Autogenous Tooth Transplantation of Canines—A Prospective Clinical Study on the Influence of Adjunctive Antibiosis and Patient-Related Risk Factors During Initial Healing
Abstract
1. Introduction
2. Materials and Methods
2.1. Trial Design and Participants
2.1.1. Inclusion Criteria
2.1.2. Exclusion Criteria
2.2. Randomization
2.3. Interventions and Follow-Ups
2.4. Outcomes
3. Results
3.1. Patient Data
3.2. Operation Data
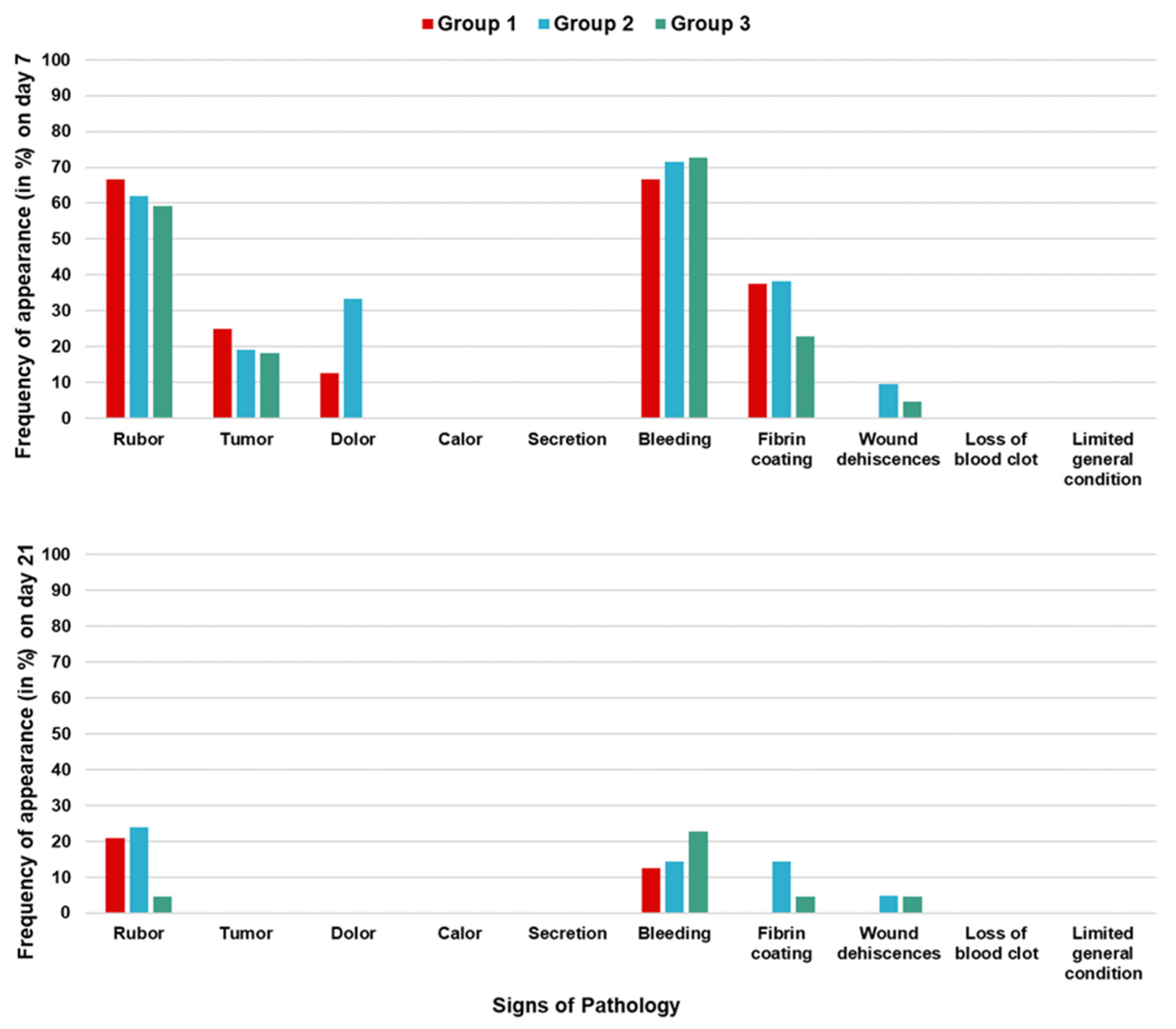
3.3. Primary and Secondary Outcome (SSP, SPI)
3.4. Factors Influencing the SSP
3.5. Factors Influencing the SPI
4. Discussion
5. Conclusions
Supplementary Materials
Author Contributions
Funding
Institutional Review Board Statement
Informed Consent Statement
Data Availability Statement
Conflicts of Interest
References
- Bedoya, M.M.; Park, J.H. A Review of the Diagnosis and Management of Impacted Maxillary Canines. J. Am. Dent. Assoc. 2009, 140, 1485–1493. [Google Scholar] [CrossRef] [PubMed]
- Alberto, P.L. Management of the impacted canine and second molar. Oral Maxillofac. Surg. Clin. N. Am. 2007, 19, 59–68. [Google Scholar] [CrossRef] [PubMed]
- Nagpal, A.; Pai, K.M.; Sharma, G. Palatal and labially impacted maxillary canine-associated dental anomalies: A comparative study. J. Contemp. Dent. Pract. 2009, 10, 67–74. [Google Scholar] [PubMed]
- Roulias, P.; Kalantzis, N.; Doukaki, D.; Pachiou, A.; Karamesinis, K.; Damanakis, G.; Gizani, S.; Tsolakis, A.I. Teeth Eruption Disorders: A Critical Review. Children 2022, 9, 771. [Google Scholar] [CrossRef]
- Kanno, C.M.; de Oliveira, J.A.; Garcia, J.F.; Roth, H.; Weber, B.H.F. Twenty-year follow-up of a familial case of PTH1R-associated primary failure of tooth eruption. Am. J. Orthod. Dentofac. Orthop. 2017, 151, 598–606. [Google Scholar] [CrossRef]
- Becker, A.; Chaushu, G.; Chaushu, S. Analysis of failure in the treatment of impacted maxillary canines. Am. J. Orthod. Dentofac. Orthop. 2010, 137, 743–754. [Google Scholar] [CrossRef]
- Chavez-Alvarez, C.; Arriola-Guillen, L.E.; Rodriguez-Cardenas, Y.A.; Ruiz-Mora, G.A.; Fiori-Chincaro, G.; Silveira, H.L.D.-D.; Castillo, A.A.-D. Changes in maxillary incisor inclination and position after traction of unilateral vs bilateral maxillary impacted canines in nonextraction treatment: A cone-beam computed tomography study. Am. J. Orthod. Dentofac. Orthop. 2019, 156, 767–778. [Google Scholar] [CrossRef]
- Husain, J.; Burden, D.; McSherry, P.; Morris, D.; Allen, M. National clinical guidelines for management of the palatally ectopic maxillary canine. Br. Dent. J. 2012, 213, 171–176. [Google Scholar] [CrossRef]
