Development of a Clinical and Laboratory-Based Predictive Nomogram Model for Unfavorable Functional Outcomes Among Patients Who Undergo Interventions for Aneurysmal Subarachnoid Hemorrhage
Abstract
1. Introduction
2. Materials and Methods
2.1. Ethics Approval
2.2. Patients
2.3. Data Collection
2.4. Outcome Assessment
2.5. Development and Validation of the Predictive Model
2.6. Statistical Analysis
3. Results
3.1. Study Population
3.2. Comparison of Baseline Characteristics and Laboratory Indicators in the Derivation Cohort
3.3. Prognostic Laboratory Indicators of Unfavorable Outcomes
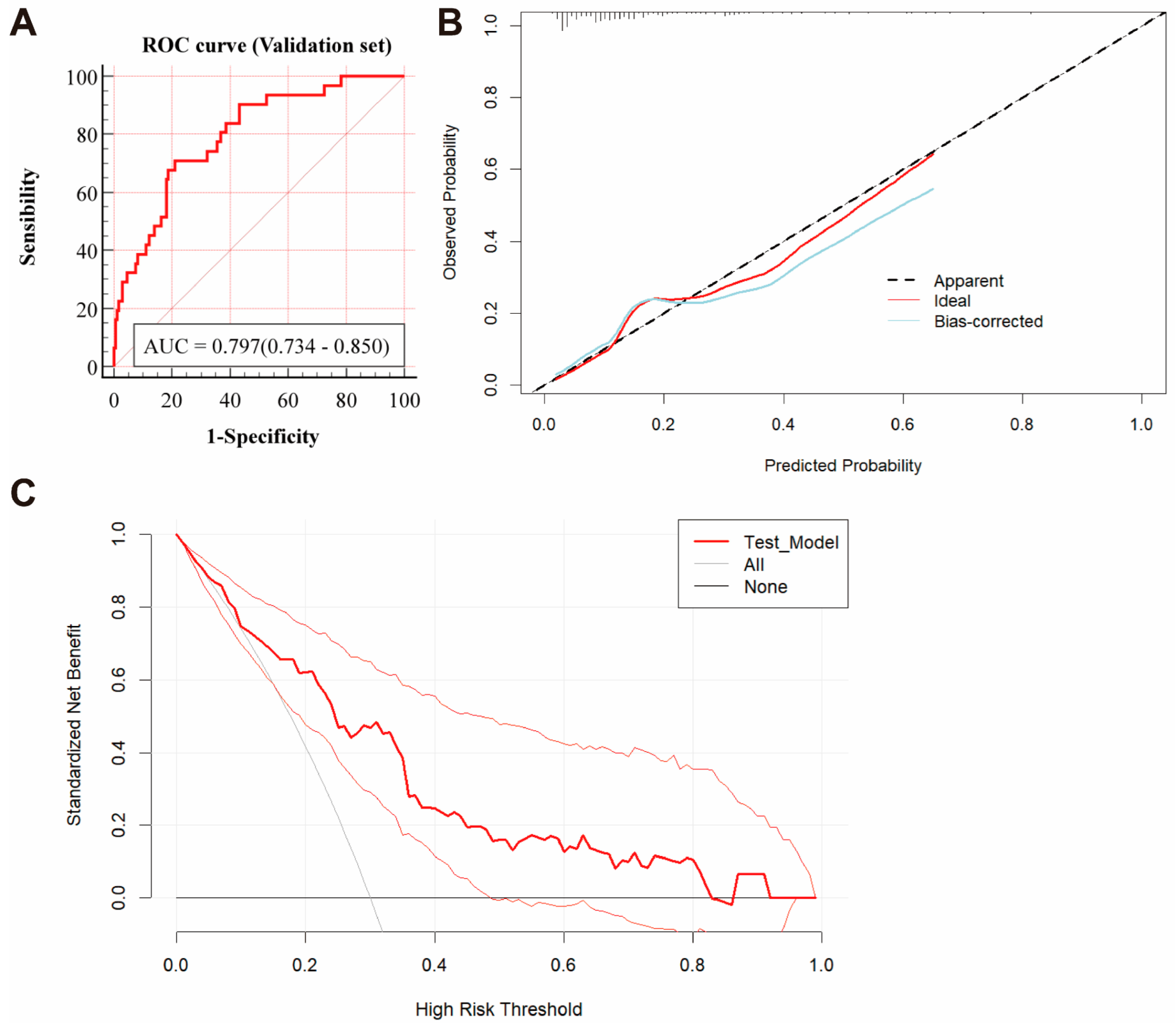
3.4. Nomogram Construction and Validation
4. Discussion
4.1. Clinical Parameters Are Risk Factors for Unfavorable Outcomes
4.2. Perioperative Changes in Laboratory Indicators Are Risk Factors for Unfavorable Outcomes
4.3. The Nomogram Model to Predict Poor Functional Outcomes
4.4. Limitations
5. Conclusions
Supplementary Materials
Author Contributions
Funding
Institutional Review Board Statement
Informed Consent Statement
Data Availability Statement
Conflicts of Interest
Correction Statement
References
- Claassen, J.; Park, S. Spontaneous subarachnoid haemorrhage. Lancet 2022, 400, 846–862. [Google Scholar] [CrossRef]
- van Donkelaar, C.E.; Bakker, N.A.; Birks, J.; Veeger, N.; Metzemaekers, J.D.M.; Molyneux, A.J.; Groen, R.J.M.; van Dijk, J.M.C. Prediction of Outcome After Aneurysmal Subarachnoid Hemorrhage. Stroke 2019, 50, 837–844. [Google Scholar] [CrossRef] [PubMed]
- Macdonald, R.L. Delayed neurological deterioration after subarachnoid haemorrhage. Nat. Rev. Neurol. 2014, 10, 44–58. [Google Scholar] [CrossRef]
- Molyneux, A.; Kerr, R.; Stratton, I.; Sandercock, P.; Clarke, M.; Shrimpton, J.; Holman, R. International Subarachnoid Aneurysm Trial (ISAT) of neurosurgical clipping versus endovascular coiling in 2143 patients with ruptured intracranial aneurysms: A randomised trial. Lancet 2002, 360, 1267–1274. [Google Scholar] [CrossRef]
- van Lieshout, J.H.; Dibué-Adjei, M.; Cornelius, J.F.; Slotty, P.J.; Schneider, T.; Restin, T.; Boogaarts, H.D.; Steiger, H.J.; Petridis, A.K.; Kamp, M.A. An introduction to the pathophysiology of aneurysmal subarachnoid hemorrhage. Neurosurg. Rev. 2018, 41, 917–930. [Google Scholar] [CrossRef]
- Rosen, D.S.; Macdonald, R.L. Subarachnoid hemorrhage grading scales: A systematic review. Neurocritical Care 2005, 2, 110–118. [Google Scholar] [CrossRef] [PubMed]
