Structural and Textural Ultrasound Features of Gastrocnemius Medialis in Chronic Stroke: Associations with Functional Outcomes and Spasticity
Abstract
1. Introduction
2. Materials and Methods
3. Results
3.1. Anthropometric, Sociodemographic and Clinical Characteristics
3.2. Reliability of Ultrasound and Functional Measurements
3.3. Differences in Ankle Range of Motion and Muscle Strength in Healthy and Stroke Participants
3.4. Differences in Functional Mobility and Walking Speed Between Healthy and Stroke Participants
3.5. Differences in Ultrasound Muscle Parameters Between Healthy and Stroke Participants
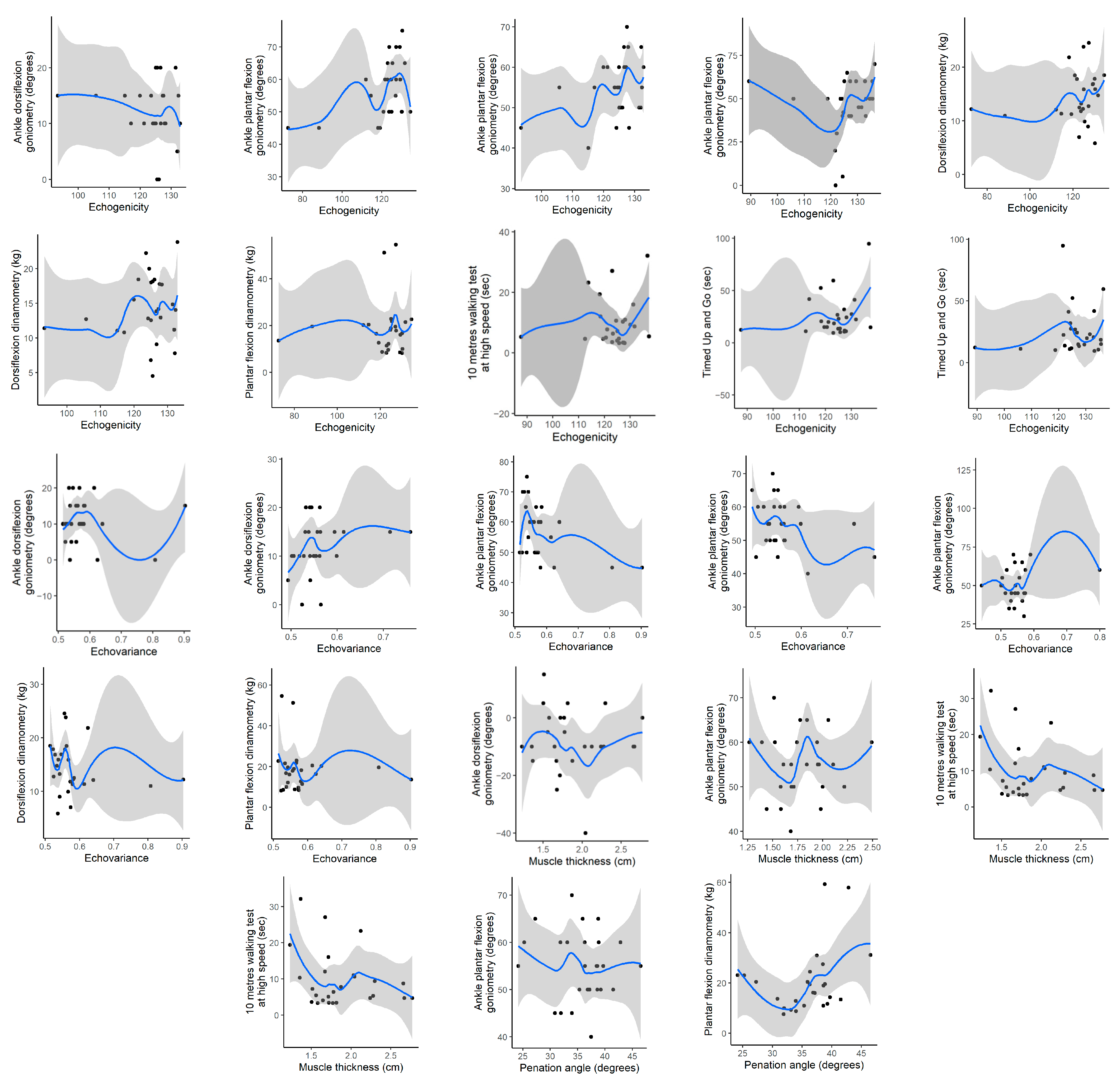
3.6. Correlations Between Ultrasound Parameters and Functional Mobility, Walking Speed, Ankle Strength, Range of Motion, and Spasticity in Stroke Participants and Healthy Controls
3.7. Correlations Between Ultrasound Parameters and Functional Differences According to Spasticity Severity in Participants with Stroke
4. Discussion
5. Conclusions
Author Contributions
Funding
Institutional Review Board Statement
Informed Consent Statement
Data Availability Statement
Acknowledgments
Conflicts of Interest
Abbreviations
| GM | Gastrocnemius Medialis |
| DALYs | Disability-Adjusted Life Years |
| MRI | Magnetic Resonance Imaging |
| CT | Computed Tomography |
| GLCM | Gray Level Co-occurrence Matrix |
| GLRLM | Grey Level Run-Length Matrix |
| GLSZM | Grey Level Size-Zone Matrix |
| IRENEA | Instituto de Rehabilitación Neurológica |
| VAS-10 | Visual Analogue Scale -10 |
| IPAQ | International Physical Activity Questionnaire |
| ROIs | Regions of interest |
| TUG | Time Up and Go |
| 10MWT | 10-Meter Walk Test |
| MAS | Modified Ashworth Scale |
| ICC | Intraclass Correlation Coefficient |
| SEM | Standard Error of Measurement |
| MDC | Minimal Detectable Change |
| ADF | Ankle Dorsiflexion |
| APF | Ankle Plantarflexion |
Appendix A
Appendix A.1
| Stroke Affected Leg | Stroke Non Affected Leg | Healthy Dominant Leg | Healthy Non Dominant Leg | |||||||||||||||
|---|---|---|---|---|---|---|---|---|---|---|---|---|---|---|---|---|---|---|
| ICC (95%CI) | Mean (95%CI) | SEM (95%CI) | MDC | ICC (95%CI) | Mean (95%CI) | SEM (95%CI) | MDC | ICC (95%CI) | Mean (95%CI) | SEM (95%CI) | MDC | ICC (95%CI) | Mean (95%CI) | SEM (95%CI) | MDC | |||
| Dorsiflexor dynamometry (kg) | 0.97 (0.95, 0.98) | 3.27 (1.63, 4.91) | 0.73 (0.56, 0.90) | 2.02 × 100 | 0.94 0(0.90, 0.97) | 9.54 (7.66, 11.41) | 1.13 (0.84, 1.43) | 3.14 × 100 | 0.91 (0.85, 0.95) | 14.43 (12.52, 16.34) | 1.46 (1.07, 1.85) | 4.04 × 100 | 0.95 (0.92, 0.97) | 14.25 (12.36, 16.14) | 1.00 (0.75, 1.26) | 2.79 × 100 | ||
| Plantarflexor dynamometry (kg) | 0.96 (0.93, 0.98) | 6.55 (3.94, 9.17) | 1.27 (0.91, 1.64) | 3.53 × 100 | 0.92 (0.86, 0.95) | 11.23 (8.58, 13.88) | 1.93 (1.35, 2.51) | 5.36 × 100 | 0.95 (0.92, 0.97) | 18.56 (14.02, 23.10) | 2.51 (1.74, 3.28) | 6.96 × 100 | 0.98 (0.96, 0.99) | 20.46 (15.20, 25.72) | 1.95 (1.39, 2.50) | 5.40 × 100 | ||
