Suicidality in Adolescence: Insights from Self-Reports on Depression and Suicidal Tendencies
Abstract
1. Introduction
2. Materials and Methods
2.1. Study Design
2.2. Participants
2.3. Instruments
- The Columbia Suicide Severity Rating Scale (C-SSRS) [34].
- The Multi-Attitude Suicide Tendency Scale (MAST) [30].
- (1)
- Repulsion by Death (RD): RD may be significantly elevated even among individuals exhibiting a pronounced inclination towards self-destructive behaviours. This phenomenon arises from the recognition that death is an unavoidable conclusion to life. RD serves as a substantial deterrent against self-destructive tendencies, potentially influenced by the apprehension of severe repercussions following death. A score equal to or lower than 3 indicates risk, while a higher score is considered a protective factor. The Cronbach’s alpha coefficient for this measure was 0.92.
- (2)
- Attraction toward Life (AL): Attraction toward Life (AL) is significantly influenced by an individual’s sense of security within interpersonal relationships, including those with family and friends, as well as romantic relationships and self-esteem. This construct generally serves as a deterrent to self-destructive behaviours. A score equal to or lower than 3 indicates risk, while a higher score is considered a protective factor. The reliability of this measure, as indicated by Cronbach’s alpha, was 0.85.
- (3)
- Repulsion by Life (RL): RL encompasses experiences of suffering, including the inability to resolve feelings of guilt, the loss of loved ones, experiences of abuse, tendencies toward self-destructive behaviour, and identification with depressed parents. A score of 3 or higher indicates a risk, while a score below 3 is a protective factor. The reliability of this measure, as indicated by Cronbach’s alpha, was 0.79.
- (4)
- Attraction to Death (AD): AD arises from a distorted perception of death as reversible and as a potential escape from life’s challenges. Death is frequently idealised during adolescence as a mystical union with the universe. For individuals who have experienced the loss of a loved one, this may represent a desire to reunite with the deceased. A score of 3 or higher on the AD scale is associated with an increased risk, while a lower score is a protective factor. The scale’s reliability, as measured by Cronbach’s alpha, was 0.79.
- The Beck Depression Inventory-Short Form (BDI-SF) [44]
2.4. Analysis
3. Results
3.1. Descriptive Analyses
3.2. MAST Differences Between the SI and SA Groups
3.3. Differences Between the SI and SA Groups Concerning BDI-SF
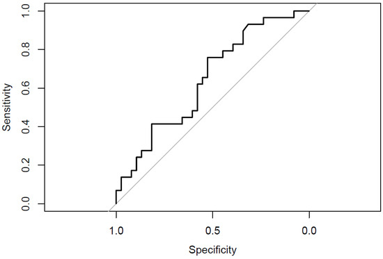
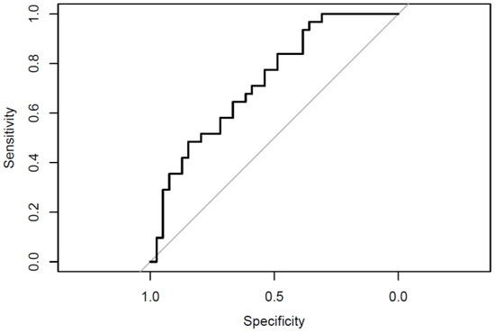
3.4. Comparison Between the MAST and BDI-SF
4. Discussion
5. Conclusions
Supplementary Materials
Author Contributions
Funding
Institutional Review Board Statement
Informed Consent Statement
Data Availability Statement
Conflicts of Interest
References
- World Health Organization Suicide. Available online: https://www.who.int/news-room/fact-sheets/detail/suicide (accessed on 25 January 2025).
