The BG Study Part 1 (Bergisch Gladbach): Development of a Prototype Coronary Artery Disease Risk Score Incorporating Peripheral Vascular Parameters—Preliminary Insights for Future CAD Risk Prediction Models in Vascular Patients
Abstract
1. Introduction
2. Methods
3. Results
4. Discussion
5. Conclusions
Supplementary Materials
Author Contributions
Funding
Institutional Review Board Statement
Informed Consent Statement
Data Availability Statement
Conflicts of Interest
References
- Zhou, L.Y.; Yin, W.J.; Wang, J.L.; Hu, C.; Liu, K.; Wen, J.; Peng, L.P.; Zuo, X.C. A Novel Laboratory-Based Model to Predict the Presence of Obstructive Coronary Artery Disease. Int. Heart J. 2020, 61, 437–446. [Google Scholar] [CrossRef]
- Diamond, G.A.; Forrester, J.S. Analysis of probability as an aid in the clinical diagnosis of coronary-artery disease. N. Engl. J. Med. 1979, 300, 1350–1358. [Google Scholar] [CrossRef]
- Lu, Y.; Ballew, S.H.; Tanaka, H.; Szklo, M.; Heiss, G.; Coresh, J.; Matsushita, K. 2017 ACC/AHA blood pressure classification and incident peripheral artery disease: The Atherosclerosis Risk in Communities (ARIC) Study. Eur. J. Prev. Cardiol. 2020, 27, 51–59. [Google Scholar] [CrossRef] [PubMed]
- Whelton, P.K.; Carey, R.M.; Aronow, W.S.; Casey, D.E., Jr.; Collins, K.J.; Dennison Himmelfarb, C.; DePalma, S.M.; Gidding, S.; Jamerson, K.A.; Jones, D.W.; et al. 2017 ACC/AHA/AAPA/ABC/ACPM/AGS/APhA/ASH/ASPC/NMA/PCNA Guideline for the Prevention, Detection, Evaluation, and Management of High Blood Pressure in Adults: Executive Summary: A Report of the American College of Cardiology/American Heart Association Task Force on Clinical Practice Guidelines. Circulation 2018, 138, e426–e483. [Google Scholar] [CrossRef] [PubMed]
- Serra, R.; Bracale, U.M.; Ielapi, N.; Del Guercio, L.; Di Taranto, M.D.; Sodo, M.; Michael, A.; Faga, T.; Bevacqua, E.; Jiritano, F.; et al. The Impact of Chronic Kidney Disease on Peripheral Artery Disease and Peripheral Revascularization. Int. J. Gen. Med. 2021, 14, 3749–3759. [Google Scholar] [CrossRef] [PubMed]
- Fowkes, F.G.; Rudan, D.; Rudan, I.; Aboyans, V.; Denenberg, J.O.; McDermott, M.M.; Norman, P.E.; Sampson, U.K.; Williams, L.J.; Mensah, G.A.; et al. Comparison of global estimates of prevalence and risk factors for peripheral artery disease in 2000 and 2010: A systematic review and analysis. Lancet 2013, 382, 1329–1340. [Google Scholar] [CrossRef]
- Aday, A.W.; Matsushita, K. Epidemiology of Peripheral Artery Disease and Polyvascular Disease. Circ. Res. 2021, 128, 1818–1832. [Google Scholar] [CrossRef] [PubMed]
- Su, D.; Neifert, A.R.; Sumpio, B.E. Coronary Artery Disease (CAD) is the Dominant Manifestation of Patients with Atherosclerotic Cardiovascular Disease (ASCVD). J. Vasc. Surg. 2024, 79, e294. [Google Scholar] [CrossRef]
- Garg, P.K.; Bhatia, H.S.; Allen, T.S.; Grainger, T.; Pouncey, A.L.; Dichek, D.; Virmani, R.; Golledge, J.; Allison, M.A.; Powell, J.T. Assessment of Subclinical Atherosclerosis in Asymptomatic People In Vivo: Measurements Suitable for Biomarker and Mendelian Randomization Studies. Arterioscler. Thromb. Vasc. Biol. 2024, 44, 24–47. [Google Scholar] [CrossRef]