| Muscle thickness (cm) | 0.49 (0.29, 0.67) | 1.87 (1.70, 2.04) | 0.37 (0.24, 0.5) | 1.02 × 100 | 0.89 (0.82, 0.94) | 1.96 (1.84, 2.08) | 0.10 (0.08, 0.12) | 2.83 × 10−1 | 0.89 (0.83, 0.94) | 1.73 (1.61, 1.85) | 0.10 (0.08, 0.12) | 2.83 × 10−1 | 0.77 (0.65, 0.87) | 1.78 (1.67, 1.89) | 0.14 (0.10, 0.18) | 3.94 × 10−1 | ||
| Penation angle (°) | 0.64 (0.47, 0.78) | 32.48 (30.84, 34.13) | 2.84 (2.33, 3.36) | 7.89 × 100 | 0.62 (0.44, 0.77) | 34.56 (32.70, 36.42) | 3.31 (2.76, 3.87) | 9.19 × 100 | 0.45 (0.25, 0.64 | 34.83 (33.23, 36.42) | 3.66 (3.05, 4.27) | 1.02 × 101 | 0.65 (0.48, 0.79) | 35.81 (33.74, 37.89) | 3.49 (2.83, 4.15) | 9.67 × 100 | ||
| First-order features | Echogenicity | 0.49 (0.3, 0.68) | 125.62 (121.62, 129.62) | 8.63 (6.43, 10.83) | 2.39 × 101 | 0.58 (0.40, 0.74) | 123.56 (119.75, 127.36) | 7.28 (5.78, 8.78) | 2.02 × 101 | 0.78 (0.66, 0.87) | 121.50 (116.13, 126.88) | 6.67 (5.11, 8.24) | 1.85 × 101 | 0.61 (0.44, 0.76) | 123.94 (120.47, 127.41) | 6.24 (5.13, 7.34) | 1.73 × 101 | |
| Echovariance | 0.53 (0.34, 0.70) | 0.54 (0.51, 0.56) | 0.05 (0.04, 0.07) | 1.51 × 10−1 | 0.62 (0.44, 0.77) | 0.55 (0.52, 0.57) | 0.04 (0.03, 0.05) | 1.21 × 10−1 | 0.85 (0.75, 0.91) | 0.58 (0.55, 0.62) | 0.04 (0.03, 0.04) | 9.90 × 10−2 | 0.77 (0.64, 0.87) | 0.56 (0.54, 0.58) | 0.03 (0.02, 0.04) | 8.50 × 10−2 | ||
| Energy | 0.53 (0.33, 0.70) | 904,274,537.42 (859,966,796.88, 948,582,277.96) | 91,274,565.39 (69,317,674.66, 113,231,456.12) | 2.53 × 108 | 0.65 (0.48, 0.79) | 884,829,166.95 (836,461,664.94, 933,196,668.96) | 80,694,612.92 (64,241,595.67, 97,147,630.18) | 2.24 × 10+8 | 0.72 (0.57, 0.83) | 908,245,691.82 (855,877,363.68, 960,614,019.96) | 76,350,147.09 (60,430,907.37, 92,269,386.80) | 2.12 × 108 | 0.51 (0.31, 0.68) | 926,233,986.85 (891,434,956.38, 961,033,017.32) | 74,659,004.76 (60,793,415.39, 88,524,594.13) | 2.07 × 108 | ||
| Entropy | 0.57 (0.39, 0.73) | 7.79 (7.70, 7.89) | 0.18 (0.11, 0.24) | 4.94 × 10−1 | 0.76 (0.63, 0.86) | 7.82 (7.72, 7.91) | 0.13 (0.08, 0.18) | 3.64 × 10−1 | 0.85 (0.76, 0.91) | 7.78 (7.64, 7.93) | 0.14 (0.09, 0.20) | 4.01 × 10−1 | 0.83 (0.73, 0.90) | 7.81 (7.72, 7.89) | 0.09 (0.06, 0.12) | 2.56 × 10−1 | ||
| Kurtosis | 0.63 (0.46, 0.77) | −1.01 (−1.07, −0.96) | 0.09 (0.07, 0.11) | 2.58 × 10−1 | 0.31 (0.11, 0.53) | −1.04 (−1.09, −1.00) | 0.12 (0.09, 0.15) | 3.31 × 10−1 | 0.26 (0.06, 0.49) | −1.10 (−1.13, −1.08) | 0.08 (0.06, 0.10) | 2.33 × 10−1 | 0.20 (0.00, 0.42) | −1.08 (−1.11, −1.05) | 0.10 (0.07, 0.12) | 2.73 × 10−1 | ||
| Median | 0.46 (0.26, 0.65) | 124.10 (118.90, 129.30) | 11.89 (8.82, 14.96) | 3.30 × 101 | 0.51 (0.31, 0.69) | 121.23 (116.41, 126.05) | 10.30 (8.11, 12.49) | 2.85 × 101 | 0.76 (0.63, 0.86) | 118.67 (111.65, 125.70) | 9.23 (7.27, 11.19) | 2.56 × 101 | 0.50 (0.31, 0.68) | 122.28 (118.01, 126.56) | 9.10 (7.29, 10.91) | 2.52 × 101 | ||