- Kang, J.-Y.; Chang, H.-S.; Hwang, Y.-C.; Hwang, I.-N.; Oh, W.-M.; Lee, B.-N. Autogenous tooth transplantation for replacing a lost tooth: Case reports. Restor. Dent. Endod. 2013, 38, 48–51. [Google Scholar] [CrossRef]
- Alruwaithi, M.; Jumah, A.; Alsadoon, S. Tooth Ankylosis And its Orthodontic Implication. IOSR J. Dent. Med. Sci. 2017, 16, 108–112. [Google Scholar] [CrossRef]
- Vijayalakshmi, R.; Ramakrishnan, T.; Nisanth, S. Surgical exposure of an impacted maxillary canine and increasing a band of keratinized gingiva. J. Indian Soc. Periodontol. 2009, 13, 164–167. [Google Scholar] [CrossRef] [PubMed]
- Manne, R.; Gandikota, C.; Juvvadi, S.R.; Rama, H.R.M.; Anche, S. Impacted canines: Etiology, diagnosis, and orthodontic management. J. Pharm. Bioallied Sci. 2012, 4, S234–S238. [Google Scholar] [CrossRef] [PubMed]
- Krupp, J.; Petrakakis, P.; Jost-Brinkmann, P.G.; Meinzer, S.; Widbiller, M.; Niederle, C.; Geserick, M.; Nolte, D. Survival of retained permanent canines after autotransplantation: A retrospective cohort study. Am. J. Orthod. Dentofac. Orthop. 2024, 165, 533–545. [Google Scholar] [CrossRef] [PubMed]
- Tan, B.L.; Tong, H.J.; Narashimhan, S.; Banihani, A.; Nazzal, H.; Duggal, M.S. Tooth autotransplantation: An umbrella review. Dent. Traumatol. 2023, 39, 2–29. [Google Scholar] [CrossRef]
- Oberoi, S.S.; Dhingra, C.; Sharma, G.; Sardana, D. Antibiotics in dental practice: How justified are we. Int. Dent. J. 2015, 65, 4–10. [Google Scholar] [CrossRef]
- Contaldo, M.; D’Ambrosio, F.; Ferraro, G.A.; Di Stasio, D.; Di Palo, M.P.; Serpico, R.; Simeone, M. Antibiotics in Dentistry: A Narrative Review of the Evidence beyond the Myth. Int. J. Environ. Res. Public Health 2023, 20, 6025. [Google Scholar] [CrossRef]
- Principi, N.; Esposito, S. Antibiotic-related adverse events in paediatrics: Unique characteristics. Expert Opin. Drug Saf. 2019, 18, 795–802. [Google Scholar] [CrossRef]
- Subramaniam, G.; Girish, M. Antibiotic Resistance—A Cause for Reemergence of Infections. Indian J. Pediatr. 2020, 87, 937–944. [Google Scholar] [CrossRef]
- Llor, C.; Bjerrum, L. Antimicrobial resistance: Risk associated with antibiotic overuse and initiatives to reduce the problem. Ther. Adv. Drug Saf. 2014, 5, 229–241. [Google Scholar] [CrossRef]
- von Arx, T.; Chappuis, V.; Hanni, S. Injuries to permanent teeth. Part 2: Therapy of avulsion. Schweiz. Monatsschrift Zahnmed. 2005, 115, 1057–1073. [Google Scholar]
