Muscle Unloading During Exercise: Comparative Effects of Conventional Oxygen, NIV, and High-Flow Therapy on Neural Drive in Severe COPD
Abstract
1. Introduction
2. Materials and Methods
2.1. Population
2.2. Ethical and Data Management Protocol
2.3. Study Design
2.4. Protocol
- COT: Patients started on their usual home oxygen flow, which was then adjusted to maintain a peripheral oxygen saturation (SpO2) between 92% and 96% [28]. Continuous pulse oximetry was monitored, although mean SpO2 values were not recorded for later analysis.
- NIV: Patients were titrated as described below, with supplemental oxygen if needed, to maintain their SpO2 > 92% avoiding SpO2 values over 96%.
- HFT (Airvo 2®, Fisher &Paykel, Auckland, New Zealand): A flow of 40 litres per minute was selected. Supplemental O2 flow was initially set—before starting exercise—to maintain an estimated FiO2 similar to that required to achieve an SpO2 > 92% with COT [29], avoiding SpO2 values over 96%.
2.5. Signal Recording
- Electrodes placed on both sides of the second parasternal space to conduct parasternal and sternocleidomastoid surface EMG, as previously described [33].
- A combined transcutaneous CO2 and pulse oximetry oxygen saturation sensor (Sentec TCM®, Therwill, Switzerland).
- Chest and abdominal respiratory inductance plethysmography (RIP) belts (Braebon QZ-RIP, Braebon Medical Corp, Ottawa, ON, Canada) for determining inspiratory and expiratory onset.
- In the NIV condition, airflow was recorded as a raw signal from a calibrated pneumotachograph placed between the tubing and usual oronasal mask and connected to a differential pressure transducer (Powerlab Spirometer FE141, AD Instruments, Sydney, Australia) and pressure mask (Powerlab MLT844, AD Instruments, Australia).
2.6. Data Collection
- Respiratory variables: RR; dyspnoea perception, as measured by the BORG test scale; breathless sensation, as asked; and transcutaneously monitored CO2 (tcCO2, mmHg).
- NRD was measured as described by Jolley et al. [35]. Briefly, we choose to measure parasternal (EMGpara) and sternocleidomastoid (EMGscm) EMG signals by attaching 2 electrodes, as described previously [37]. These signals were normalized and transformed through an RMS protocol, and non-respiratory tonic artefacts in the EMG were avoided in calculations as inspiration was also signalled by the inductive plethysmography belts, and peaks were referenced to the mean baseline EMG RMS activity [38]. The RMS peak and AUC of both the EMGpara and EMGscm (µV) signals were analysed at every time step by LabChart ® Software, Version 8.0 (AD Instruments, Australia).
2.7. Statistical Analysis
3. Results
3.1. Descriptive Analysis
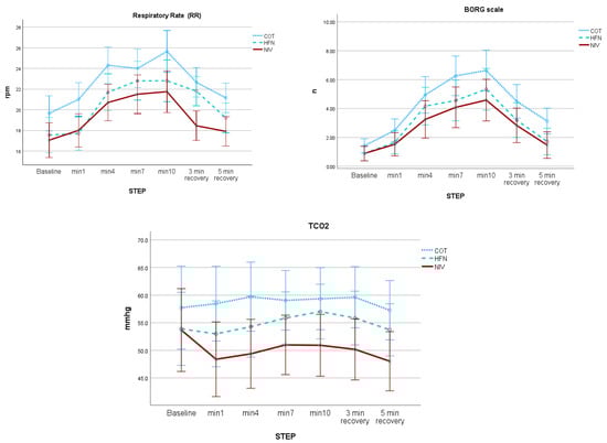
3.2. Comparative Study of Respiratory Variables
3.3. Comparative Study of Neuroventilatory Variables
3.4. Subgroup Analysis: Exercise Non-Limited Cohort (Patients Who Did Not Stop Pedalling, N = 7)
- EMGpara NRD peaks:
- ▪
- Within-subject: F (6,14) = 8.970, p < 0.001, η2 = 0.79, β−1 = 0.99.
- ▪
- Between-subject: F (2,18) = 9.116, p < 0.01, η2 = 0.50, β−1 = 0.94.
- EMGscm NRD peaks:
- ▪
- Within-subject: F (6,33) = 23.142, p < 0.001, η2 = 0.41, β−1 = 0.99.