| Variance | 0.62 (0.45, 0.77) | 4461.49 (4228.32, 4694.66) | 411.92 (335.12, 488.73) | 1.14 × 103 | 0.54 (0.35, 0.71) | 4527.55 (4311.62, 4743.49) | 440.85 (339.76, 541.94) | 1.22 × 103 | 0.12 (−0.06, 0.35) | 4866.73 (4760.51, 4972.96) | 387.19 (304.89, 469.49) | 1.07 × 103 | 0.53 (0.33, 0.70) | 4767.81 (4618.47, 4917.15) | 313.52 (255.66, 371.37) | 8.69 × 102 | ||
| Standard deviation | 0.63 (0.46, 0.77) | 66.59 (64.75, 68.43) | 3.20 (2.56, 3.84) | 8.87 × 100 | 0.56 (0.38, 0.73) | 67.10 (65.35, 68.84) | 3.43 (2.61, 4.24) | 9.50 × 100 | 0.13 (−0.06, 0.36) | 69.70 (68.92, 70.48) | 2.82 (2.21, 3.43) | 7.82 × 100 | 0.52 (0.33, 0.70) | 68.97 (67.88, 70.07) | 2.31 (1.87, 2.75) | 6.40 × 100 | ||
| Skewness | 0.46 (0.26, 0.65) | 0.04 (−0.02, 0.10) | 0.13 (0.10, 0.17) | 3.76 × 10−1 | 0.37 (0.17, 0.58) | 0.07 (0.03, 0.12) | 0.11 (0.09, 0.14) | 3.14 × 10−1 | 0.64 (0.47, 0.78) | 0.09 (0.03, 0.15) | 0.10 (0.08, 0.12) | 2.87 × 10−1 | 0.26 (0.06, 0.48) | 0.05 (0.01, 0.08) | 0.12 (0.09, 0.14) | 3.23 × 10−1 | ||
| Uniformity | 0.29 (0.09, 0.51) | 0.01 (0.00, 0.01) | 0.01 (0.00, 0.01) | 1.60 × 10−2 | 0.44 (0.24, 0.63) | 0.01 (0.00, 0.01) | 0.01 (0.00, 0.01) | 1.50 × 10−2 | 0.78 (0.66, 0.87) | 0.01 (0.00, 0.01) | 0.00 (0.00, 0.01) | 1.20 × 10−2 | 0.75 (0.61, 0.85) | 0.01 (0.00, 0.01) | 0.00 (0.00, 0.00) | 6.00 × 10−3 | ||
| Second-order features | Gray Level Co-occurrence Matrix (GLCM) features | Homogeneity | 0.281 (0.079, 0.5) | 0.035 (0.033, 0.037) | 0.007 (0.004, 0.01) | 1.90 × 10−2 | 0.324 (0.121, 0.538) | 0.035 (0.032, 0.037) | 0.007 (0.005, 0.01) | 2.00 × 10−2 | 0.751 (0.616, 0.854) | 0.035 (0.031, 0.039) | 0.005 (0.003, 0.007) | 1.50 × 10−2 | 0.631 (0.459, 0.774) | 0.034 (0.032, 0.036) | 0.003 (0.002, 0.004) | 9.00 × 10−3 |
| Contrast | 0.54 (0.35, 0.71) | 0.50 (0.47, 0.53) | 0.06 (0.05, 0.08) | 1.81 × 10−1 | 0.58 (0.40, 0.74) | 0.51 (0.48, 0.53) | 0.05 (0.04, 0.06) | 1.51 × 10−1 | 0.49 (0.30, 0.67) | 0.52 (0.49, 0.54) | 0.06 (0.05, 0.07) | 1.64 × 10−1 | 0.44 (0.24, 0.63) | 0.50 (0.48, 0.53) | 0.06 (0.05, 0.08) | 1.75 × 10−1 | ||
| Correlation | 0.50 (0.31, 0.68) | 0.98 (0.98, 0.985) | 0.003 (0.002, 0.004) | 8.00 × 10−3 | 0.631 (0.459, 0.774) | 0.984 (0.982, 0.985) | 0.002 (0.002, 0.003) | 6.00 × 10−3 | 0.475 (0.277, 0.661) | 0.985 (0.984, 0.986) | 0.002 (0.002, 0.002) | 5.00 × 10−3 | 0.457 (0.257, 0.647) | 0.985 (0.984, 0.986) | 0.002 (0.002, 0.003) | 6.00 × 10−3 | ||
| Energy | 0.249 (0.049, 0.471) | 0.011 (0.009, 0.013) | 0.007 (0.004, 0.01) | 1.90 × 10−2 | 0.371 (0.168, 0.578) | 0.011 (0.008, 0.014) | 0.007 (0.004, 0.01) | 1.90 × 10−2 | 0.762 (0.632, 0.861) | 0.012 (0.009, 0.016) | 0.005 (0.003, 0.007) | 1.30 × 10−2 | 0.753 (0.619, 0.855) | 0.011 (0.009, 0.013) | 0.003 (0.002, 0.004) | 7.00 × 10−3 | ||
| Entropy | 0.542 (0.353, 0.711) | 1.588 (1.571, 1.605) | 0.035 (0.026, 0.043) | 9.60 × 10−2 | 0.491 (0.295, 0.673) | 1.59 (1.574, 1.607) | 0.036 (0.027, 0.046) | 1.01 × 10−1 | 0.695 (0.542, 0.818) | 1.598 (1.578, 1.618) | 0.031 (0.022, 0.039) | 8.50 × 10−2 | 0.578 (0.395, 0.737) | 1.596 (1.582, 1.61) | 0.027 (0.021, 0.032) | 7.40 × 10−2 | ||