- Bourgeois, J.; Carvalho, J.C.; De Bruyne, M.; Declerck, D.; Eloot, A.; Leroy, R. Antibiotics at replantation of avulsed permanent teeth? A systematic review. J. Evid. Based Dent. Pract. 2022, 22, 101706. [Google Scholar] [CrossRef] [PubMed]
- Schulz, K.F.; Altman, D.G.; Moher, D. CONSORT 2010 statement: Updated guidelines for reporting parallel group randomized trials. Ann. Intern. Med. 2010, 152, 726–732. [Google Scholar] [CrossRef] [PubMed]
- Agastra, E.; Saettone, M.; Parrini, S.; Cugliari, G.; Deregibus, A.; Castroflorio, T. Impacted Permanent Mandibular Canines: Epidemiological Evaluation. J. Clin. Med. 2023, 12, 12. [Google Scholar] [CrossRef]
- Ristaniemi, J.; Rajala, W.; Karjalainen, T.; Melaluoto, E.; Iivari, J.; Pesonen, P.; Lähdesmäki, R. Eruption pattern of the maxillary canines: Features of natural eruption seen in PTG at the late mixed stage—Part I. Eur. Arch. Paediatr. Dent. 2022, 23, 223. [Google Scholar] [CrossRef] [PubMed]
- Thompson, E.J.; Wu, H.; Melloni, C.; Balevic, S.; Sullivan, J.E.; Laughon, M.; Clark, K.M.; Kalra, R.; Mendley, S.; Payne, E.H.; et al. Population pharmacokinetics of doxycycline in children. Antimicrob. Agents Chemother. 2019, 63, e01508-19. [Google Scholar] [CrossRef]
- Pohl, Y.; Filippi, A.; Kirschner, H. Results after replantation of avulsed permanent teeth. II. Periodontal healing and the role of physiologic storage and antiresorptive-regenerative therapy. Dent. Traumatol. 2005, 21, 93–101. [Google Scholar] [CrossRef]
- Mehta, S.; Verma, J. Systematic Review on Relation Between Surface Treatment and Outcome of Delayed Replantation of Permanent Anterior Avulsed Teeth. J. Clin. Diagn. Res. 2021, 15, ZE01–ZE04. [Google Scholar] [CrossRef]
- Nolte, D.; Tschammler, C.; Henzler, M.; Linsenmann, R.; Angermair, J. Two-Phase Transplantation (TPTX) Concept: A New Approach for Instant Rehabilitation of Young Children after Avulsion of Central Incisor. Open J. Stomatol. 2017, 7, 136–146. [Google Scholar] [CrossRef][Green Version]
- Tschammler, C.; Angermair, J.; Heiligensetzer, M.; Linsenmann, R.; Huth, K.C.; Nolte, D. Primary canine auto-transplantation: A new surgical technique. Oral Surg. Oral Med. Oral Pathol. Oral Radiol. 2015, 119, 158–169. [Google Scholar] [CrossRef]
- Eşian, D.; Bica, C.I.; Stoica, O.E.; Dako, T.; Vlasa, A.; Bud, E.S.; Salcudean, D.; Beresescu, L. Prevalence and Manifestations of Dental Ankylosis in Primary Molars Using Panoramic X-rays: A Cross-Sectional Study. Children 2022, 9, 1188. [Google Scholar] [CrossRef]
- Al-Abdallah, M.; AlHadidi, A.; Hammad, M.; Dar-Odeh, N. What factors affect the severity of permanent tooth impaction? BMC Oral Health 2018, 18, 184. [Google Scholar] [CrossRef] [PubMed]
