.74 (0.28) | 0.66 (0.20) | 0.54 (0.11) | 0.52 (0.11) |
| 40–44 | 3370 | 0.57 (0.11) | 0.55 (0.11) | 0.80 (0.31) | 0.70 (0.25) | 0.56 (0.13) | 0.54 (0.12) |
| 45–49 | 2048 | 0.62 (0.14) | 0.59 (0.12) | 0.92 (0.39) | 0.76 (0.44) | 0.60 (0.14) | 0.57 (0.12) |
| 50–54 | 1274 | 0.67 (0.18) | 0.62 (0.17) | 1.03 (0.45) | 0.88 (0.55) | 0.65 (0.20) | 0.60 (0.16) |
| 55–59 | 644 | 0.77 (0.28) | 0.68 (0.24) | 1.18 (0.50) | 1.07 (0.68) | 0.75 (0.31) | 0.66 (0.25) |
| 60–64 | 400 | 0.83 (0.27) | 0.74 (0.30) | 1.33 (0.57) | 1.23 (0.74) | 0.81 (0.34) | 0.70 (0.28) |
| 65–69 | 230 | 0.91 (0.26) | 0.86 (0.36) | 1.40 (0.54) | 1.32 (0.66) | 0.92 (0.42) | 0.81 (0.42) |
| 70–74 | 130 | 0.96 (0.30) | 0.88 (0.35) | 1.47 (0.61) | 1.34 (0.80) | 0.92 (0.35) | 0.82 (0.37) |
| 75–79 | 52 | 1.13 (0.53) | 1.04 (0.44) | 1.74 (0.80) | 1.60 (1.03) | 1.11 (0.65) | 0.88 (0.65) |
| 80–84 | 8 | 0.95 (0.18) | 0.92 (0.35) | 1.40 (0.47) | 1.36 (0.69) | 1.09 (0.58) | 0.86 (0.35) |
| Age Group (Years) | n | CCA | Bulb | ICA | |||
|---|---|---|---|---|---|---|---|
| Mean (SD) | Median (IQR) | Mean (SD) | Median (IQR) | Mean (SD) | Median (IQR) | ||
| 20–24 | 33 | 0.43 (0.05) | 0.43 (0.07) | 0.51 (0.10) | 0.49 (0.15) | 0.42 (0.06) | 0.43 (0.07) |
| 25–29 | 415 | 0.47 (0.05) | 0.47 (0.07) | 0.54 (0.10) | 0.53 (0.10) | 0.45 (0.06) | 0.44 (0.07) |
| 30–34 | 1303 | 0.49 (0.05) | 0.48 (0.07) | 0.58 (0.14) | 0.56 (0.12) | 0.47 (0.07) | 0.46 (0.08) |
| 35–39 | 1940 | 0.52 (0.08) | 0.51 (0.08) | 0.66 (0.21) | 0.60 (0.15) | 0.50 (0.10) | 0.49 (0.10) |
| 40–44 | 2615 | 0.55 (0.08) | 0.53 (0.09) | 0.71 (0.25) | 0.64 (0.19) | 0.52 (0.10) | 0.50 (0.10) |
| 45–49 | 1817 | 0.59 (0.10) | 0.57 (0.10) | 0.81 (0.30) | 0.71 (0.29) | 0.56 (0.12) | 0.54 (0.13) |
| 50–54 | 914 | 0.63 (0.12) | 0.61 (0.13) | 0.93 (0.36) | 0.82 (0.49) | 0.60 (0.15) | 0.57 (0.15) |
| 55–59 | 594 | 0.70 (0.19) | 0.65 (0.16) | 1.05 (0.40) | 0.95 (0.59) | 0.64 (0.17) | 0.59 (0.18) |
| 60–64 | 529 | 0.73 (0.18) | 0.68 (0.16) | 1.13 (0.45) | 1.04 (0.58) | 0.67 (0.19) | 0.61 (0.18) |
| 65–69 | 330 | 0.82 (0.26) | 0.73 (0.24) | 1.23 (0.48) | 1.16 (0.74) | 0.73 (0.26) | 0.65 (0.23) |
| 70–74 | 117 | 0.85 (0.24) | 0.76 (0.29) | 1.17 (0.46) | 1.10 (0.50) | 0.75 (0.23) | 0.68 (0.23) |
| 75–79 | 35 | 0.91 (0.20) | 0.92 (0.29) | 1.58 (0.60) | 1.44 (0.83) | 0.78 (0.15) | 0.76 (0.21) |
| 80–84 | 5 | 0.94 (0.25) | 0.96 (0.29) | 1.42 (0.79) | 1.37 (1.07) | 0.72 (0.21) | 0.62 (0.24) |
Disclaimer/Publisher’s Note: The statements, opinions and data contained in all publications are solely those of the individual author(s) and contributor(s) and not of MDPI and/or the editor(s). MDPI and/or the editor(s) disclaim responsibility for any injury to people or property resulting from any ideas, methods, instructions or products referred to in the content. |
© 2025 by the authors. Licensee MDPI, Basel, Switzerland. This article is an open access article distributed under the terms and conditions of the Creative Commons Attribution (CC BY) license (https://creativecommons.org/licenses/by/4.0/).
Share and Cite
Choi, H.-I.; Kim, Y.T.; Kang, J.G.; Kim, Y.; Lee, J.-Y.; Sung, K.-C. Segment-Specific Analysis of Carotid Intima-Media Thickness and Its Association with Cardiovascular Risk Factors in a Large Healthy Cohort. J. Clin. Med. 2025, 14, 1918. https://doi.org/10.3390/jcm14061918
Choi H-I, Kim YT, Kang JG, Kim Y, Lee J-Y, Sung K-C. Segment-Specific Analysis of Carotid Intima-Media Thickness and Its Association with Cardiovascular Risk Factors in a Large Healthy Cohort. Journal of Clinical Medicine. 2025; 14(6):1918. https://doi.org/10.3390/jcm14061918
Chicago/Turabian StyleChoi, Hyo-In, Yun Tae Kim, Jeong Gyu Kang, Yuna Kim, Jong-Young Lee, and Ki-Chul Sung. 2025. "Segment-Specific Analysis of Carotid Intima-Media Thickness and Its Association with Cardiovascular Risk Factors in a Large Healthy Cohort" Journal of Clinical Medicine 14, no. 6: 1918. https://doi.org/10.3390/jcm14061918
APA StyleChoi, H.-I., Kim, Y. T., Kang, J. G., Kim, Y., Lee, J.-Y., & Sung, K.-C. (2025). Segment-Specific Analysis of Carotid Intima-Media Thickness and Its Association with Cardiovascular Risk Factors in a Large Healthy Cohort. Journal of Clinical Medicine, 14(6), 1918. https://doi.org/10.3390/jcm14061918