| Information measures of correlation A | 0.489 (0.293, 0.672) | 0.772 (0.765, 0.778) | 0.013 (0.011, 0.016) | 3.70 × 10−2 | 0.471 (0.273, 0.658) | 0.771 (0.766, 0.777) | 0.012 (0.01, 0.015) | 3.40 × 10−2 | 0.503 (0.308, 0.682) | 0.772 (0.765, 0.778) | 0.014 (0.012, 0.017) | 3.90 × 10−2 | 0.289 (0.087, 0.507) | 0.777 (0.771, 0.783) | 0.017 (0.013, 0.022) | 4.80 × 10−2 | ||
| Information measures of correlation B | 0.387 (0.184, 0.591) | 0.913 (0.911, 0.915) | 0.005 (0.004, 0.006) | 1.40 × 10−2 | 0.467 (0.269, 0.655) | 0.913 (0.911, 0.915) | 0.005 (0.003, 0.006) | 1.30 × 10−2 | 0.61 (0.433, 0.759) | 0.915 (0.913, 0.917) | 0.004 (0.003, 0.005) | 1.00 × 10−2 | 0.163 (−0.029, 0.39) | 0.916 (0.915, 0.917) | 0.004 (0.003, 0.005) | 1.10 × 10−2 | ||
| Maximum Value Probability | 0.549 (0.361, 0.716) | 0.03 (0.019, 0.04) | 0.021 (0.013, 0.029) | 5.90 × 10−2 | 0.697 (0.544, 0.819) | 0.029 (0.017, 0.041) | 0.018 (0.011, 0.026) | 5.10 × 10−2 | 0.828 (0.726, 0.902) | 0.039 (0.022, 0.056) | 0.019 (0.012, 0.026) | 5.20 × 10−2 | 0.883 (0.808, 0.934) | 0.035 (0.023, 0.048) | 0.011 (0.008, 0.015) | 3.10 × 10−2 | ||
| Cluster prominence | 0.595 (0.415, 0.749) | 7697.755 (7087.671, 8307.838) | 1125.032 (907.974, 1342.09) | 3.12 × 103 | 0.576 (0.392, 0.735) | 7784.223 (7217.055, 8351.392) | 1095.595 (843.187, 1348.003) | 3.04 × 103 | 0.121 (−0.064, 0.348) | 8732.217 (8431.979, 9032.455) | 1103.73 (850.745, 1356.714) | 3.06 × 103 | 0.611 (0.434, 0.76) | 8492.255 (8037.317, 8947.193) | 832.887 (675.661, 990.113) | 2.31 × 103 | ||
| Sum average | 0.497 (0.301, 0.677) | 16.782 (16.308, 17.257) | 1.022 (0.76, 1.284) | 2.83 × 100 | 0.588 (0.407, 0.744) | 16.557 (16.101, 17.012) | 0.859 (0.678, 1.039) | 2.38 × 100 | 0.79 (0.671, 0.878) | 16.311 (15.666, 16.955) | 0.787 (0.601, 0.974) | 2.18 × 100 | 0.629 (0.456, 0.773) | 16.594 (16.177, 17.012) | 0.729 (0.598, 0.861) | 2.02 × 100 | ||
| Sum entropy | 0.489 (0.292, 0.671) | 1.421 (1.409, 1.433) | 0.026 (0.017, 0.034) | 7.20 × 10−2 | 0.519 (0.326, 0.694) | 1.423 (1.411, 1.436) | 0.027 (0.018, 0.035) | 7.40 × 10−2 | 0.744 (0.606, 0.849) | 1.429 (1.414, 1.444) | 0.02 (0.013, 0.027) | 5.60 × 10−2 | 0.634 (0.463, 0.776) | 1.43 (1.422, 1.438) | 0.014 (0.011, 0.017) | 3.90 × 10−2 | ||
| Cluster Shade | 0.333 (0.13, 0.546) | 17.276 (−7.435, 41.987) | 67.029 (50.912, 83.147) | 1.86 × 102 | 0.375 (0.171, 0.58) | 29.94 (8.948, 50.932) | 53.837 (43.288, 64.385) | 1.49 × 102 | 0.561 (0.375, 0.725) | 44.354 (15.163, 73.545) | 56.95 (46.531, 67.369) | 1.58 × 102 | 0.302 (0.099, 0.519) | 20.028 (−0.885, 40.94) | 59.161 (46.52, 71.801) | 1.64 × 102 | ||
| Sum variance | 0.487 (0.29, 0.67) | 301.48 (288.201, 314.759) | 29.048 (22.031, 36.066) | 8.05 × 101 | 0.573 (0.389, 0.734) | 295.005 (281.528, 308.483) | 25.781 (20.582, 30.981) | 7.15 × 101 | 0.723 (0.578, 0.835) | 293.374 (276.944, 309.803) | 23.734 (18.764, 28.704) | 6.58 × 101 | 0.52 (0.327, 0.695) | 299.225 (288.231, 310.219) | 23.068 (18.782, 27.355) | 6.39 × 101 | ||