- Cox, D. Statistical Significance. Annu. Rev. Stat. Its Appl. 2023, 7, 1–10. [Google Scholar] [CrossRef]
- Richardson, J.T.E. Eta squared and partial eta squared as measures of effect size in educational research. Educ. Res. Rev. 2011, 6, 135–147. [Google Scholar] [CrossRef]
- Muhamad, A.-H.; Nezar, W.; Mai, A.; Azzaldeen, A. Tooth Autotransplantation; Clinical Concepts. IOSR J. Dent. Med. Sci. 2016, 15, 105–113. [Google Scholar] [CrossRef]
- Tsukiboshi, M.; Tsukiboshi, C.; Levin, L. A step-by step guide for autotransplantation of teeth. Dent. Traumatol. 2023, 39, 70–80. [Google Scholar] [CrossRef]
- Ikram, J.; Shado, R.; Pereira, I.N.; Madruga, D.; Hassan, H. Efficacy and safety of using antibiotics to prevent post-operative complications in oral implant treatment: Evidence-based review. BDJ Open 2023, 9, 47. [Google Scholar] [CrossRef]
- Cunha, B.A. Antibiotic Side Effects. Med. Clin. N. Am. 2001, 85, 149–185. [Google Scholar] [CrossRef]
- Fishman, N. Antimicrobial stewardship. Am. J. Med. 2006, 119, S53–S61. [Google Scholar] [CrossRef]
- Lamster, I.B.; Asadourian, L.; Del Carmen, T.; Friedman, P.K. The aging mouth: Differentiating normal aging from disease. Periodontol. 2000 2016, 72, 96–107. [Google Scholar] [CrossRef]
- Guo, S.; DiPietro, L.A. Factors Affecting Wound Healing. J. Dent. Res. 2010, 89, 219. [Google Scholar] [CrossRef]
- Sharma, P.; Arora, A.; Valiathan, A. Age Changes of Jaws and Soft Tissue Profile. Sci. World J. 2014, 2014, 301501. [Google Scholar] [CrossRef] [PubMed]
- Viner, R.; Booy, R. ABC of adolescence: Epidemiology of health and illness. BMJ Br. Med. J. 2005, 330, 411. [Google Scholar] [CrossRef] [PubMed][Green Version]
- Li, H.; Zhou, Y.; Li, S.; Wang, Q.; Pan, L.; Yang, X.; Zhang, N.; Jiang, F.; Han, M.; Jia, C. The Relationship between Nicotine Dependence and Age among Current Smokers. Iran J. Public Health 2015, 44, 495. Available online: https://pmc.ncbi.nlm.nih.gov/articles/PMC4441962/ (accessed on 6 March 2024). [PubMed]
- Balaji, S. Tobacco smoking and surgical healing of oral tissues: A review. Indian J. Dent. Res. 2008, 19, 344–348. [Google Scholar] [CrossRef]
- Jones, J.K.; Triplett, R.G. The relationship of cigarette smoking to impaired intraoral wound healing: A review of evidence and implications for patient care. J. Oral. Maxillofac. Surg. 1992, 50, 237–239. [Google Scholar] [CrossRef]