- Schaper, W. Collateral circulation: Past and present. Basic Res. Cardiol. 2009, 104, 5–21. [Google Scholar] [CrossRef] [PubMed]
- Leeper, N.J.; Kullo, I.J.; Cooke, J.P. Genetics of peripheral artery disease. Circulation 2012, 125, 3220–3228. [Google Scholar] [CrossRef]
- Mocci, G.; Sukhavasi, K.; Ord, T.; Bankier, S.; Singha, P.; Arasu, U.T.; Agbabiaje, O.O.; Makinen, P.; Ma, L.; Hodonsky, C.J.; et al. Single-Cell Gene-Regulatory Networks of Advanced Symptomatic Atherosclerosis. Circ. Res. 2024, 134, 1405–1423. [Google Scholar] [CrossRef]
- Baccarelli, A.; Rienstra, M.; Benjamin, E.J. Cardiovascular epigenetics: Basic concepts and results from animal and human studies. Circ. Cardiovasc. Genet. 2010, 3, 567–573. [Google Scholar] [CrossRef] [PubMed]
- Andreasen, C.H.; Andersen, G. Gene-environment interactions and obesity--further aspects of genomewide association studies. Nutrition 2009, 25, 998–1003. [Google Scholar] [CrossRef] [PubMed]
- Andreassi, M.G. Metabolic syndrome, diabetes and atherosclerosis: Influence of gene-environment interaction. Mutat. Res. 2009, 667, 35–43. [Google Scholar] [CrossRef] [PubMed]
- Allison, M.A.; Ho, E.; Denenberg, J.O.; Langer, R.D.; Newman, A.B.; Fabsitz, R.R.; Criqui, M.H. Ethnic-specific prevalence of peripheral arterial disease in the United States. Am. J. Prev. Med. 2007, 32, 328–333. [Google Scholar] [CrossRef] [PubMed]
- Selvin, E.; Erlinger, T.P. Prevalence of and risk factors for peripheral arterial disease in the United States: Results from the National Health and Nutrition Examination Survey, 1999–2000. Circulation 2004, 110, 738–743. [Google Scholar] [CrossRef]
- Hertzer, N.R. Clinical experience with preoperative coronary angiography. J. Vasc. Surg. 1985, 2, 510–514. [Google Scholar] [CrossRef] [PubMed][Green Version]
- Kownator, S.; Cambou, J.P.; Cacoub, P.; Leger, P.; Luizy, F.; Herrmann, M.A.; Priollet, P. Prevalence of unknown peripheral arterial disease in patients with coronary artery disease: Data in primary care from the IPSILON study. Arch. Cardiovasc. Dis. 2009, 102, 625–631. [Google Scholar] [CrossRef]
- Perlstein, T.S.; Creager, M.A. The ankle-brachial index as a biomarker of cardiovascular risk: It’s not just about the legs. Circulation 2009, 120, 2033–2035. [Google Scholar] [CrossRef] [PubMed]
- Diehm, C.; Allenberg, J.R.; Pittrow, D.; Mahn, M.; Tepohl, G.; Haberl, R.L.; Darius, H.; Burghaus, I.; Trampisch, H.J.; German Epidemiological Trial on Ankle Brachial Index Study Group. Mortality and vascular morbidity in older adults with asymptomatic versus symptomatic peripheral artery disease. Circulation 2009, 120, 2053–2061. [Google Scholar] [CrossRef] [PubMed]
- Ankle Brachial Index, C.; Fowkes, F.G.; Murray, G.D.; Butcher, I.; Heald, C.L.; Lee, R.J.; Chambless, L.E.; Folsom, A.R.; Hirsch, A.T.; Dramaix, M.; et al. Ankle brachial index combined with Framingham Risk Score to predict cardiovascular events and mortality: A meta-analysis. JAMA 2008, 300, 197–208. [Google Scholar] [CrossRef]