| Auto correlation | 0.505 (0.311, 0.684) | 339.418 (325.347, 353.488) | 29.933 (23.101, 36.764) | 8.30 × 101 | 0.54 (0.351, 0.71) | 333.105 (320.415, 345.795) | 25.576 (21.378, 29.774) | 7.09 × 101 | 0.691 (0.535, 0.815) | 329.227 (312.536, 345.919) | 25.8 (20.579, 31.022) | 7.15 × 101 | 0.474 (0.276, 0.66) | 335.099 (323.622, 346.575) | 25.872 (21.16, 30.584) | 7.17 × 101 | ||
| Difference entropy | 0.52 (0.327, 0.695) | 0.331 (0.322, 0.339) | 0.018 (0.014, 0.021) | 4.90 × 10−2 | 0.563 (0.377, 0.726) | 0.332 (0.324, 0.339) | 0.015 (0.012, 0.017) | 4.00 × 10−2 | 0.5 (0.305, 0.68) | 0.334 (0.327, 0.342) | 0.016 (0.013, 0.02) | 4.50 × 10−2 | 0.439 (0.238, 0.633) | 0.331 (0.323, 0.338) | 0.017 (0.013, 0.021) | 4.80 × 10−2 | ||
| Dissimilarity | 0.483 (0.286, 0.667) | 0.875 (0.839, 0.911) | 0.081 (0.065, 0.097) | 2.24 × 10−1 | 0.555 (0.367, 0.72) | 0.877 (0.844, 0.909) | 0.064 (0.053, 0.075) | 1.78 × 10−1 | 0.558 (0.371, 0.722) | 0.873 (0.839, 0.907) | 0.066 (0.054, 0.078) | 1.83 × 10−1 | 0.474 (0.276, 0.66) | 0.857 (0.825, 0.89) | 0.072 (0.054, 0.091) | 2.00 × 10−1 | ||
| Difference variance | 0.533 (0.343, 0.705) | 0.375 (0.353, 0.398) | 0.048 (0.038, 0.057) | 1.32 × 10−1 | 0.601 (0.423, 0.753) | 0.377 (0.356, 0.397) | 0.038 (0.031, 0.046) | 1.06 × 10−1 | 0.467 (0.268, 0.654) | 0.385 (0.366, 0.404) | 0.042 (0.033, 0.052) | 1.17 × 10−1 | 0.437 (0.237, 0.631) | 0.378 (0.359, 0.397) | 0.044 (0.034, 0.054) | 1.22 × 10−1 | ||
| Gray Level Run-Length Matrix (GLRLM) features | Grey level non- uniformity | 0.703 (0.552, 0.823) | 882.638 (851.278, 913.998) | 47.202 (36.123, 58.281) | 1.31 × 102 | 0.748 (0.613, 0.852) | 878.509 (846.685, 910.333) | 43.616 (34.123, 53.109) | 1.21 × 102 | 0.606 (0.429, 0.757) | 877.289 (858.21, 896.368) | 34.507 (27.486, 41.528) | 9.56 × 101 | 0.457 (0.258, 0.647) | 874.744 (853.691, 895.797) | 48.07 (36.415, 59.724) | 1.33 × 102 | |
| High gray level run emphasis | 0.551 (0.363, 0.717) | 322.095 (309.814, 334.377) | 24.356 (19.301, 29.411) | 6.75 × 101 | 0.469 (0.271, 0.656) | 317.928 (308.754, 327.102) | 20.594 (16.811, 24.377) | 5.71 × 101 | 0.633 (0.462, 0.776) | 314.627 (303.15, 326.104) | 19.799 (15.846, 23.752) | 5.49 × 101 | 0.431 (0.23, 0.626) | 318.114 (309.436, 326.792) | 20.873 (17.672, 24.075) | 5.79 × 101 | ||
| Low gray level run emphasis | 0.615 (0.44, 0.764) | 0.021 (0.018, 0.024) | 0.005 (0.004, 0.007) | 1.50 × 10−2 | 0.803 (0.689, 0.886) | 0.021 (0.018, 0.024) | 0.003 (0.003, 0.004) | 1.00 × 10−2 | 0.871 (0.79, 0.927) | 0.026 (0.021, 0.03) | 0.005 (0.003, 0.006) | 1.30 × 10−2 | 0.865 (0.782, 0.924) | 0.023 (0.02, 0.027) | 0.003 (0.003, 0.004) | 9.00 × 10−3 | ||
| Long run emphasis | 0.415 (0.213, 0.613) | 7.454 (6.414, 8.494) | 2.523 (1.612, 3.433) | 6.99 × 100 | 0.364 (0.16, 0.572) | 7.4 (6.282, 8.518) | 2.909 (1.81, 4.009) | 8.07 × 100 | 0.668 (0.505, 0.799) | 8.348 (6.764, 9.933) | 2.564 (1.68, 3.448) | 7.11 × 100 | 0.777 (0.652, 0.87) | 8.458 (7.093, 9.823) | 1.763 (1.269, 2.257) | 4.89 × 100 | ||