- Lo, C.B.; Bridge, J.A.; Shi, J.; Ludwig, L.; Stanley, R.M. Children’s Mental Health Emergency Department Visits: 2007–2016. Pediatrics 2020, 145, e20191536. [Google Scholar] [CrossRef] [PubMed]
- Holman, M.S.; Williams, M.N. Suicide Risk and Protective Factors: A Network Approach. Arch. Suicide Res. 2022, 26, 137–154. [Google Scholar] [CrossRef]
- Turecki, G.; Brent, D.A.; Gunnell, D.; O’Connor, R.C.; Oquendo, M.A.; Pirkis, J.; Stanley, B.H. Suicide and Suicide Risk. Nat. Rev. Dis. Primers 2019, 5, 74. [Google Scholar] [CrossRef]
- Esposito, C.; Bacchini, D.; Affuso, G. Adolescent Non-Suicidal Self-Injury and Its Relationships with School Bullying and Peer Rejection. Psychiatry Res. 2019, 274, 1–6. [Google Scholar] [CrossRef]
- Steare, T.; Gutiérrez Muñoz, C.; Sullivan, A.; Lewis, G. The Association between Academic Pressure and Adolescent Mental Health Problems: A Systematic Review. J. Affect. Disord. 2023, 339, 302–317. [Google Scholar] [CrossRef]
- Eslava, D.; Martínez-Vispo, C.; Villanueva-Blasco, V.J.; Errasti, J.M.; Al-Halabí, S. Family Conflict and Suicidal Behaviour in Adolescence: The Mediating Role of the Assertive Interpersonal Schema. Sustainability 2023, 15, 5149. [Google Scholar] [CrossRef]
- Wagner, B.M.; Silverman, M.A.C.; Martin, C.E. Family Factors in Youth Suicidal Behaviors. Am. Behav. Sci. 2003, 46, 1171–1191. [Google Scholar] [CrossRef]
- Carpiniello, B.; Pinna, F. The Reciprocal Relationship between Suicidality and Stigma. Front. Psychiatry 2017, 8, 35. [Google Scholar] [CrossRef]
- Liu, X.-Q.; Wang, X. Adolescent Suicide Risk Factors and the Integration of Social-Emotional Skills in School-Based Prevention Programs. World J. Psychiatry 2024, 14, 494–506. [Google Scholar] [CrossRef]
- Mensi, M.M.; Iacopelli, M.; Orlandi, M.; Capone, L.; Rogantini, C.; Vecchio, A.; Casini, E.; Borgatti, R. Psychiatric Symptoms and Emotional Impact of the COVID-19 Pandemic on Italian Adolescents during the Third Lockdown: A Cross-Sectional Cohort Study. Sci. Rep. 2022, 12, 20901. [Google Scholar] [CrossRef]
- Mensi, M.M.; Capone, L.; Rogantini, C.; Orlandi, M.; Ballante, E.; Borgatti, R. COVID-19-Related Psychiatric Impact on Italian Adolescent Population: A Cross-Sectional Cohort Study. J. Community Psychol. 2021, 49, jcop.22563. [Google Scholar] [CrossRef] [PubMed]
- Tavano, S.; Caini, S.; Sforzi, I.; Silvestri, C.; Voller, F.; Pisano, T. Mental Health of Children and Adolescents before and during the COVID-19 Pandemic: How Did the Lockdown Modify Psychiatric Emergencies in Tuscany, Italy? J. Clin. Med. 2023, 12, 4154. [Google Scholar] [CrossRef] [PubMed]
- Guessoum, S.B.; Lachal, J.; Radjack, R.; Carretier, E.; Minassian, S.; Benoit, L.; Moro, M.R. Adolescent Psychiatric Disorders during the COVID-19 Pandemic and Lockdown. Psychiatry Res. 2020, 291, 113264. [Google Scholar] [CrossRef] [PubMed]
- Giampieri, E.; Clerici, M. Il Suicidio Oggi. Implicazioni Sociali e Psicopatologiche. [Suicide Nowadays. Social and Psychopathological Implications]. In Suicidio E Psicobiologia; Springer: Berlin/Heidelberg, Germany, 2013; pp. 97–103. [Google Scholar]
- Pietropolli Charmet, G.; Piotti, A. Il Tentativo Di Suicidio in Adolescenza. [Suicidal Attempt in Adolescence]; Raffaello Cortina Editore: Milano, Italy, 2009. [Google Scholar]