- Balakrishnan, G.; Narendar, R.; Kavin, T.; Venkataraman, S.; Gokulanathan, S. Incidence of Trismus in Transalveolar Extraction of Lower Third Molar. J. Pharm. Bioallied Sci. 2017, 9, S222. [Google Scholar] [CrossRef]
- Politis, C.; Schoenaers, J.; Jacobs, R.; Agbaje, J.O. Wound Healing Problems in the Mouth. Front. Physiol. 2016, 7, 507. [Google Scholar] [CrossRef]
- Selvido, D.I.; Bhattarai, B.P.; Rokaya, D.; Niyomtham, N.; Wongsirichat, N. Pain in Oral and Maxillofacial Surgery and Implant Dentistry: Types and Management. Eur. J. Dent. 2021, 15, 588–598. [Google Scholar] [CrossRef]
- Miketic, R.M.; Uffman, J.; Tumin, D.; Tobias, J.D.; Raman, V.T. Experience with Combining Pediatric Procedures into a Single Anesthetic. Pediatr. Qual. Saf. 2019, 4, E207. [Google Scholar] [CrossRef]
- Wu, L.; Zhao, H.; Weng, H.; Ma, D. Lasting effects of general anesthetics on the brain in the young and elderly: “Mixed picture” of neurotoxicity, neuroprotection and cognitive impairment. J. Anesth. 2019, 33, 321. [Google Scholar] [CrossRef]
- Hadi, A.; Marius, C.; Avi, S.; Mariel, W.; Galit, B.-B. Ankylosed permanent teeth: Incidence, etiology and guidelines for clinical management. Med. Dent. Res. 2018, 1, 1–11. [Google Scholar] [CrossRef]
- Althubaiti, A. Sample size determination: A practical guide for health researchers. J. Gen. Fam. Med. 2022, 24, 72–78. [Google Scholar] [CrossRef] [PubMed]
- Vierron, E.; Giraudeau, B. Design effect in multicenter studies: Gain or loss of power? BMC Med. Res. Methodol. 2009, 9, 39. [Google Scholar] [CrossRef] [PubMed]




| Subtype | Variable | Range/Categories | All Groups | Group 1 | Group 2 | Group 3 |
|---|---|---|---|---|---|---|
| Independent | Group | 1, 2, 3 | 67 participants (100%) | 24 participants (36%) | 21 participants (31%) | 22 participants (33%) |
| Sex | female, male | 43 females (64%) 24 males (36%) | 12 females (50%) 12 males (50%) | 14 females (67%) 7 males (33%) | 17 females (77%) 5 males (23%) | |
| Age | 11–99 years | median of 14 years (+/−4.9) | median of 12 years (+/−5.2) | median of 15 years (+/−5.6) | median of 14.5 years (+/−3.1) | |
| Nicotine abuse | no, yes | n = 6 with nicotine abuse (9%) n = 61 without nicotine abuse (91%) | n = 1 with nicotine abuse (4%) n = 23 without nicotine abuse (96%) | n = 3 with nicotine abuse (14%) n = 18 without nicotine abuse (86%) | n = 2 with nicotine abuse (9%) n = 20 without nicotine abuse (91%) | |
| Condition of tooth apex | open, closed | n = 19 with open apex (28%) n = 48 with closed apex (72%) | n = 13 with open apex (54%) n = 11 with closed apex (46%) | n = 3 with open apex (14%) n = 18 with closed apex (86%) | n = 3 with open apex (14%) n = 19 with closed apex (86%) | |