- Bales, J.; Cho, S.; Tran, T.K.; Korab, G.A.; Khandelwal, N.; Spiekerman, C.F.; Joffe, A.M. The Effect of Hyponatremia and Sodium Variability on Outcomes in Adults with Aneurysmal Subarachnoid Hemorrhage. World Neurosurg. 2016, 96, 340–349. [Google Scholar] [CrossRef]
- Juvela, S.; Siironen, J.; Kuhmonen, J. Hyperglycemia, excess weight, and history of hypertension as risk factors for poor outcome and cerebral infarction after aneurysmal subarachnoid hemorrhage. J. Neurosurg. 2005, 102, 998–1003. [Google Scholar] [CrossRef] [PubMed]
- Labib, H.; Tjerkstra, M.A.; Coert, B.A.; Post, R.; Vandertop, W.P.; Verbaan, D.; Müller, M.C.A. Sodium and Its Impact on Outcome After Aneurysmal Subarachnoid Hemorrhage in Patients With and Without Delayed Cerebral Ischemia. Crit. Care Med. 2024, 52, 752–763. [Google Scholar] [CrossRef] [PubMed]
- Li, R.; Zhao, Y.; Chen, X.; Hao, Q. Predictive Values of White Blood Cell Count in Peripheral Blood at Admission on In-Hospital Complications and 90-Day Outcomes of Patients with Aneurysmal Subarachnoid Hemorrhage: Insights from the LongTEAM Registry. J. Inflamm. Res. 2022, 15, 6481–6494. [Google Scholar] [CrossRef]
- Nie, Z.; Lin, F.; Li, R.; Chen, X.; Zhao, Y. A Pooled Analysis of Preoperative Inflammatory Biomarkers to Predict 90-Day Outcomes in Patients with an Aneurysmal Subarachnoid Hemorrhage: A Single-Center Retrospective Study. Brain Sci. 2023, 13, 257. [Google Scholar] [CrossRef]
- van Donkelaar, C.E.; Dijkland, S.A.; van den Bergh, W.M.; Bakker, J.; Dippel, D.W.; Nijsten, M.W.; van der Jagt, M. Early Circulating Lactate and Glucose Levels After Aneurysmal Subarachnoid Hemorrhage Correlate With Poor Outcome and Delayed Cerebral Ischemia: A Two-Center Cohort Study. Crit. Care Med. 2016, 44, 966–972. [Google Scholar] [CrossRef] [PubMed]
- Luo, Y.; Zhao, J. The dynamic changes of peripheral blood cell counts predict the clinical outcomes of aneurysmal subarachnoid hemorrhage. Heliyon 2024, 10, e29763. [Google Scholar] [CrossRef]
- McGirt, M.J.; Woodworth, G.F.; Ali, M.; Than, K.D.; Tamargo, R.J.; Clatterbuck, R.E. Persistent perioperative hyperglycemia as an independent predictor of poor outcome after aneurysmal subarachnoid hemorrhage. J. Neurosurg. 2007, 107, 1080–1085. [Google Scholar] [CrossRef]
- Frontera, J.A.; Claassen, J.; Schmidt, J.M.; Wartenberg, K.E.; Temes, R.; Connolly, E.S., Jr.; MacDonald, R.L.; Mayer, S.A. Prediction of symptomatic vasospasm after subarachnoid hemorrhage: The modified fisher scale. Neurosurgery 2006, 59, 21–27. [Google Scholar] [CrossRef]