- Tezanos, K.M.; Pollak, O.H.; Cha, C.B. Conceptualizing Death: How Do Suicidal Adolescents View the End of Their Lives? Suicide Life Threat. Behav. 2021, 51, 807–815. [Google Scholar] [CrossRef]
- Piotti, A.; De Monte, G. Quando La Scuola Viene Ferita: Interventi Dopo Il Suicidio Di Uno Studente, 2017th ed.; FrancoAngeli: Milan, Italy, 2017. [Google Scholar]
- Mayer, L.; Rüsch, N.; Frey, L.M.; Nadorff, M.R.; Drapeau, C.W.; Sheehan, L.; Oexle, N. Anticipated Suicide Stigma, Secrecy, and Suicidality Among Suicide Attempt Survivors. Suicide Life Threat. Behav. 2020, 50, 706–713. [Google Scholar] [CrossRef]
- Sheehan, L.; Oexle, N.; Dubke, R.; Wan, H.T.; Corrigan, P.W. The Self-Stigma of Suicide Attempt Survivors. Arch. Suicide Res. 2020, 24, 34–47. [Google Scholar] [CrossRef]
- Cavelti, M.; Kaess, M. Adolescent Suicide: An Individual Disaster, but a Systemic Failure. Eur. Child. Adolesc. Psychiatry 2021, 30, 987–990. [Google Scholar] [CrossRef]
- Wasserman, D.; Carli, V.; Iosue, M.; Javed, A.; Herrman, H. Suicide Prevention in Childhood and Adolescence: A Narrative Review of Current Knowledge on Risk and Protective Factors and Effectiveness of Interventions. Asia Pac. Psychiatry 2021, 13, e12452. [Google Scholar] [CrossRef]
- Zygo, M.; Pawłowska, B.; Potembska, E.; Dreher, P.; Kapka-Skrzypczak, L. Prevalence and Selected Risk Factors of Suicidal Ideation, Suicidal Tendencies and Suicide Attempts in Young People Aged 13–19 Years. Ann. Agric. Environ. Med. 2019, 26, 329–336. [Google Scholar] [CrossRef]
- Deming, C.A.; Harris, J.A.; Castro-Ramirez, F.; Glenn, J.J.; Cha, C.B.; Millner, A.J.; Nock, M.K. Inconsistencies in Self-Reports of Suicidal Ideation and Attempts across Assessment Methods. Psychol. Assess. 2021, 33, 218–229. [Google Scholar] [CrossRef]
- Coci, C.; Invernizzi, R.; Capone, L.; Casini, E.; Orlandi, M.; Galli, P.; Rossi, I.; Martinelli, O.; Borgatti, R.; Mensi, M.M.; et al. Psychological and Behavioral Characterization of Suicide Ideators and Suicide Attempters in Adolescence. Front. Psychiatry 2022, 13, 1009460. [Google Scholar] [CrossRef] [PubMed]
- Klomek, A.B.; Orbach, I.; Sher, L.; Sommerfeld, E.; Diller, R.; Apter, A.; Shahar, G.; Zalsman, G. Quality of Depression Among Suicidal Inpatient Youth. Arch. Suicide Res. 2008, 12, 133–140. [Google Scholar] [CrossRef]
- Grossberg, A.; Rice, T. Depression and Suicidal Behavior in Adolescents. Med. Clin. North. Am. 2023, 107, 169–182. [Google Scholar] [CrossRef]
- Carballo, J.J.; Llorente, C.; Kehrmann, L.; Flamarique, I.; Zuddas, A.; Purper-Ouakil, D.; Hoekstra, P.J.; Coghill, D.; Schulze, U.M.E.; Dittmann, R.W.; et al. Psychosocial Risk Factors for Suicidality in Children and Adolescents. Eur. Child. Adolesc. Psychiatry 2020, 29, 759–776. [Google Scholar] [CrossRef]
- Melhem, N.M.; Porta, G.; Oquendo, M.A.; Zelazny, J.; Keilp, J.G.; Iyengar, S.; Burke, A.; Birmaher, B.; Stanley, B.; Mann, J.J.; et al. Severity and Variability of Depression Symptoms Predicting Suicide Attempt in High-Risk Individuals. JAMA Psychiatry 2019, 76, 603–613. [Google Scholar] [CrossRef]
- Orbach, I.; Milstein, I.; Har-Even, D.; Apter, A.; Tiano, S.; Elizur, A. A Multi-Attitude Suicide Tendency Scale for Adolescents. Psychol. Assess. 1991, 3, 398–404. [Google Scholar] [CrossRef]