- ▪
- Between-subject: F (2,33) = 4.760, p < 0.01, η2 = 0.22, β−1 = 0.75.
4. Discussion
5. Conclusions
Author Contributions
Funding
Institutional Review Board Statement
Informed Consent Statement
Data Availability Statement
Acknowledgments
Conflicts of Interest
Abbreviations
| COPD | Chronic Obstructive Pulmonary Disease |
| COT | Conventional Oxygen Therapy |
| NIV | Non-Invasive Ventilation |
| HFT | High-Flow Nasal Cannula Therapy (High-Flow Therapy) |
| NRD | Neural Respiratory Drive |
| iPEEP | Intrinsic End-Expiratory Positive Pressure |
| EMG | Electromyography |
| EMGpara | Parasternal Electromyography |
| EMGscm | Sternocleidomastoid Electromyography |
| SCM | Sternocleidomastoid Muscle |
| RIP | Respiratory Inductance Plethysmography |
| SpO2 | Peripheral Oxygen Saturation |
| tcCO2 | Transcutaneous Carbon Dioxide |
| FEV1 | Forced Expiratory Volume in 1 Second |
| FVC | Forced Vital Capacity |
| RV | Residual Volume |
| TLC | Total Lung Capacity |
| RV/TLC | Residual Volume to Total Lung Capacity Ratio |
| IPAP | Inspiratory Positive Airway Pressure |
| EPAP | Expiratory Positive Airway Pressure |
| FiO2 | Fraction of Inspired Oxygen |
| MIP | Maximal Inspiratory Pressure |
| RMS | Root Mean Square |
| AUC | Area Under the Curve |
| RR | Respiratory Rate |
| SD | Standard Deviation |
| CI | Confidence Interval |
| ST mode | Spontaneous/Timed Mode (Ventilator Setting) |
References
- Venkatesan, P. GOLD COPD report: 2025 update. Lancet Respir. Med. 2025, 13, e7–e8. [Google Scholar] [CrossRef] [PubMed]
- Vogiatzis, I.; Zakynthinos, G.; Andrianopoulos, V. Mechanisms of physical activity limitation in chronic lung diseases. Pulm. Med. 2012, 2012, 634761. [Google Scholar] [CrossRef] [PubMed]
- O’Donnell, D.E.; Revill, S.M.; Webb, K.A. Dynamic hyperinflation and exercise intolerance in chronic obstructive pulmonary disease. Am. J. Respir. Crit. Care Med. 2001, 164, 770–777. [Google Scholar] [CrossRef]
- Babb, T.G.; Viggiano, R.; Hurley, B.; Staats, B.; Rodarte, J.R. Effect of mild-to-moderate airflow limitation on exercise capacity. J Appl. Physiol. 1991, 70, 223–230. [Google Scholar] [CrossRef]
- Duiverman, M.L.; de Boer, E.W.; van Eykern, L.A.; de Greef, M.H.; Jansen, D.F.; Wempe, J.B.; Kerstjens, H.A.; Wijkstra, P.J. Respiratory muscle activity and dyspnea during exercise in chronic obstructive pulmonary disease. Respir. Physiol. Neurobiol. 2009, 167, 195–200. [Google Scholar] [CrossRef]
- Jolley, C.; Luo, Y.; Steier, J.; Sylvester, K.; Man, W.; Rafferty, G.; Polkey, M.; Moxham, J. Neural respiratory drive and symptoms that limit exercise in chronic obstructive pulmonary disease. Lancet 2015, 385 (Suppl. S1), S51. [Google Scholar] [CrossRef]
- Marin, J.M.; Carrizo, S.J.; Gascon, M.; Sanchez, A.; Gallego, B.; Celli, B.R. Inspiratory capacity, dynamic hyperinflation, breathlessness, and exercise performance during the 6-minute-walk test in chronic obstructive pulmonary disease. Am. J. Respir. Crit. Care Med. 2001, 163, 1395–1399. [Google Scholar] [CrossRef]
- Jolley, C.J.; Luo, Y.M.; Steier, J.; Rafferty, G.F.; Polkey, M.I.; Moxham, J. Neural respiratory drive and breathlessness in COPD. Eur. Respir. J. 2015, 45, 355–364. [Google Scholar] [CrossRef]