- Li, S.; Zhang, J.; Li, N.; Wang, D.; Zhao, X. Predictive nomogram models for unfavorable prognosis after aneurysmal subarachnoid hemorrhage: Analysis from a prospective, observational cohort in China. CNS Neurosci. Ther. 2023, 29, 3567–3578. [Google Scholar] [CrossRef] [PubMed]
- Jaja, B.N.R.; Saposnik, G.; Lingsma, H.F.; Macdonald, E.; Thorpe, K.E.; Mamdani, M.; Steyerberg, E.W.; Molyneux, A.; Manoel, A.L.O.; Schatlo, B.; et al. Development and validation of outcome prediction models for aneurysmal subarachnoid haemorrhage: The SAHIT multinational cohort study. BMJ 2018, 360, j5745. [Google Scholar] [CrossRef] [PubMed]
- Duan, W.; Pan, Y.; Wang, C.; Wang, Y.; Zhao, X.; Wang, Y.; Liu, L. Risk Factors and Clinical Impact of Delayed Cerebral Ischemia after Aneurysmal Subarachnoid Hemorrhage: Analysis from the China National Stroke Registry. Neuroepidemiology 2018, 50, 128–136. [Google Scholar] [CrossRef] [PubMed]
- Dumont, T.; Rughani, A.; Silver, J.; Tranmer, B.I. Diabetes mellitus increases risk of vasospasm following aneurysmal subarachnoid hemorrhage independent of glycemic control. Neurocritical Care 2009, 11, 183–189. [Google Scholar] [CrossRef] [PubMed]
- Li, R.; Lin, F.; Chen, Y.; Lu, J.; Han, H.; Yan, D.; Li, R.; Yang, J.; Li, Z.; Zhang, H.; et al. In-hospital complication-related risk factors for discharge and 90-day outcomes in patients with aneurysmal subarachnoid hemorrhage after surgical clipping and endovascular coiling: A propensity score-matched analysis. J. Neurosurg. 2022, 137, 381–392. [Google Scholar] [CrossRef] [PubMed]
- Margraf, A.; Ludwig, N.; Zarbock, A.; Rossaint, J. Systemic Inflammatory Response Syndrome After Surgery: Mechanisms and Protection. Anesth. Analg. 2020, 131, 1693–1707. [Google Scholar] [CrossRef] [PubMed]
- Lin, F.; Lu, C.; Li, R.; Chen, Y.; Han, H.; Zhao, Y.; Chen, X.; Zhao, J. The association between hemoglobin concentration and clinical outcomes after aneurysmal subarachnoid hemorrhage: Insights from the LongTEAM registry. CNS Neurosci. Ther. 2024, 30, e14506. [Google Scholar] [CrossRef]
- Sharma, D. Perioperative Management of Aneurysmal Subarachnoid Hemorrhage. Anesthesiology 2020, 133, 1283–1305. [Google Scholar] [CrossRef] [PubMed]
- Sun, M.; Tong, X.; Xue, X.; Wang, K.; Jiang, P.; Liu, A. Association of inflammatory trajectory with subarachnoid hemorrhage mortality. Neurosurg. Rev. 2024, 47, 256. [Google Scholar] [CrossRef] [PubMed]