- Ferrara, M.; Terrinoni, A.; Williams, R. Non-Suicidal Self-Injury (Nssi) in Adolescent Inpatients: Assessing Personality Features and Attitude toward Death. Child. Adolesc. Psychiatry Ment. Health 2012, 6, 12. [Google Scholar] [CrossRef]
- World Medical Association World Medical Association Declaration of Helsinki: Ethical Principles for Medical Research Involving Human Participants. JAMA 2025, 333, 71–74. [CrossRef]
- Mensi, M.M. 20220612_DEP_SUICID_bdimast_MMM_01 2022.
- Posner, K.; Brown, G.K.; Stanley, B.; Brent, D.A.; Yershova, K.V.; Oquendo, M.A.; Currier, G.W.; Melvin, G.A.; Greenhill, L.; Shen, S.; et al. The Columbia-Suicide Severity Rating Scale: Initial Validity and Internal Consistency Findings from Three Multisite Studies with Adolescents and Adults. Am. J. Psychiatry 2011, 168, 1266–1277. [Google Scholar] [CrossRef]
- Hollingshead, A.B. Four-Factor Index of Social Status; Yale University: New Haven, CT, USA, 1975. [Google Scholar]
- Wechsler, D. Wechsler Intelligence Scale for Children-Fourth Edition (WISC-IV); Giunti Organizzazioni Speciali, Ed.: Firenze, Italy, 2003. [Google Scholar]
- Wechsler, D. Wechsler Adult Intelligence Scale-Fourth Edition (WAIS-IV); Giunti Organizzazioni Speciali, Ed.: Firenze, Italy, 2008. [Google Scholar]
- Kaufman, J.; Birmaher, B.; Axelson, D.; Pereplitchikova, F.; Brent, D.; Ryan, N. Schedule for Affective Disorders and Schizophrenia for School-Aged Children: Present and Lifetime Version (K-SADS-PL) DSM-5; Child and Adolescent Research and Education: New Heaven, CT, USA, 2016. [Google Scholar]
- Kaufman, J.; Birmaher, B.; Rao, U.; Ryan, N.; di Sogos, C.; Di Noia, S.P.; Fioriello, F.; Picchiotti, G. K-SADS-PL DSM-5. Intervista Diagnostica per La Valutazione Dei Disturbi Psicopatologici in Bambini e Adolescenti. Schedule for Affective Disorders and Schizophrenia for School-Aged Children: Present and Lifetime Version (K-SADS-PL) DSM-5; Erickson, Ed.: Trento, Italy, 2019. [Google Scholar]
- American Psychiatric Association. Diagnostic and Statistical Manual of Mental Disorders 5th Edition: DSM-5, 5th ed.; American Psychiatric Association: Arlington, VA, USA, 2013. [Google Scholar]
- Osman, A.; Barrios, F.X.; Grittmann, L.R.; Osman, J.R. The Multi-Attitude Suicide Tendency Scale: Psychometric Characteristics in an American Sample. J. Clin. Psychol. 1993, 49, 701–708. [Google Scholar] [CrossRef]
- Osman, A.; Barrios, F.X.; Panak, W.F.; Osman, J.R.; Hoffman, J.; Hammer, R. Validation of the Multi-attitude Suicide Tendency Scale in Adolescent Samples. J. Clin. Psychol. 1994, 50, 847–855. [Google Scholar] [CrossRef] [PubMed]
- Osman, A.; Gilpin, A.R.; Panak, W.F.; Kopper, B.A.; Barrios, F.X.; Gutierrez, P.M.; Chiros, C.E. The Multi-Attitude Suicide Tendency Scale: Further Validation with Adolescent Psychiatric Inpatients. Suicide Life Threat. Behav. 2000, 30, 377–385. [Google Scholar] [CrossRef] [PubMed]
- Beck, A.T.; Beck, R.W. Screening Depressed Patients in Family Practice: A Rapid Technic. Postgrad. Med. 1972, 52, 81–85. [Google Scholar] [CrossRef] [PubMed]
- JASP Team. JASP, Version 0.19.3; JASP Team: Amsterdam, The Netherlands, 2024.