- McCartney, A.; Phillips, D.; James, M.; Chan, O.; Neder, J.A.; de-Torres, J.P.; Domnik, N.J.; Crinion, S.J. Ventilatory neural drive in chronically hypercapnic patients with COPD: Effects of sleep and nocturnal noninvasive ventilation. Eur. Respir. Rev. 2022, 31, 220069. [Google Scholar] [CrossRef]
- Babcock, M.A.; Pegelow, D.F.; Harms, C.A.; Dempsey, J.A. Effects of respiratory muscle unloading on exercise-induced diaphragm fatigue. J. Appl. Physiol. 2002, 93, 201–206. [Google Scholar] [CrossRef] [PubMed]
- Spahija, J.; de Marchie, M.; Albert, M.; Bellemare, P.; Delisle, S.; Beck, J.; Sinderby, C. Patient-ventilator interaction during pressure support ventilation and neurally adjusted ventilatory assist. Crit. Care Med. 2010, 38, 518–526. [Google Scholar] [CrossRef] [PubMed]
- Menadue, C.; Piper, A.J.; van ‘t Hul, A.J.; Wong, K.K. Non-invasive ventilation during exercise training for people with chronic obstructive pulmonary disease. Cochrane Database Syst. Rev. 2014, 2014, CD007714. [Google Scholar] [CrossRef]
- Bonnevie, T.; Gravier, F.E. NIV Is not Adequate for High Intensity Endurance Exercise in COPD. J. Clin. Med. 2020, 9, 1054. [Google Scholar] [CrossRef]
- Bianchi, L.; Foglio, K.; Porta, R.; Baiardi, R.; Vitacca, M.; Ambrosino, N. Lack of additional effect of adjunct of assisted ventilation to pulmonary rehabilitation in mild COPD patients. Respir. Med. 2002, 96, 359–367. [Google Scholar] [CrossRef]
- Johnson, J.E.; Gavin, D.J.; Adams-Dramiga, S. Effects of training with heliox and noninvasive positive pressure ventilation on exercise ability in patients with severe COPD. CHEST 2002, 122, 464–472. [Google Scholar] [CrossRef]
- da Luz Goulart, C.; Caruso, F.R.; Garcia de Araújo, A.S.; Garcia de Moura, S.C.; Catai, A.M.; Batista Dos Santos, P.; Kabbach, É.Z.; Arena, R.; Gonçalves Mendes, R.; Borghi-Silva, A. The Effect of Adding Noninvasive Ventilation to High-Intensity Exercise on Peripheral and Respiratory Muscle Oxygenation. Respir. Care 2023, 68, 320–329. [Google Scholar] [CrossRef] [PubMed]
- Hannink, J.D.; van Hees, H.W.; Dekhuijzen, P.N.; van Helvoort, H.A.; Heijdra, Y.F. Non-invasive ventilation abolishes the IL-6 response to exercise in muscle-wasted COPD patients: A pilot study. Scand. J. Med. Sci. Sports 2014, 24, 136–143. [Google Scholar] [CrossRef]
- Lei, Y.; He, J.; Hu, F.; Zhu, H.; Gu, J.; Tang, L.; Luo, M. Sequential inspiratory muscle exercise-noninvasive positive pressure ventilation alleviates oxidative stress in COPD by mediating SOCS5/JAK2/STAT3 pathway. BMC Pulm. Med. 2023, 23, 385. [Google Scholar] [CrossRef]
- Reuveny, R.; Ben-Dov, I.; Gaides, M.; Reichert, N. Ventilatory support during training improves training benefit in severe chronic airway obstruction. Isr. Med. Assoc. J. 2005, 7, 151–155. [Google Scholar] [CrossRef]
- Elshof, J.; Duiverman, M.L. Clinical Evidence of Nasal High-Flow Therapy in Chronic Obstructive Pulmonary Disease Patients. Respiration 2020, 99, 140–153. [Google Scholar] [CrossRef] [PubMed]
- Candia, C.; Lombardi, C.; Merola, C.; Ambrosino, P.; D’Anna, S.E.; Vicario, A.; De Marco, S.; Molino, A.; Maniscalco, M. The Role of High-Flow Nasal Cannula Oxygen Therapy in Exercise Testing and Pulmonary Rehabilitation: A Review of the Current Literature. J. Clin. Med. 2023, 13, 232. [Google Scholar] [CrossRef]