- Doobay, A.V.; Anand, S.S. Sensitivity and specificity of the ankle-brachial index to predict future cardiovascular outcomes: A systematic review. Arterioscler. Thromb. Vasc. Biol. 2005, 25, 1463–1469. [Google Scholar] [CrossRef]
- Hooi, J.D.; Kester, A.D.; Stoffers, H.E.; Rinkens, P.E.; Knottnerus, J.A.; van Ree, J.W. Asymptomatic peripheral arterial occlusive disease predicted cardiovascular morbidity and mortality in a 7-year follow-up study. J. Clin. Epidemiol. 2004, 57, 294–300. [Google Scholar] [CrossRef] [PubMed]
- Lee, J.Y.; Lee, S.J.; Lee, S.W.; Kim, T.O.; Yang, Y.; Jeong, Y.J.; Park, H.; Lee, J.; Hyun, J.; Kim, J.H.; et al. Long-Term (7-Year) Clinical Implications of Newly Unveiled Asymptomatic Abnormal Ankle-Brachial Index in Patients with Coronary Artery Disease. J. Am. Heart Assoc. 2021, 10, e021587. [Google Scholar] [CrossRef]
- Suzuki, T.; Zhu, X.; Adabag, S.; Matsushita, K.; Butler, K.R.; Griswold, M.E.; Alonso, A.; Rosamond, W.; Sotoodehnia, N.; Mosley, T.H. Ankle-Brachial Index and Risk of Sudden Cardiac Death in the Community: The ARIC Study. J. Am. Heart Assoc. 2024, 13, e032008. [Google Scholar] [CrossRef]
- Dorn, A.; Dorweiler, B.; Ahmad, W.; Mylonas, S.; Becker, I.; Majd, P. Low and High Ankle-Brachial Index Are Both Associated with Mortality in German Nursing Home Residents-The Five-Year Follow-Up of the “Allo-Study” Cohort. J. Clin. Med. 2023, 12, 4411. [Google Scholar] [CrossRef] [PubMed]
- Resnick, H.E.; Lindsay, R.S.; McDermott, M.M.; Devereux, R.B.; Jones, K.L.; Fabsitz, R.R.; Howard, B.V. Relationship of high and low ankle brachial index to all-cause and cardiovascular disease mortality: The Strong Heart Study. Circulation 2004, 109, 733–739. [Google Scholar] [CrossRef]
- Hageman, D.; van den Houten, M.M.L.; Pesser, N.; Gommans, L.N.M.; Scheltinga, M.R.M.; Teijink, J.A.W. Diagnostic accuracy of automated oscillometric determination of the ankle-brachial index in peripheral artery disease. J. Vasc. Surg. 2021, 73, 652–660. [Google Scholar] [CrossRef] [PubMed]
- Caceres-Farfan, L.; Moreno-Loaiza, M.; Cubas, W.S. Ankle-brachial index: More than a diagnostic test? Arch. Peru. Cardiol. Cir. Cardiovasc. 2021, 2, 254–262. [Google Scholar] [CrossRef]
- Colledanchise, K.N.; Mantella, L.E.; Hetu, M.F.; Liblik, K.; Abunassar, J.G.; Johri, A.M. Femoral plaque burden by ultrasound is a better indicator of significant coronary artery disease over ankle brachial index. Int. J. Cardiovasc. Imaging 2021, 37, 2965–2973. [Google Scholar] [CrossRef] [PubMed]
- Stone, K.; Veerasingam, D.; Meyer, M.L.; Heffernan, K.S.; Higgins, S.; Maria Bruno, R.; Bueno, C.A.; Doerr, M.; Schmidt-Trucksass, A.; Terentes-Printzios, D.; et al. Reimagining the Value of Brachial-Ankle Pulse Wave Velocity as a Biomarker of Cardiovascular Disease Risk-A Call to Action on Behalf of VascAgeNet. Hypertension 2023, 80, 1980–1992. [Google Scholar] [CrossRef] [PubMed]
- Gepner, A.D.; Colangelo, L.A.; Reilly, N.; Korcarz, C.E.; Kaufman, J.D.; Stein, J.H. Carotid Artery Longitudinal Displacement, Cardiovascular Disease and Risk Factors: The Multi-Ethnic Study of Atherosclerosis. PLoS ONE 2015, 10, e0142138. [Google Scholar] [CrossRef]