- R Core Team. R: A Language and Environment for Statistical Computing, Version 4.4.2; The R Core Team: Vienna, Austria, 2024.
- Maggiolini, A.; Di Lorenzo, M.; Pisa, C. Atteggiamenti nei Confronti della Morte e del Suicidio in Adolescenza [Attitudes toward Facing Death and Suicide in Adolescence]. Psichiatr. Psicoter. 2012, 31, 268–284. [Google Scholar]
- Bulat, L.R. Loneliness in the Context of Self-Harm Behaviors in Adolescence. In Determinants of Loneliness; IntechOpen: London, UK, 2024; ISBN 978-0-85466-550-1. [Google Scholar]
- Wolfe, K.L.; Nakonezny, P.A.; Owen, V.J.; Rial, K.V.; Moorehead, A.P.; Kennard, B.D.; Emslie, G.J. Hopelessness as a Predictor of Suicide Ideation in Depressed Male and Female Adolescent Youth. Suicide Life-Threat. Behav. 2019, 49, 253–263. [Google Scholar] [CrossRef]
- Ribeiro, J.D.; Huang, X.; Fox, K.R.; Franklin, J.C. Depression and Hopelessness as Risk Factors for Suicide Ideation, Attempts and Death: Meta-Analysis of Longitudinal Studies. Br. J. Psychiatry 2018, 212, 279–286. [Google Scholar] [CrossRef]
- Penso, M.A.; Sena, D.P.A.D. A desesperança do jovem e o suicídio como solução. Soc. Estado. 2020, 35, 61–81. [Google Scholar] [CrossRef]
- Wong, W.S. Attitudes toward Life and Death among Chinese Adolescents: The Chinese Version of the Multi-Attitude Suicide Tendency Scale. Death Stud. 2004, 28, 91–110. [Google Scholar] [CrossRef]
- Riera-Serra, P.; Navarra-Ventura, G.; Castro, A.; Gili, M.; Salazar-Cedillo, A.; Ricci-Cabello, I.; Roldán-Espínola, L.; Coronado-Simsic, V.; García-Toro, M.; Gómez-Juanes, R.; et al. Clinical Predictors of Suicidal Ideation, Suicide Attempts and Suicide Death in Depressive Disorder: A Systematic Review and Meta-Analysis. Eur. Arch. Psychiatry Clin. Neurosci. 2024, 274, 1543–1563. [Google Scholar] [CrossRef]
- Nobile, B.; Jaussent, I.; Kahn, J.P.; Leboyer, M.; Risch, N.; Olié, E.; Courtet, P. Risk Factors of Suicide Re-Attempt: A Two-Year Prospective Study. J. Affect. Disord. 2024, 356, 535–544. [Google Scholar] [CrossRef]
- Millner, A.J.; Lee, M.D.; Hoyt, K.; Buckholtz, J.W.; Auerbach, R.P.; Nock, M.K. Are Suicide Attempters More Impulsive than Suicide Ideators? General. Hosp. Psychiatry 2020, 63, 103–110. [Google Scholar] [CrossRef] [PubMed]
- Auerbach, R.P.; Stewart, J.G.; Johnson, S.L. Impulsivity and Suicidality in Adolescent Inpatients. J. Abnorm. Child Psychol. 2017, 45, 91. [Google Scholar] [CrossRef] [PubMed]
- Rogantini, C.; Orlandi, M.; Vecchio, A.; Pratile, D.C.; Cabini, R.F.; Ballante, E.; De Giorgis, V.; Borgatti, R.; Mensi, M.M. Breakdown or Personality Disorder? Psychiatric Characterization and Developmental Pathways Towards Young Adulthood in Adolescents with Pathological Personality Structure. Brain Sci. 2024, 14, 1115. [Google Scholar] [CrossRef] [PubMed]