- Chen, X.; Xu, L.; Li, S.; Yang, C.; Wu, X.; Feng, M.; Wu, Y.; Zhu, J. Efficacy of respiratory support therapies during pulmonary rehabilitation exercise training in chronic obstructive pulmonary disease patients: A systematic review and network meta-analysis. BMC Med. 2024, 22, 389. [Google Scholar] [CrossRef]
- Xiang, G.; Wu, Q.; Wu, X.; Hao, S.; Xie, L.; Li, S. Non-invasive ventilation intervention during exercise training in individuals with chronic obstructive pulmonary disease: A systematic review and meta-analysis. Ann. Phys. Rehabil. Med. 2021, 64, 101460. [Google Scholar] [CrossRef] [PubMed]
- Bonnevie, T.; Gravier, F.-E.; Smondack, P.; Fresnel, E.; Rivals, I.; Brunel, H.; Combret, Y.; Médrinal, C.; Prieur, G.; Boujibar, F.; et al. Physiological effects of nasal high flow therapy during exercise in patients with chronic obstructive pulmonary disease: A crossover randomised controlled trial. Pulmonology 2025, 31, 2466922. [Google Scholar] [CrossRef]
- Varela, A.; Alvarez Kindelán, A.; Román, A.; Ussetti, P.; Zurbano, F. SEPAR (Spanish Society of Pneumology and Thoracic Surgery) Guidelines. Lung transplantation. Arch. Bronconeumol. 2001, 37, 307–315. [Google Scholar] [CrossRef] [PubMed]
- Junhasavasdikul, D.; Telias, I.; Grieco, D.L.; Chen, L.; Gutierrez, C.M.; Piraino, T.; Brochard, L. Expiratory Flow Limitation During Mechanical Ventilation. CHEST 2018, 154, 948–962. [Google Scholar] [CrossRef] [PubMed]
- Ramsook, A.H.; Mitchell, R.A.; Bell, T.; Calli, S.; Kennedy, C.; Lehmann, J.; Thompson, M.; Puyat, J.H.; Guenette, J.A. Is parasternal intercostal EMG an accurate surrogate of respiratory neural drive and biomarker of dyspnea during cycle exercise testing? Respir. Physiol. Neurobiol. 2017, 242, 40–44. [Google Scholar] [CrossRef]
- Dewan, N.A.; Bell, C.W. Effect of Low Flow and High Flow Oxygen Delivery on Exercise Tolerance and Sensation of Dyspnea: A Study Comparing the Transtracheal Catheter and Nasal Prongs. CHEST 1994, 105, 1061–1065. [Google Scholar] [CrossRef]
- Fuentes, S.; Chowdhury, Y.S. Fraction of Inspired Oxygen; StatPearls Publishing: Treasure Island, FL, USA, 2024. [Google Scholar]
- Hawkins, P.; Johnson, L.C.; Nikoletou, D.; Hamnegard, C.H.; Sherwood, R.; Polkey, M.I.; Moxham, J. Proportional assist ventilation as an aid to exercise training in severe chronic obstructive pulmonary disease. Thorax 2002, 57, 853–859. [Google Scholar] [CrossRef]
- van ‘t Hul, A.; Gosselink, R.; Hollander, P.; Postmus, P.; Kwakkel, G. Training with inspiratory pressure support in patients with severe COPD. Eur. Respir. J. 2006, 27, 65–72. [Google Scholar] [CrossRef]
- Lalmolda, C.; Flórez, P.; Corral, M.; Hernández Voth, A.; Grimau, C.; Sayas, J.; Luján, M. Does the Efficacy of High Intensity Ventilation in Stable COPD Depend on the Ventilator Model? A Bench-to-Bedside Study. Int. J. Chron. Obstr. Pulm. Dis. 2022, 17, 155–164. [Google Scholar] [CrossRef] [PubMed]
- Wu, W.; Guan, L.; Li, X.; Lin, L.; Guo, B.; Yang, Y.; Liang, Z.; Wang, F.; Zhou, L.; Chen, R. Correlation and compatibility between surface respiratory electromyography and transesophageal diaphragmatic electromyography measurements during treadmill exercise in stable patients with COPD. Int. J. Chronic Obstr. Pulm. Dis. 2017, 12, 3273–3280. [Google Scholar] [CrossRef] [PubMed]