- Tan, G.; Hao, Z.; Lei, C.; Chen, Y.; Yuan, R.; Xu, M.; Liu, M. Subclinical change of liver function could also provide a clue on prognosis for patients with spontaneous intracerebral hemorrhage. Neurol. Sci. Off. J. Ital. Neurol. Soc. Ital. Soc. Clin. Neurophysiol. 2016, 37, 1693–1700. [Google Scholar] [CrossRef]
- Zheng, J.; Xu, R.; Guo, Z.; Sun, X. Alanine Aminotransferase Predicts Outcomes in Elderly Patients with Aneurysmal Subarachnoid Hemorrhage. Curr. Neurovascular Res. 2019, 16, 89–95. [Google Scholar] [CrossRef] [PubMed]
- Qureshi, A.I.; Suri, M.F.; Sung, G.Y.; Straw, R.N.; Yahia, A.M.; Saad, M.; Guterman, L.R.; Hopkins, L.N. Prognostic significance of hypernatremia and hyponatremia among patients with aneurysmal subarachnoid hemorrhage. Neurosurgery 2002, 50, 749–756. [Google Scholar] [CrossRef]
- Eagles, M.E.; Tso, M.K.; Macdonald, R.L. Significance of fluctuations in serum sodium levels following aneurysmal subarachnoid hemorrhage: An exploratory analysis. J. Neurosurg. 2019, 131, 420–425. [Google Scholar] [CrossRef] [PubMed]
- Yang, Y.; Li, J.; Xiao, Z.; Yang, X.; Wang, L.; Duan, Y.; Zhao, K.; Liu, A. Relationship between stress hyperglycemia ratio and prognosis in patients with aneurysmal subarachnoid hemorrhage: A two-center retrospective study. Neurosurg. Rev. 2024, 47, 315. [Google Scholar] [CrossRef] [PubMed]
- Palermo, N.E.; Gianchandani, R.Y.; McDonnell, M.E.; Alexanian, S.M. Stress Hyperglycemia During Surgery and Anesthesia: Pathogenesis and Clinical Implications. Curr. Diabetes Rep. 2016, 16, 33. [Google Scholar] [CrossRef]
- Wei, X.; Zhou, Y.; Song, J.; Zhao, J.; Huang, T.; Zhang, M.; Zhao, Y. Hyperglycemia Aggravates Blood-Brain Barrier Disruption Following Diffuse Axonal Injury by Increasing the Levels of Inflammatory Mediators through the PPARγ/Caveolin-1/TLR4 Pathway. Inflammation 2023, 46, 129–145. [Google Scholar] [CrossRef]
- Huang, Y.H.; Chung, C.L.; Tsai, H.P.; Wu, S.C.; Chang, C.Z.; Chai, C.Y.; Lee, T.C.; Kwan, A.L. Hyperglycemia Aggravates Cerebral Vasospasm after Subarachnoid Hemorrhage in a Rat Model. Neurosurgery 2017, 80, 809–815. [Google Scholar] [CrossRef] [PubMed]
- Huang, Y.H.; Chung, C.L.; Tsai, H.P.; Tzou, R.D.; Wu, S.C.; Chai, C.Y.; Lee, T.C.; Kwan, A.L. Impact of hyperglycemia on neuronal apoptosis after subarachnoid hemorrhage in rodent brain: An experimental research. Int. J. Surg. 2020, 83, 246–252. [Google Scholar] [CrossRef] [PubMed]
- Geraghty, J.R.; Lung, T.J.; Hirsch, Y.; Katz, E.A.; Cheng, T.; Saini, N.S.; Pandey, D.K.; Testai, F.D. Systemic Immune-Inflammation Index Predicts Delayed Cerebral Vasospasm After Aneurysmal Subarachnoid Hemorrhage. Neurosurgery 2021, 89, 1071–1079. [Google Scholar] [CrossRef] [PubMed]