- Karnick, A.T.; Fergerson, A.K.; Caulfield, N.M.; Buerke, M.; Albanese, B.J.; Schmidt, N.B.; Capron, D.W. Toward an Integrative Model of Transdiagnostic Risk Factors and Suicide: A Network Comparison of Psychiatric Outpatients. J. Psychiatr. Res. 2022, 154, 252–260. [Google Scholar] [CrossRef]
- Solnek, B.L.; Seiter, T. How to Diagnose and Treat Depression. Nurse Pract. 2002, 27, 12–23. [Google Scholar] [CrossRef]
- Masi, G.; Lenzi, F.; Fabiani, D.; Sudano, S.D.; D’Acunto, G.; Mucci, M. Suicidal ideation, suicidal attempts and non-suicidal self-injuries in referred adolescents. Riv. Di Psichiatr. 2020, 55, 168–174. [Google Scholar]
- Klonsky, E.D.; May, A.M.; Glenn, C.R. The Relationship between Nonsuicidal Self-Injury and Attempted Suicide: Converging Evidence from Four Samples. J. Abnorm. Psychol. 2013, 122, 231–237. [Google Scholar] [CrossRef]
- Miranda-Mendizabal, A.; Castellví, P.; Parés-Badell, O.; Alayo, I.; Almenara, J.; Alonso, I.; Blasco, M.J.; Cebrià, A.; Gabilondo, A.; Gili, M.; et al. Gender Differences in Suicidal Behavior in Adolescents and Young Adults: Systematic Review and Meta-Analysis of Longitudinal Studies. Int. J. Public Health 2019, 64, 265–283. [Google Scholar] [CrossRef]
- Bosco, N.; Giaccherini, S.; Meringolo, P. A Gender Perspective about Young People’s Seeking Help. J. Prev. Interv. Community 2020, 48, 132–146. [Google Scholar] [CrossRef]
- Díez-Gómez, A.; Pérez-Albéniz, A.; Ortuño-Sierra, J.; Fonseca-Pedrero, E. SENTIA: An Adolescent Suicidal Behavior Assessment Scale. Psicothema 2020, 32, 382–389. [Google Scholar] [CrossRef]
- Gipson, P.Y.; Agarwala, P.; Opperman, K.J.; Horwitz, A.; King, C.A. Columbia-Suicide Severity Rating Scale: Predictive Validity with Adolescent Psychiatric Emergency Patients. Pediatr. Emerg. Care 2015, 31, 88–94. [Google Scholar] [CrossRef] [PubMed]
- Benchimol, E.I.; Smeeth, L.; Guttmann, A.; Harron, K.; Moher, D.; Petersen, I.; Sørensen, H.T.; von Elm, E.; Langan, S.M.; the RECORD Working Committee. The REporting of studies Conducted using Observational Routinely-collected health Data (RECORD) Statement. PLoS Med. 2015, 12, e1001885. Available online: https://www.equator-network.org/reporting-guidelines/record/ (accessed on 25 January 2025). [CrossRef] [PubMed]



| Total (n = 78) n (%) | SI (n = 45) n (%) | SA (n = 33) n (%) | χ2 | df | p | |
|---|---|---|---|---|---|---|
| Age (Mean ± SD) | 15.53 ± 1.49 | 15.39 ± 1.66 | 15.66 ± 1.66 | 0.81 | 76 | 0.209 |