| Long run high gray level emphasis | 0.375 (0.172, 0.581) | 2641.528 (2467.082, 2815.974) | 446.941 (337.112, 556.771) | 1.24 × 103 | 0.462 (0.263, 0.651) | 2567.519 (2395.138, 2739.899) | 393.633 (324.604, 462.663) | 1.09 × 103 | 0.434 (0.233, 0.629) | 2633.8 (2433.21, 2834.39) | 473.513 (351.066, 595.959) | 1.31 × 103 | 0.218 (0.021, 0.443) | 2843.383 (2662.989, 3023.777) | 570.757 (414.568, 726.946) | 1.58 × 103 | ||
| Long run low gray level emphasis | 0.376 (0.173, 0.582) | 1.046 (0.064, 2.029) | 2.513 (1.523, 3.503) | 6.97 × 100 | 0.389 (0.186, 0.593) | 1.035 (−0.12, 2.189) | 2.903 (1.742, 4.063) | 8.05 × 100 | 0.645 (0.477, 0.784) | 1.91 (0.44, 3.38) | 2.483 (1.554, 3.411) | 6.88 × 100 | 0.795 (0.678, 0.881) | 1.647 (0.459, 2.836) | 1.433 (0.913, 1.953) | 3.97 × 100 | ||
| Run length non- uniformity | 0.497 (0.301, 0.677) | 11,575.736 (11,135.825, 12,015.647) | 949.242 (753.099, 1145.386) | 2.63 × 103 | 0.641 (0.472, 0.781) | 11,751.493 (11,244.922, 12,258.064) | 878.049 (758.89, 997.207) | 2.43 × 103 | 0.67 (0.508, 0.801) | 11,997.387 (11,459.188, 12,535.586) | 866.925 (711.093, 1022.758) | 2.40 × 103 | 0.515 (0.321, 0.691) | 11,672.916 (11,180.291, 12,165.541) | 1033.311 (756.059, 1310.562) | 2.86 × 103 | ||
| Run percentage | 0.571 (0.387, 0.732) | 0.557 (0.545, 0.568) | 0.022 (0.017, 0.027) | 6.20 × 10−2 | 0.541 (0.351, 0.71) | 0.558 (0.548, 0.568) | 0.021 (0.017, 0.024) | 5.80 × 10−2 | 0.74 (0.601, 0.847) | 0.552 (0.537, 0.566) | 0.02 (0.016, 0.024) | 5.50 × 10−2 | 0.6 (0.421, 0.753) | 0.545 (0.533, 0.558) | 0.023 (0.017, 0.03) | 6.50 × 10−2 | ||
| Short run emphasis | 0.48 (0.282, 0.664) | 0.683 (0.674, 0.693) | 0.021 (0.017, 0.025) | 5.90 × 10−2 | 0.502 (0.307, 0.681) | 0.687 (0.679, 0.695) | 0.018 (0.015, 0.021) | 5.10 × 10−2 | 0.578 (0.395, 0.737) | 0.688 (0.678, 0.698) | 0.019 (0.016, 0.023) | 5.30 × 10−2 | 0.408 (0.206, 0.608) | 0.68 (0.67, 0.689) | 0.023 (0.017, 0.029) | 6.40 × 10−2 | ||
| Short run high gray level emphasis | 0.619 (0.444, 0.766) | 213.842 (204.073, 223.612) | 17.3 (14.051, 20.548) | 4.80 × 101 | 0.539 (0.349, 0.709) | 213.083 (206.176, 219.991) | 13.948 (11.299, 16.596) | 3.87 × 101 | 0.664 (0.501, 0.797) | 210.813 (201.589, 220.037) | 15.022 (11.841, 18.202) | 4.16 × 101 | 0.535 (0.345, 0.706) | 209.622 (201.614, 217.629) | 16.267 (12.908, 19.625) | 4.51 × 101 | ||
| Short run low gray emphasis | 0.581 (0.399, 0.739) | 0.009 (0.009, 0.01) | 0.002 (0.001, 0.002) | 5.00 × 10−3 | 0.731 (0.589, 0.841) | 0.01 (0.009, 0.01) | 0.001 (0.001, 0.001) | 4.00 × 10−3 | 0.83 (0.729, 0.903) | 0.011 (0.01, 0.012) | 0.001 (0.001, 0.002) | 4.00 × 10−3 | 0.715 (0.568, 0.831) | 0.01 (0.009, 0.011) | 0.001 (0.001, 0.001) | 3.00 × 10−3 | ||