- Catalán, J.S.; Lalmolda, C.; Hernández-Voth, A.; Corral Blanco, M.; Murphy, P.; Gonzalez-Ramos, L.; Florez-Solarana, P.; Lloret-Puig, B.; Lujan, M. Thoracoabdominal Asynchrony in Very Severe COPD: Clinical and Functional Correlates During Exercise. Arch. Bronconeumol. 2025, 61, 544–554. [Google Scholar] [CrossRef] [PubMed]
- Jolley, C.J.; Luo, Y.M.; Steier, J.; Reilly, C.; Seymour, J.; Lunt, A.; Ward, K.; Rafferty, G.F.; Polkey, M.I.; Moxham, J. Neural respiratory drive in healthy subjects and in COPD. Eur. Respir. J. 2009, 33, 289–297. [Google Scholar] [CrossRef] [PubMed]
- García-Río, F.; Calle, M.; Burgos, F.; Casan, P.; del Campo, F.; Galdiz, J.B.; Giner, J.; González-Mangado, N.; Ortega, F.; Puente Maestu, L. Spirometry. Arch. Bronconeumol. 2013, 49, 388–401. [Google Scholar] [CrossRef]
- Lin, L.; Guan, L.; Wu, W.; Chen, R. Correlation of surface respiratory electromyography with esophageal diaphragm electromyography. Respir. Physiol. Neurobiol. 2019, 259, 45–52. [Google Scholar] [CrossRef]
- Hudson, A.L.; Butler, J.E. Assessment of ‘neural respiratory drive’ from the parasternal intercostal muscles. Respir. Physiol. Neurobiol. 2018, 252–253, 16–17. [Google Scholar] [CrossRef]
- van ‘t Hul, A.; Gert, K.; Rik, G. The acute effects of noninvasive ventilatory support during exercise on exercise endurance and dyspnea in patients with chronic obstructive pulmonary disease: A systematic review. J. Cardiopulm. Rehabil. 2002, 22, 290–297. [Google Scholar] [CrossRef]
- Ambrosino, N.; Cigni, P. Non invasive ventilation as an additional tool for exercise training. Multidiscip. Respir. Med. 2015, 10, 14. [Google Scholar] [CrossRef] [PubMed]
- Costes, F.; Agresti, A.; Court-Fortune, I.; Roche, F.; Vergnon, J.M.; Barthélémy, J.C. Noninvasive ventilation during exercise training improves exercise tolerance in patients with chronic obstructive pulmonary disease. J. Cardiopulm. Rehabil. 2003, 23, 307–313. [Google Scholar] [CrossRef]
- Deniz, S.; Tuncel, Ş.; Gürgün, A.; Elmas, F. Adding Non-Invasive Positive Pressure Ventilation to Supplemental Oxygen During Exercise Training in Severe Chronic Obstructive Pulmonary Disease: A Randomized Controlled Study. Thorac. Res. Pract. 2023, 24, 262–269. [Google Scholar] [CrossRef] [PubMed]
- François, M.; François, M.; François, M.; Reißmann, H.; Reissmann, H.; Hajo, R.; Gottfried, S.B.; Stewart, B.G. Pressure Support Reduces Inspiratory Effort and Dyspnea During Exercise in Chronic Airflow Obstruction; American Thoracic Society: New York, NY, USA, 1995. [Google Scholar]
- Köhnlein, T.; Schönheit-Kenn, U.; Winterkamp, S.; Welte, T.; Kenn, K. Noninvasive ventilation in pulmonary rehabilitation of COPD patients. Respir. Med. 2009, 103, 1329–1336. [Google Scholar] [CrossRef] [PubMed]
- Wang, Y.; Liu, Y.; Liu, K.; He, Y.; Ding, H. Noninvasive Positive Pressure Ventilation versus High-Flow Nasal Cannula for Chronic Obstructive Pulmonary Disease: An Updated Narrative Review. Int. J. Chron. Obstr. Pulm. Dis. 2024, 19, 2415–2420. [Google Scholar] [CrossRef]