| Gender (female) | 69 (88.46) | 37 (82.22) | 32 (96.97) | 4.06 | 1 | 0.044 |
| Ethnicity | 2.47 | 4 | 0.649 | |||
| Caucasian | 67 (85.90) | 37 (82.22) | 30 (90.91) | |||
| Asian | 1 (1.28) | 1 (2.22) | 0 (0.00) | |||
| African | 5 (6.41) | 3 (6.67) | 2 (6.06) | |||
| Latina | 3 (3.84) | 2 (4.44) | 1 (3.03) | |||
| Mixed | 2 (2.56) | 2 (4.44) | 0 (0.00) | |||
| Separate/divorced parents | 26 (33.33) | 13 (28.89) | 13 (39.39) | 0.875 | 1 | 0.350 |
| SES a | 2.33 | 4 | 0.675 | |||
| Low | 11 (14.10) | 8 (17.78) | 3 (9.09) | |||
| Medium-low | 10 (12.82) | 5 (11.11) | 5 (15.15) | |||
| Medium | 16 (20.51) | 8 (17.78) | 8 (24.24) | |||
| Medium-high | 17 (21.80) | 8 (17.78) | 9 (27.27) | |||
| High | 7 (8.97) | 3 (6.67) | 4 (12.12) | |||
| School performances b | 1.180 | 4 | 0.881 | |||
| Poor | 14 (17.95) | 7 (15.56) | 7 (21.21) | |||
| Sufficient | 18 (23.08) | 9 (20.00) | 9 (27.27) | |||
| Good | 26 (33.28) | 16 (35.56) | 10 (30.30) | |||
| Excellent | 14 (17.95) | 9 (20.00) | 5 (15.15) | |||
| School withdrawal | 5 (6.41) | 3 (6.67) | 2 (6.06) | |||
| Social relations c | 3.689 | 2 | 0.158 | |||
| Social withdrawal | 10 (12.82) | 3 (6.67) | 7 (21.21) | |||
| Poor | 44 (56.41) | 26 (57.78) | 18 (54.55) | |||
| Adequate | 23 (29.49) | 15 (33.33) | 8 (24.24) | |||
| Risky behaviours d | 49 (62.82) | 21 (46.67) | 28 (84.85) | 18.235 | 6 | 0.006 |
| Active SI | 47 (60.26) | 21 (46.67) | 26 (78.79) | 8.202 | 1 | 0.004 |
| DSM-5 diagnosis | ||||||
| Learning disability | 2 (2.56) | 1 (2.22) | 1 (3.03) | 2.098 | 2 | 0.350 |
| Psychotic disorders e | 17 (21.79) | 6 (13.32) | 11 (33.33) | 5.625 | 3 | 0.131 |
| Bipolar and related | 3 (3.84) | 2 (4.44) | 1 (3.03) | 2.834 | 2 | 0.242 |
| Depression | 46 (58.88) | 24 (53.28) | 22 (66.66) | 10.548 | 4 | 0.032 |
| Disruptive mood dysregulation | 2 (2.56) | 2 (4.44) | 0 (0) | |||
| MDD | 22 (28.20) | 10 (22.2) | 12 (36.36) | |||
| Persistent depressive disorder | 7 (8.97) | 1 (2.22) | 6 (18.18) | |||
| Unspecified depressive disorder | 15 (19.23) | 11 (24.42) | 4 (12.12) | |||
| Anxiety | 25 (32.00) | 15 (33.3) | 10 (30.3) | 4.962 | 5 | 0.420 |
| Specific phobia | 1 (1.28) | 1 (2.22) | 0 (0) | |||
| Social anxiety disorder | 3 (3.84) | 2 (4.44) | 1 (3.03) | |||
| Panic disorder | 3 (3.84) | 1 (2.22) | 2 (6.06) | |||
| GAD | 8 (10.25) | 3 (6.66) | 5 (15.15) | |||
| Unspecified anxiety disorder | 10 (12.82) | 8 (17.77) | 2 (6.06) | |||
| OCD | 3 (3.84) | 2 (4.44) | 1 (3.03) | 0.103 | 1 | 0.748 |
| Eating disorders | 20 (25.6) | 14 (31.08) | 6 (18.18) | 6.859 | 4 | 0.144 |
| Personality disorders (PD) | 26 (33.28) | 9 (19.98) | 17 (51.51) | 9.194 | 3 | 0.027 |