- Ferguson, G.G.; Eliasziw, M.; Barr, H.W.; Clagett, G.P.; Barnes, R.W.; Wallace, M.C.; Taylor, D.W.; Haynes, R.B.; Finan, J.W.; Hachinski, V.C.; et al. The North American Symptomatic Carotid Endarterectomy Trial: Surgical results in 1415 patients. Stroke 1999, 30, 1751–1758. [Google Scholar] [CrossRef]
- Tanimoto, S.; Ikari, Y.; Tanabe, K.; Yachi, S.; Nakajima, H.; Nakayama, T.; Hatori, M.; Nakazawa, G.; Onuma, Y.; Higashikuni, Y.; et al. Prevalence of carotid artery stenosis in patients with coronary artery disease in Japanese population. Stroke 2005, 36, 2094–2098. [Google Scholar] [CrossRef] [PubMed]
- Kokubo, Y.; Watanabe, M.; Higashiyama, A.; Nakao, Y.M.; Nakamura, F.; Miyamoto, Y. Impact of Intima-Media Thickness Progression in the Common Carotid Arteries on the Risk of Incident Cardiovascular Disease in the Suita Study. J. Am. Heart Assoc. 2018, 7, e007720. [Google Scholar] [CrossRef] [PubMed]
- Mehta, A.; Rigdon, J.; Tattersall, M.C.; German, C.A.; Barringer, T.A., 3rd; Joshi, P.H.; Sperling, L.S.; Budoff, M.J.; Bertoni, A.; Michos, E.D.; et al. Association of Carotid Artery Plaque With Cardiovascular Events and Incident Coronary Artery Calcium in Individuals with Absent Coronary Calcification: The MESA. Circ. Cardiovasc. Imaging 2021, 14, e011701. [Google Scholar] [CrossRef] [PubMed]
- Kallikazaros, I.; Tsioufis, C.; Sideris, S.; Stefanadis, C.; Toutouzas, P. Carotid artery disease as a marker for the presence of severe coronary artery disease in patients evaluated for chest pain. Stroke 1999, 30, 1002–1007. [Google Scholar] [CrossRef]
- Sugioka, K.; Hozumi, T.; Iwata, S.; Oe, H.; Okuyama, T.; Shirai, N.; Yamashita, H.; Ehara, S.; Kataoka, T.; Yoshikawa, J.; et al. Morphological but not functional changes of the carotid artery are associated with the extent of coronary artery disease in patients with preserved left ventricular function. Stroke 2008, 39, 1597–1599. [Google Scholar] [CrossRef] [PubMed]
- Chen, W.H.; Ho, D.S.; Ho, S.L.; Cheung, R.T.; Cheng, S.W. Prevalence of extracranial carotid and vertebral artery disease in Chinese patients with coronary artery disease. Stroke 1998, 29, 631–634. [Google Scholar] [CrossRef]
- Calvet, D.; Touze, E.; Varenne, O.; Sablayrolles, J.L.; Weber, S.; Mas, J.L. Prevalence of asymptomatic coronary artery disease in ischemic stroke patients: The PRECORIS study. Circulation 2010, 121, 1623–1629. [Google Scholar] [CrossRef]
- Chen, P.C.; Lin, F.Y.; Huang, H.C.; Chiang, H.Y.; Chang, S.N.; Chen, P.S.; Guo, Y.C.; Liao, P.S.; Wei, Y.C.; Kuo, C.C. Diameter Reduction Determined Through Carotid Ultrasound Associated with Cardiovascular and All-Cause Mortality: A Single-Center Experience of 38 201 Consecutive Patients in Taiwan. J. Am. Heart Assoc. 2021, 10, e023689. [Google Scholar] [CrossRef] [PubMed]
- Bytyci, I.; Shenouda, R.; Wester, P.; Henein, M.Y. Carotid Atherosclerosis in Predicting Coronary Artery Disease: A Systematic Review and Meta-Analysis. Arterioscler. Thromb. Vasc. Biol. 2021, 41, e224–e237. [Google Scholar] [CrossRef]
- Salles Barbosa, H.; Tavares Contim, M.; Gomes Bastos, M. Ankle-brachial index and carotid ultrasound as surrogates for coronary artery disease diagnosis. J. Clin. Ultrasound 2024, 52, 1296–1303. [Google Scholar] [CrossRef] [PubMed]