- Anekwe, D.; de Marchie, M.; Spahija, J. Effects of Pressure Support Ventilation May Be Lost at High Exercise Intensities in People with COPD. COPD J. Chronic Obstr. Pulm. Dis. 2017, 14, 284–292. [Google Scholar] [CrossRef]
- Xie, S.; Li, X.; Liu, Y.; Huang, J.; Yang, F. Effect of home noninvasive positive pressure ventilation combined with pulmonary rehabilitation on dyspnea severity and quality of life in patients with severe stable chronic obstructive pulmonary disease combined with chronic type II respiratory failure: A randomized controlled trial. BMC Pulm. Med. 2025, 25, 185. [Google Scholar] [CrossRef]
- Contreras-Briceño, F.; Espinosa-Ramírez, M.; Rivera-Greene, A.; Guerra-Venegas, C.; Lungenstrass-Poulsen, A.; Villagra-Reyes, V.; Caulier-Cisterna, R.; Araneda, O.F.; Viscor, G. Monitoring Changes in Oxygen Muscle during Exercise with High-Flow Nasal Cannula Using Wearable NIRS Biosensors. Biosensors 2023, 13, 985. [Google Scholar] [CrossRef]
- Jácome, C.; Jácome, M.; Correia, S.; Flores, I.; Farinha, P.; Duarte, M.; Winck, J.C.; Sayas Catalan, J.; Díaz Lobato, S.; Luján, M.; et al. Effectiveness, Adherence and Safety of Home High Flow Nasal Cannula in Chronic Respiratory Disease and Respiratory Insufficiency: A Systematic Review. Arch. Bronconeumol. 2024, 60, 490–502. [Google Scholar] [CrossRef] [PubMed]
- Moreno-Zabaleta, R.; Torne, M.L.; Catalán, J.S.; Torres, P.G.; Padilla, D.L.; Añón, M.M.; Beltrán, S.M.; Sanz, A.H.; Martínez, M.G.; Mediano, O. SEPAR Position Paper on the Use of High Flow Nasal Cannula Therapy in the Home Setting. Arch. Bronconeumol. 2025; in press. [Google Scholar] [CrossRef]
- Naya Prieto, A.; López Chang, C.; Carballosa de Miguel, M.D.P.; Fernández Ormaechea, M.I.; Zambrano Chacón, M.; Jiménez Hiscock, L.; Peces-Barba Romero, G.; Rodríguez Nieto, M.J.; Heili Frades, S.B. High-Flow Oxygen: Respiratory Mechanics in Lung Alveoli of Patients After Acute Respiratory Failure. Open Respir. Arch. 2024, 6, 100335. [Google Scholar] [CrossRef]
- Dreher, M.; Storre, J.H.; Windisch, W. Noninvasive ventilation during walking in patients with severe COPD: A randomised cross-over trial. Eur. Respir. J. 2007, 29, 930–936. [Google Scholar] [CrossRef]
- Carlin, B.W.; Wiles, K.S.; McCoy, R.W.; Brennan, T.; Easley, D.; Thomashow, R.J. Effects of a Highly Portable Noninvasive Open Ventilation System on Activities of Daily Living in Patients with COPD. Chronic Obstr. Pulm. Dis. 2015, 2, 35–47. [Google Scholar] [CrossRef] [PubMed][Green Version]



| Patient Characteristics | |
|---|---|
| Variable | Mean ± SD |
| Age (years) | 60.0 ± 3.9 |
| FEV1 (mL; % predicted) | 580 ± 129; 19.3 ± 4.1 |
| FVC (mL; % predicted) | 2038.5 ± 739.6; 51.5 ± 18.0 |
| RV (mL; % predicted | 6240.6 ± 1242.5; 286.4 ± 28.2 |
| TLC (mL; % predicted) | 8563.9 ± 1358.9; 140.9 ± 28.2 |
| RV/TLC ratio (%) | 73.4 ± 7.8 |
| pO2 (mmHg) | 60.7 ± 14.2 |
| pCO2 (mmHg) | 51.1 ± 6.8 |
| pH (units) | 7.40 ± 0.1 |
| Ventilator Parameters | |
| IPAP at baseline (cmH2O) | 19.3 ± 5.0 |
| IPAP during exercise (cmH2O) | 21.9 ± 5.7 |
| EPAP at baseline (cmH2O) | 9.0 ± 2.7 |
| EPAP during exercise (cmH2O) | 9.5 ± 3.1 |
| Parameter | F-Statistic | p-Value | Effect Size (ⴄ2) | Power (β−1) |
| Respiratory Rate (RR) | ||||
| Intrasubject | 12.00 | p < 0.05 | 0.20 | 0.88 |
| Intersubject | 6.07 | p < 0.01 | 0.20 | 0.86 |