| Gray Level Size-Zone Matrix (GLSZM) features | High intensity emphasis | 0.606 (0.429, 0.757) | 294.583 (280.259, 308.906) | 25.905 (21.278, 30.532) | 7.18 × 101 | 0.517 (0.324, 0.692) | 293.531 (283.335, 303.728) | 21.311 (17.755, 24.867) | 5.91 × 101 | 0.746 (0.61, 0.851) | 283.226 (268.812, 297.64) | 19.719 (15.343, 24.094) | 5.47 × 101 | 0.574 (0.39, 0.734) | 284.697 (272.433, 296.961) | 23.434 (19.271, 27.597) | 6.50 × 101 | |
| High intensity large area emphasis | 0.527 (0.335, 0.7) | 209,895.412 (171,011.851, 248,778.972) | 80,046.441 (60,304.857, 99,788.025) | 2.22 × 105 | 0.528 (0.336, 0.701) | 189,011.238 (158,256.631, 219,765.846) | 64,085.069 (51,375.804, 76,794.333) | 1.78 × 105 | 0.459 (0.259, 0.648) | 215,790.788 (170,250.711, 261,330.866) | 103,801.825 (70,962.32, 136,641.33) | 2.88 × 105 | 0.177 (−0.016, 0.404) | 252,553.043 (207,358.147, 297,747.938) | 151,122.473 (103,630.563, 198,614.382) | 4.19 × 105 | ||
| High intensity small area emphasis | 0.485 (0.288, 0.668) | 96.247 (89.647, 102.847) | 14.479 (12.041, 16.917) | 4.01 × 101 | 0.48 (0.282, 0.664) | 98.862 (93.621, 104.103) | 11.614 (9.298, 13.93) | 3.22 × 101 | 0.592 (0.412, 0.747) | 95.671 (88.751, 102.59) | 12.924 (10.721, 15.127) | 3.58 × 101 | 0.518 (0.325, 0.693) | 92.847 (86.323, 99.37) | 13.617 (10.711, 16.522) | 3.77 × 101 | ||
| Intensity variability | 0.347 (0.143, 0.557) | 226.849 (213.626, 240.071) | 35.547 (28.978, 42.116) | 9.85 × 101 | 0.615 (0.439, 0.763) | 229.457 (213.769, 245.145) | 28.295 (23.305, 33.285) | 7.84 × 101 | 0.502 (0.307, 0.682) | 232.75 (219.116, 246.385) | 29.177 (23.634, 34.719) | 8.09 × 101 | 0.363 (0.16, 0.571) | 223.415 (211.046, 235.784) | 32.211 (25.313, 39.109) | 8.93 × 101 | ||
| Large area emphasis | 0.374 (0.17, 0.58) | 763.009 (229.006, 1297.012) | 1373.771 (839.561, 1907.981) | 3.81 × 103 | 0.264 (0.063, 0.485) | 822.771 (28.937, 1616.605) | 2363.198 (1418.947, 3307.45) | 6.55 × 103 | 0.286 (0.084, 0.505) | 1369.264 (324.461, 2414.067) | 3017.98 (1839.375, 4196.585) | 8.37 × 103 | 0.675 (0.514, 0.804) | 1182.18 (246.887, 2117.474) | 1492.994 (923.355, 2062.633) | 4.14 × 103 | ||
| Low intensity emphasis | 0.621 (0.448, 0.768) | 0.013 (0.011, 0.014) | 0.002 (0.002, 0.003) | 7.00 × 10−3 | 0.696 (0.542, 0.818) | 0.013 (0.011, 0.014) | 0.002 (0.001, 0.002) | 5.00 × 10−3 | 0.799 (0.683, 0.884) | 0.014 (0.012, 0.016) | 0.002 (0.002, 0.002) | 6.00 × 10−3 | 0.703 (0.552, 0.823) | 0.013 (0.012, 0.015) | 0.002 (0.001, 0.002) | 5.00 × 10−3 | ||
| Low intensity large area emphasis | 0.362 (0.158, 0.57) | 345.44 (−177.153, 868.034) | 1363.459 (818.888, 1908.031) | 3.78 × 103 | 0.274 (0.073, 0.494) | 430.877 (−374.155, 1235.908) | 2363.714 (1410.726, 3316.703) | 6.55 × 103 | 0.272 (0.071, 0.492) | 944.872 (−78.89, 1968.634) | 3014.481 (1828.466, 4200.495) | 8.36 × 103 | 0.654 (0.489, 0.79) | 699.392 (−200.537, 1599.321) | 1492.996 (898.539, 2087.453) | 4.14 × 103 | ||
| Low intensity small area emphasis | 0.48 (0.283, 0.664) | 0.003 (0.002, 0.003) | 0.001 (0, 0.001) | 2.00 × 10−3 | 0.727 (0.584, 0.838) | 0.003 (0.002, 0.003) | 0 (0, 0.001) | 1.00 × 10−3 | 0.79 (0.67, 0.878) | 0.003 (0.003, 0.004) | 0.001 (0, 0.001) | 2.00 × 10−3 | 0.768 (0.64, 0.864) | 0.003 (0.003, 0.003) | 0 (0, 0.001) | 1.00 × 10−3 | ||