- Ibanez, B.; Garcia-Lunar, I.; Fuster, V. The Intima-Media Thickness Age Is over: The Time of Multiterritorial Subclinical Plaque Quantification Has Come. J. Am. Coll. Cardiol. 2022, 79, 1983–1985. [Google Scholar] [CrossRef]
- Grubic, N.; Colledanchise, K.N.; Liblik, K.; Johri, A.M. The Role of Carotid and Femoral Plaque Burden in the Diagnosis of Coronary Artery Disease. Curr. Cardiol. Rep. 2020, 22, 121. [Google Scholar] [CrossRef]
- Colledanchise, K.N.; Mantella, L.E.; Bullen, M.; Hetu, M.F.; Abunassar, J.G.; Johri, A.M. Combined Femoral and Carotid Plaque Burden Identifies Obstructive Coronary Artery Disease in Women. J. Am. Soc. Echocardiogr. 2020, 33, 90–100. [Google Scholar] [CrossRef]
- Cury, R.C.; Abbara, S.; Achenbach, S.; Agatston, A.; Berman, D.S.; Budoff, M.J.; Dill, K.E.; Jacobs, J.E.; Maroules, C.D.; Rubin, G.D.; et al. CAD-RADS(TM) Coronary Artery Disease—Reporting and Data System. An expert consensus document of the Society of Cardiovascular Computed Tomography (SCCT), the American College of Radiology (ACR) and the North American Society for Cardiovascular Imaging (NASCI). Endorsed by the American College of Cardiology. J. Cardiovasc. Comput. Tomogr. 2016, 10, 269–281. [Google Scholar] [CrossRef] [PubMed]
- Wang, K.Y.; Zheng, Y.Y.; Wu, T.T.; Ma, Y.T.; Xie, X. Predictive Value of Gensini Score in the Long-Term Outcomes of Patients with Coronary Artery Disease Who Underwent PCI. Front. Cardiovasc. Med. 2021, 8, 778615. [Google Scholar] [CrossRef]
- Kolossvary, M.; Szilveszter, B.; Merkely, B.; Maurovich-Horvat, P. Plaque imaging with CT-a comprehensive review on coronary CT angiography based risk assessment. Cardiovasc. Diagn. Ther. 2017, 7, 489–506. [Google Scholar] [CrossRef]
- Ahmadzadeh, K.; Roshdi Dizaji, S.; Kiah, M.; Rashid, M.; Miri, R.; Yousefifard, M. The value of Coronary Artery Disease—Reporting and Data System (CAD-RADS) in Outcome Prediction of CAD Patients; a Systematic Review and Meta-analysis. Arch. Acad. Emerg. Med. 2023, 11, e45. [Google Scholar] [CrossRef] [PubMed]
- Batty, G.D.; Hamer, M. Vascular risk factors, Framingham risk score, and COVID-19: Community-based cohort study. Cardiovasc. Res. 2020, 116, 1664–1665. [Google Scholar] [CrossRef] [PubMed]
- Pryor, D.B.; Harrell, F.E., Jr.; Lee, K.L.; Califf, R.M.; Rosati, R.A. Estimating the likelihood of significant coronary artery disease. Am. J. Med. 1983, 75, 771–780. [Google Scholar] [CrossRef] [PubMed]




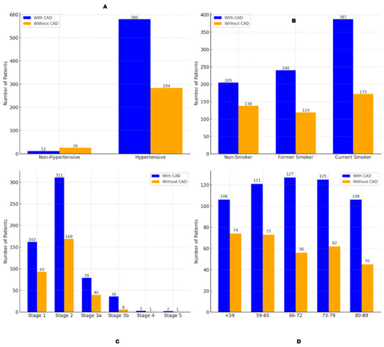
| Variable | With CAD (n = 592) | Without CAD (n = 310) |
|---|---|---|
| Age (years) (mean ± SD) | 69.4 ± 10.7 | 66.6 ± 11.3 |
| Male (%) | 422 (71.3%) | 198 (63.9%) |
| Female (%) | 170 (28.7%) | 112 (36.1%) |
| Smoking—Current (%) | 387 (65.4%) | 172 (55.5%) |
| Smoking—Former (%) | 240 (40.5%) | 119 (38.4%) |
| Smoking—Never (%) | 205 (34.6%) | 138 (44.5%) |
| Hypertension (%) | 580 (98.0%) | 284 (91.6%) |
| Non-Hypertension (%) | 12 (2.0%) | 26 (8.4%) |
| Diabetes Mellitus (%) | 191 (32.3%) | 68 (21.9%) |
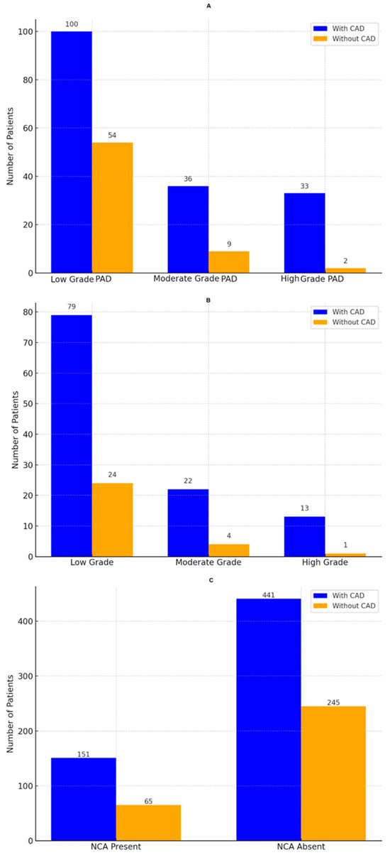