| Borg Scale | ||||
| Intrasubject | 26.08 | p < 0.001 | 0.77 | 1.00 |
| Intersubject | 4221.59 | p < 0.001 | 0.76 | 1.00 |
| TcCO2 (mmHg) | ||||
| Intrasubject | 1191.23 | p < 0.001 | 0.96 | 1.00 |
| Intersubject | 26.08 | p = 0.1 | 0.10 | 0.43 |
| Parasternal peak EMG | ||||
| Intrasubject | 25.95 | p < 0.001 | 0.68 | 1 |
| Intersubject | 2.56 | 0.05 | 0.09 | 0.56 |
| Parasternal area EMG | ||||
| Intrasubject | 15.21 | p < 0.001 | 0.61 | 0.99 |
| Intersubject | 2.52 | p = 0.08 | 0.1 | 0.48 |
| SCM peak EMG | ||||
| Intrasubject | 6.53 | 0.08 | 0.2 | 0.67 |
| Intersubject | 2.57 | 0.1 | 0.05 | 0.35 |
| SCM area EMG | ||||
| Intrasubject | 28.04 | p < 0.001 | 0.32 | 1 |
| Intersubject | 2.77 | 0.07 | 0.1 | 0.52 |
| Parameter | Condition | Mean ± SD | 95% CI |
|---|---|---|---|
| Parasternal NRD in µV (peak) | COT | 1180.00 ± 200.10 | 781.68 to 1579.58 |
| NIV | 488.81 ± 199.09 | 89.80 to 887.70 | |
| HFT | 807.80 ± 204.32 | 398.50 to 1217.15 | |
| SCM NRD in µV (peak) | COT | 1434.24 ± 265.17 | 903.30 to 1965.24 |
| NIV | 758.90 ± 265.17 | 227.80 to 1289.80 | |
| HFT | 1256.10 ± 265.17 | 725.15 to 1787.10 |
Disclaimer/Publisher’s Note: The statements, opinions and data contained in all publications are solely those of the individual author(s) and contributor(s) and not of MDPI and/or the editor(s). MDPI and/or the editor(s) disclaim responsibility for any injury to people or property resulting from any ideas, methods, instructions or products referred to in the content. |
© 2025 by the authors. Licensee MDPI, Basel, Switzerland. This article is an open access article distributed under the terms and conditions of the Creative Commons Attribution (CC BY) license (https://creativecommons.org/licenses/by/4.0/).
Share and Cite
Sayas-Catalán, J.; Villena Garrido, V.; Lalmolda, C.; Hernández-Voth, A.; Corral-Blanco, M.; Jiménez-Gómez, M.; González-Ramos, L.; Luján, M. Muscle Unloading During Exercise: Comparative Effects of Conventional Oxygen, NIV, and High-Flow Therapy on Neural Drive in Severe COPD. J. Clin. Med. 2025, 14, 8150. https://doi.org/10.3390/jcm14228150
Sayas-Catalán J, Villena Garrido V, Lalmolda C, Hernández-Voth A, Corral-Blanco M, Jiménez-Gómez M, González-Ramos L, Luján M. Muscle Unloading During Exercise: Comparative Effects of Conventional Oxygen, NIV, and High-Flow Therapy on Neural Drive in Severe COPD. Journal of Clinical Medicine. 2025; 14(22):8150. https://doi.org/10.3390/jcm14228150
Chicago/Turabian StyleSayas-Catalán, Javier, Victoria Villena Garrido, Cristina Lalmolda, Ana Hernández-Voth, Marta Corral-Blanco, Miguel Jiménez-Gómez, Laura González-Ramos, and Manel Luján. 2025. "Muscle Unloading During Exercise: Comparative Effects of Conventional Oxygen, NIV, and High-Flow Therapy on Neural Drive in Severe COPD" Journal of Clinical Medicine 14, no. 22: 8150. https://doi.org/10.3390/jcm14228150
APA StyleSayas-Catalán, J., Villena Garrido, V., Lalmolda, C., Hernández-Voth, A., Corral-Blanco, M., Jiménez-Gómez, M., González-Ramos, L., & Luján, M. (2025). Muscle Unloading During Exercise: Comparative Effects of Conventional Oxygen, NIV, and High-Flow Therapy on Neural Drive in Severe COPD. Journal of Clinical Medicine, 14(22), 8150. https://doi.org/10.3390/jcm14228150