- Li, X.; Chen, G. CNS-peripheral immune interactions in hemorrhagic stroke. J. Cereb. Blood Flow Metab. Off. J. Int. Soc. Cereb. Blood Flow Metab. 2023, 43, 185–197. [Google Scholar] [CrossRef] [PubMed]
- Zhu, W.; Li, W.; Tian, Z.; Zhang, M.; Zhang, Y.; Wang, K.; Zhang, Y.; Yang, X.; Liu, J. Nomogram for Stability Stratification of Small Intracranial Aneurysm Based on Clinical and Morphological Risk Factors. Front. Neurol. 2020, 11, 598740. [Google Scholar] [CrossRef] [PubMed]





| Variables | Good Functional Outcome (n = 603) | Poor Functional Outcome (n = 101) | p |
|---|---|---|---|
| Age (years) | 55.05 ± 11.64 | 58.11 ± 11.99 | 0.015 |
| Female sex | 355 (58.87) | 67 (66.34) | 0.157 |
| Smoking | 148 (24.54) | 24 (23.76) | 0.866 |
| Alcohol | 116 (19.24) | 17 (16.83) | 0.568 |
| Hypertention | 341 (56.55) | 68 (67.33) | 0.042 |
| Hyperlipidemia | 57 (9.45) | 11 (10.89) | 0.651 |
| Diabetes mellitus | 63 (10.45) | 18 (17.82) | 0.032 |
| WFNS grade 3–5 | 69 (11.44) | 55 (54.46) | <0.001 |
| Location | 0.527 | ||
| Anterior cerebral artery | 199 (33.00) | 26 (25.74) | |
| Internal carotid artery | 201 (33.33) | 38 (37.62) | |
| Middle cerebral artery | 104 (17.25) | 20 (19.80) | |
| Posterior circulation | 99 (16.42) | 17 (16.83) | |
| Modified Fisher grade 3–4 | 456 (75.62) | 101 (100.00) | <0.001 |
| Treatment modalities | 0.008 | ||
| Coiling | 295 (48.92) | 35 (34.65) | |
| Clipping | 308 (51.08) | 66 (65.35) |
| Variables | Good Functional Outcome (n = 603) | Poor Functional Outcome (n = 101) | p |
|---|---|---|---|
| D-dimer | 1.92 (1.14, 3.21) | 1.79 (1.04, 3.57) | 0.818 |
| FDP | 1.12 (0.98, 1.34) | 1.20 (1.05, 1.42) | 0.010 |
| ALT | 0.81 (0.71, 0.97) | 0.90 (0.75, 1.16) | 0.002 |
| AST | 0.83 (0.68, 1.11) | 1.01 (0.72, 1.26) | 0.009 |
| Sodium | 1.01 (0.99, 1.04) | 1.03 (1.02, 1.08) | <0.001 |
| Potassium | 0.96 (0.89, 1.05) | 1.00 (0.93, 1.07) | 0.016 |
| eGFR | 1.02 (0.97, 1.06) | 0.99 (0.94, 1.03) | <0.001 |
| Glucose | 0.83 (0.71, 1.01) | 0.91 (0.71, 1.14) | 0.091 |
| WBC | 0.93 (0.74, 1.15) | 1.00 (0.84, 1.24) | 0.011 |
| NLR | 0.76 (0.47, 1.35) | 0.98 (0.58, 1.66) | 0.012 |
| RBC | 0.93 (0.88, 0.99) | 0.93 (0.87, 0.99) | 0.539 |
| HGB | 0.93 (0.88, 0.99) | 0.92 (0.86, 0.99) | 0.537 |
| PLT | 0.92 (0.82, 1.01) | 0.90 (0.79, 1.01) | 0.241 |
| Variables | β | OR (95% CI) | p |
|---|---|---|---|
| Diabetes mellitus | 1.04 | 2.84 (1.44–5.59) | 0.002 |