| Preoperative ankylosis | no, yes | n = 51 without ankylosis (76%) n = 16 with ankylosis (24%) | n = 18 without ankylosis (75%) n = 6 with ankylosis (25%) | n = 14 without ankylosis (67%) n = 7 with ankylosis (33%) | n = 19 without ankylosis (86%) n = 3 with ankylosis (14%) | |
| Severity of displacement | mild, moderate, severe | n = 14 with mild displacement (21%) n = 21 with moderate displacement (31%) n = 32 with severe displacement (48%) | n = 5 with mild displacement (21%) n = 8 with moderate displacement (33%) n = 11 with severe displacement (46%) | n = 4 with mild displacement (19%) n = 6 with moderate displacement (29%) n = 11 with severe displacement (52%) | n = 5 with mild displacement (23%) n = 7 with moderate displacement (32%) n = 10 with severe displacement (45%) | |
| Jaw | maxilla, mandible | n = 51 in the maxilla (76%) n = 16 in the mandible (24%) | n = 18 in the maxilla (75%) n = 6 in the mandible (25%) | n = 15 in the maxilla (71%) n = 6 in the mandible (29%) | n = 18 in the maxilla (82%) n = 4 in the mandible (18%) | |
| Total number of simultaneous canine transplantations | 1–3 | n = 53 with 1 transplantat (79%) n = 12 with 2 transplants (18%) n = 2 with 3 transplants (3%) | n = 18 with 1 transplantat (75%) n = 6 with 2 transplants (25%) | n = 16 with 1 transplantat (76%) n = 3 with 2 transplants (14%) n = 2 with 3 transplants (10%) | n = 19 with 1 transplantat (86%) n = 3 with 2 transplants (14%) | |
| Total number of simultaneous surgical interventions | 1–6 | n = 40 with 1 intervention (60%) n = 15 with 2 interventions (22%) n = 6 with 3 interventions (9%) n = 2 with 4 interventions (3%) n = 3 with 5 interventions (4%) n = 1 with 6 inteverntions (2%) | n = 14 with 1 intervention (58%) n = 9 with 2 interventions (38%) n = 1 with 4 interventions (4%) | n = 11 with 1 intervention (52%) n = 3 with 2 interventions (14%) n = 5 with 3 interventions (24%) n = 1 with 4 interventions (5%) n = 1 with 6 interventions (5%) | n = 15 with 1 intervention (68%) n = 3 with 2 interventions (14%) n = 1 with 3 interventions (4%) n = 3 with 5 interventions (14%) | |
| Preoperative orthodontic extrusion on the transplant | no, yes | n = 51 without extrusion (76%) n = 16 with extrusion (24%) | n = 19 without extrusion (79%) n = 5 with extrusion (21%) | n = 13 without extrusion (62%) n = 8 with extrusion (38%) | n = 19 without extrusion (86%) n = 3 with extrusion (14%) | |
| Extraoral storage time (EST) | 0–15 min | median of 4 minutes (+/−3.0) | median of 2 minutes (+/−0.6) | median of 4 minutes (+/−0.7) | median of 8 minutes (+/−1.7) | |