| High risk for PD(s) f | 23 (29.49) | 8 (17.78) | 15 (45.46) | |||
| Borderline PD | 3 (3.84) | 1 (2.22) | 2 (6.06) | |||
| Substance use disorders | 2 (2.56) | 1 (2.22) | 1 (3.03) | 0.050 | 1 | 0.823 |
| SI | SA | ||||||
|---|---|---|---|---|---|---|---|
| M | SD | M | SD | t | p | Adj p | |
| MAST-AL | 2.83 | 0.85 | 2.45 | 0.68 | 2.030 | 0.023 | 0.115 |
| MAST-RL | 3.28 | 0.90 | 3.75 | 0.55 | 2.691 | 0.005 | 0.025 |
| MAST-AD | 3.16 | 0.82 | 3.47 | 0.57 | 1.896 | 0.031 | 0.155 |
| MAST-RD | 2.46 | 1.02 | 2.12 | 0.81 | 1.523 | 0.066 | 0.33 |
| BDI-SF | ||||||
|---|---|---|---|---|---|---|
| SI | SA | |||||
| r | p | Adj p | r | p | Adj p | |
| MAST AL | −0.633 | <0.001 | <0.001 | −0.567 | 0.001 | 0.005 |
| MAST RL | 0.638 | <0.001 | <0.001 | 0.242 | 0.198 | 0.99 |
| MAST AD | 0.365 | 0.024 | 0.12 | 0.557 | 0.001 | 0.005 |
| MAST RD | 0.056 | 0.737 | 3.685 | −0.332 | 0.073 | 0.365 |
Disclaimer/Publisher’s Note: The statements, opinions and data contained in all publications are solely those of the individual author(s) and contributor(s) and not of MDPI and/or the editor(s). MDPI and/or the editor(s) disclaim responsibility for any injury to people or property resulting from any ideas, methods, instructions or products referred to in the content. |
© 2025 by the authors. Licensee MDPI, Basel, Switzerland. This article is an open access article distributed under the terms and conditions of the Creative Commons Attribution (CC BY) license (https://creativecommons.org/licenses/by/4.0/).
Share and Cite
Orlandi, M.; Casini, E.; Pratile, D.C.; Iussi, C.; Ghiazza, C.; Borgatti, R.; Mensi, M.M. Suicidality in Adolescence: Insights from Self-Reports on Depression and Suicidal Tendencies. J. Clin. Med. 2025, 14, 1106. https://doi.org/10.3390/jcm14041106
Orlandi M, Casini E, Pratile DC, Iussi C, Ghiazza C, Borgatti R, Mensi MM. Suicidality in Adolescence: Insights from Self-Reports on Depression and Suicidal Tendencies. Journal of Clinical Medicine. 2025; 14(4):1106. https://doi.org/10.3390/jcm14041106
Chicago/Turabian StyleOrlandi, Marika, Erica Casini, Diletta Cristina Pratile, Chiara Iussi, Cecilia Ghiazza, Renato Borgatti, and Martina Maria Mensi. 2025. "Suicidality in Adolescence: Insights from Self-Reports on Depression and Suicidal Tendencies" Journal of Clinical Medicine 14, no. 4: 1106. https://doi.org/10.3390/jcm14041106
APA StyleOrlandi, M., Casini, E., Pratile, D. C., Iussi, C., Ghiazza, C., Borgatti, R., & Mensi, M. M. (2025). Suicidality in Adolescence: Insights from Self-Reports on Depression and Suicidal Tendencies. Journal of Clinical Medicine, 14(4), 1106. https://doi.org/10.3390/jcm14041106