| WFNS grade 3–5 | 2.22 | 9.17 (5.49–15.33) | <0.001 |
| Treatment modalities | |||
| Coiling | 1.00 (Reference) | ||
| Clipping | 0.54 | 1.71 (1.03–2.85) | 0.037 |
| ALT | 0.34 | 1.41 (1.04–1.91) | 0.028 |
| Sodium † | 16.87 | 5.40 (3.01–9.71) | <0.001 |
| Glucose | 0.78 | 2.18 (1.05–4.53) | 0.037 |
| WBC | 0.77 | 2.15 (1.17–3.96) | 0.014 |
Disclaimer/Publisher’s Note: The statements, opinions and data contained in all publications are solely those of the individual author(s) and contributor(s) and not of MDPI and/or the editor(s). MDPI and/or the editor(s) disclaim responsibility for any injury to people or property resulting from any ideas, methods, instructions or products referred to in the content. |
© 2025 by the authors. Licensee MDPI, Basel, Switzerland. This article is an open access article distributed under the terms and conditions of the Creative Commons Attribution (CC BY) license (https://creativecommons.org/licenses/by/4.0/).
Share and Cite
Wang, Z.; Liu, T.; An, Y.; Xu, A.; An, K.; Zhang, Y.; Liu, J.; Wang, K.; Li, W.; Li, G.; et al. Development of a Clinical and Laboratory-Based Predictive Nomogram Model for Unfavorable Functional Outcomes Among Patients Who Undergo Interventions for Aneurysmal Subarachnoid Hemorrhage. J. Clin. Med. 2025, 14, 1443. https://doi.org/10.3390/jcm14051443
Wang Z, Liu T, An Y, Xu A, An K, Zhang Y, Liu J, Wang K, Li W, Li G, et al. Development of a Clinical and Laboratory-Based Predictive Nomogram Model for Unfavorable Functional Outcomes Among Patients Who Undergo Interventions for Aneurysmal Subarachnoid Hemorrhage. Journal of Clinical Medicine. 2025; 14(5):1443. https://doi.org/10.3390/jcm14051443
Chicago/Turabian StyleWang, Zhongxiao, Ting Liu, Yue An, An Xu, Kangxu An, Ying Zhang, Jian Liu, Kun Wang, Wenqiang Li, Guangshuo Li, and et al. 2025. "Development of a Clinical and Laboratory-Based Predictive Nomogram Model for Unfavorable Functional Outcomes Among Patients Who Undergo Interventions for Aneurysmal Subarachnoid Hemorrhage" Journal of Clinical Medicine 14, no. 5: 1443. https://doi.org/10.3390/jcm14051443
APA StyleWang, Z., Liu, T., An, Y., Xu, A., An, K., Zhang, Y., Liu, J., Wang, K., Li, W., Li, G., Zhao, X., Si, W., Zhang, Y., & Yang, X. (2025). Development of a Clinical and Laboratory-Based Predictive Nomogram Model for Unfavorable Functional Outcomes Among Patients Who Undergo Interventions for Aneurysmal Subarachnoid Hemorrhage. Journal of Clinical Medicine, 14(5), 1443. https://doi.org/10.3390/jcm14051443