| Intraoperative complication | no, yes | n = 54 without complication (81%) n = 13 with complication (19%) | n = 20 without complication (83%) n = 4 with complication (17%) | n = 14 without complication (67%) n = 7 with complication (33%) | n = 20 without complication (91%) n = 2 with complication (9%) | |
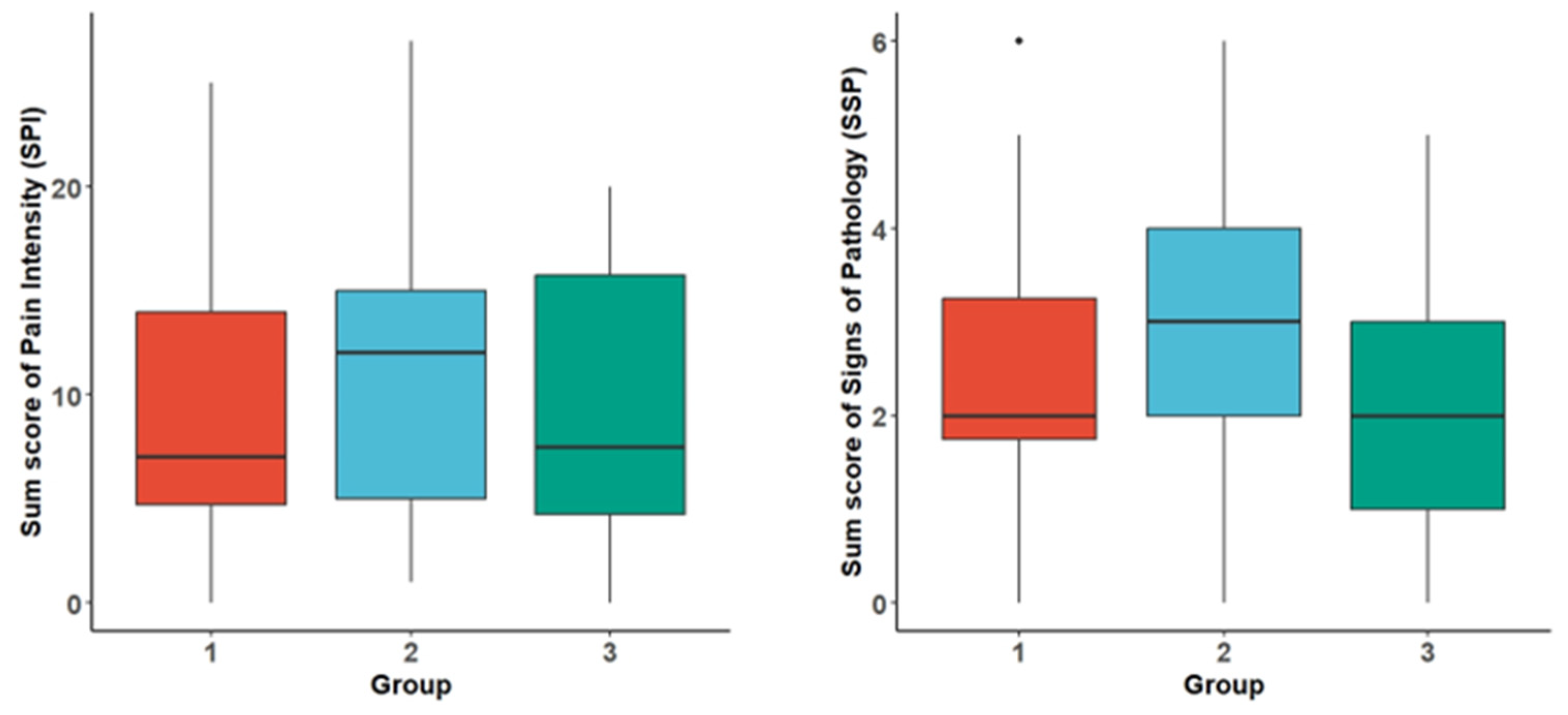
| Dependent | Sum score of Pain Intensity (SPI) | 0–70 | median of 8 (+/−6.7) | median of 7 (+/−6.4) | median of 12 (+/−7.2) | median of 7.5 (+/−6.3) |
| Sum score of Signs of Pathology (SSP) | 0–20 | median of 2 (+/−1.6) | median of 2 (+/−1.5) | median of 3 (+/−1.6) | median of 2 (+/−1.5) |
Disclaimer/Publisher’s Note: The statements, opinions and data contained in all publications are solely those of the individual author(s) and contributor(s) and not of MDPI and/or the editor(s). MDPI and/or the editor(s) disclaim responsibility for any injury to people or property resulting from any ideas, methods, instructions or products referred to in the content. |
© 2025 by the authors. Licensee MDPI, Basel, Switzerland. This article is an open access article distributed under the terms and conditions of the Creative Commons Attribution (CC BY) license (https://creativecommons.org/licenses/by/4.0/).
Share and Cite
Meinzer, S.; Nolte, D.; Huth, K.C. Autogenous Tooth Transplantation of Canines—A Prospective Clinical Study on the Influence of Adjunctive Antibiosis and Patient-Related Risk Factors During Initial Healing. J. Clin. Med. 2025, 14, 821. https://doi.org/10.3390/jcm14030821
Meinzer S, Nolte D, Huth KC. Autogenous Tooth Transplantation of Canines—A Prospective Clinical Study on the Influence of Adjunctive Antibiosis and Patient-Related Risk Factors During Initial Healing. Journal of Clinical Medicine. 2025; 14(3):821. https://doi.org/10.3390/jcm14030821
Chicago/Turabian StyleMeinzer, Sebastian, Dirk Nolte, and Karin Christine Huth. 2025. "Autogenous Tooth Transplantation of Canines—A Prospective Clinical Study on the Influence of Adjunctive Antibiosis and Patient-Related Risk Factors During Initial Healing" Journal of Clinical Medicine 14, no. 3: 821. https://doi.org/10.3390/jcm14030821
APA StyleMeinzer, S., Nolte, D., & Huth, K. C. (2025). Autogenous Tooth Transplantation of Canines—A Prospective Clinical Study on the Influence of Adjunctive Antibiosis and Patient-Related Risk Factors During Initial Healing. Journal of Clinical Medicine, 14(3), 821. https://doi.org/10.3390/jcm14030821