| Peripheral Arterial Disease—Yes (%) | 169 (28.5%) | 65 (21.0%) |
| Peripheral Arterial Disease—No (%) | 423 (71.5%) | 245 (79.0%) |
| Carotid Stenosis—Yes (%) | 133 (22.5%) | 38 (12.3%) |
| Angina Pectoris—Yes (%) | 389 (65.7%) | 172 (55.5%) |
| Variable | Criteria | Points |
|---|---|---|
| Amount of Antihypertensive Medications | 0, 1, 2, 3+ medications | 0, 1, 2, 3 |
| Hypertension | No, Yes | 0, 1 |
| Carotid Stenosis (according to NASCET) | ≤50%, >50% stenosis | 0, 2 |
| CKD Stage | Stage ≤ 2, Stage 3, Stage ≥ 3b | 0, 1, 2 |
| Smoking History | Non-smoker, Smoker | 0, 1 |
| Angina Pectoris | No, Yes | 0, 2 |
| PAD History (Anamnesis) | No PAD, PAD Present (any severity) | 0, 2 |
| Diabetes | No, Yes | 0, 2 |
| Age | <50, 50–59, 60–69, 70+ years | 0, 1, 2, 3 |
| Carotid Velocity (VACEl) | ≤125 cm/s, >125 cm/s | 0, 1 |
| Carotid Velocity (VACEr) | ≤125 cm/s, >125 cm/s | 0, 1 |
Disclaimer/Publisher’s Note: The statements, opinions and data contained in all publications are solely those of the individual author(s) and contributor(s) and not of MDPI and/or the editor(s). MDPI and/or the editor(s) disclaim responsibility for any injury to people or property resulting from any ideas, methods, instructions or products referred to in the content. |
© 2025 by the authors. Licensee MDPI, Basel, Switzerland. This article is an open access article distributed under the terms and conditions of the Creative Commons Attribution (CC BY) license (https://creativecommons.org/licenses/by/4.0/).
Share and Cite
Aras, T.; Tayeh, M.; Aswad, A.; Sharkawy, M.; Almuzakki, Z.; Dorweiler, B.; Majd, P. The BG Study Part 1 (Bergisch Gladbach): Development of a Prototype Coronary Artery Disease Risk Score Incorporating Peripheral Vascular Parameters—Preliminary Insights for Future CAD Risk Prediction Models in Vascular Patients. J. Clin. Med. 2025, 14, 1297. https://doi.org/10.3390/jcm14041297
Aras T, Tayeh M, Aswad A, Sharkawy M, Almuzakki Z, Dorweiler B, Majd P. The BG Study Part 1 (Bergisch Gladbach): Development of a Prototype Coronary Artery Disease Risk Score Incorporating Peripheral Vascular Parameters—Preliminary Insights for Future CAD Risk Prediction Models in Vascular Patients. Journal of Clinical Medicine. 2025; 14(4):1297. https://doi.org/10.3390/jcm14041297
Chicago/Turabian StyleAras, Tuna, Mahmoud Tayeh, Adel Aswad, Mohamed Sharkawy, Zaki Almuzakki, Bernhard Dorweiler, and Payman Majd. 2025. "The BG Study Part 1 (Bergisch Gladbach): Development of a Prototype Coronary Artery Disease Risk Score Incorporating Peripheral Vascular Parameters—Preliminary Insights for Future CAD Risk Prediction Models in Vascular Patients" Journal of Clinical Medicine 14, no. 4: 1297. https://doi.org/10.3390/jcm14041297
APA StyleAras, T., Tayeh, M., Aswad, A., Sharkawy, M., Almuzakki, Z., Dorweiler, B., & Majd, P. (2025). The BG Study Part 1 (Bergisch Gladbach): Development of a Prototype Coronary Artery Disease Risk Score Incorporating Peripheral Vascular Parameters—Preliminary Insights for Future CAD Risk Prediction Models in Vascular Patients. Journal of Clinical Medicine, 14(4), 1297. https://doi.org/10.3390/jcm14041297