| Small area emphasis | 0.437 (0.236, 0.631) | 0.335 (0.321, 0.349) | 0.033 (0.027, 0.039) | 9.10 × 10−2 | 0.485 (0.288, 0.668) | 0.343 (0.331, 0.356) | 0.028 (0.023, 0.032) | 7.60 × 10−2 | 0.557 (0.37, 0.722) | 0.349 (0.335, 0.362) | 0.027 (0.023, 0.031) | 7.50 × 10−2 | 0.411 (0.209, 0.611) | 0.337 (0.325, 0.349) | 0.03 (0.022, 0.037) | 8.20 × 10−2 | ||
| Size zone variability | 0.273 (0.071, 0.493) | 739.196 (666.467, 811.925) | 215.866 (172.05, 259.683) | 5.98 × 102 | 0.56 (0.374, 0.724) | 768.711 (684.217, 853.205) | 167.945 (140.423, 195.467) | 4.66 × 102 | 0.519 (0.326, 0.694) | 810.513 (725.429, 895.597) | 179.362 (143.772, 214.952) | 4.97 × 102 | 0.385 (0.181, 0.589) | 740.514 (665.603, 815.426) | 189.448 (141.149, 237.747) | 5.25 × 102 | ||
| Zone percentage | 0.434 (0.233, 0.629) | 0.124 (0.116, 0.132) | 0.019 (0.016, 0.023) | 5.30 × 10−2 | 0.547 (0.358, 0.714) | 0.125 (0.117, 0.132) | 0.015 (0.013, 0.017) | 4.20 × 10−2 | 0.537 (0.347, 0.708) | 0.124 (0.116, 0.132) | 0.016 (0.013, 0.019) | 4.30 × 10−2 | 0.393 (0.19, 0.595) | 0.119 (0.112, 0.126) | 0.017 (0.013, 0.022) | 4.80 × 10−2 | ||
| Superior order features | Local Binary Pattern | Local binary patterns | 0.299 (0.097, 0.516) | 38.154 (37.963, 38.345) | 0.548 (0.34, 0.756) | 1.52 × 100 | 0.249 (0.049, 0.471) | 38.064 (37.823, 38.305) | 0.731 (0.443, 1.019) | 2.03 × 100 | 0.853 (0.763, 0.916) | 38.333 (37.889, 38.777) | 0.444 (0.268, 0.621) | 1.23 × 100 | 0.483 (0.286, 0.667) | 38.103 (37.862, 38.343) | 0.528 (0.318, 0.738) | 1.46 × 100 |
| Blob analysis features | Mean area | 0.286 (0.084, 0.505) | 72.667 (29.026, 116.308) | 126.077 (78.86, 173.293) | 3.49 × 102 | 0.12 (−0.066, 0.347) | 59.154 (46.955, 71.353) | 44.507 (32.631, 56.383) | 1.23 × 102 | 0.255 (0.055, 0.477) | 68.385 (54.29, 82.479) | 42.461 (30.953, 53.968) | 1.18 × 102 | 0.068 (−0.108, 0.294) | 77.673 (57.108, 98.239) | 80.332 (58.72, 101.945) | 2.23 × 102 | |
| Mean perimeter | 0.254 (0.054, 0.476) | 31.378 (23.058, 39.698) | 25.141 (16.546, 33.737) | 6.97 × 101 | 0.184 (−0.01, 0.41) | 29.827 (26.272, 33.382) | 11.817 (8.928, 14.705) | 3.28 × 101 | 0.158 (−0.033, 0.385) | 32.077 (28.782, 35.372) | 11.303 (8.828, 13.778) | 3.13 × 101 | 0.17 (−0.022, 0.397) | 32.538 (27.493, 37.584) | 17.124 (13.033, 21.216) | 4.75 × 101 | ||
| Radius mean | 0.309 (0.106, 0.525) | 4.183 (3.385, 4.98) | 2.246 (1.589, 2.904) | 6.23 × 100 | 0.155 (−0.035, 0.382) | 4.143 (3.728, 4.557) | 1.445 (1.145, 1.745) | 4.01 × 100 | 0.181 (−0.013, 0.407) | 4.512 (4.066, 4.958) | 1.483 (1.174, 1.792) | 4.11 × 100 | 0.157 (−0.033, 0.384) | 4.507 (3.858, 5.156) | 2.256 (1.75, 2.762) | 6.25 × 100 | ||
| Radius standard deviation | 0.323 (0.12, 0.537) | 1.595 (1.262, 1.929) | 0.925 (0.651, 1.199) | 2.56 × 100 | 0.179 (−0.015, 0.405) | 1.583 (1.399, 1.768) | 0.616 (0.473, 0.759) | 1.71 × 100 | 0.02 (−0.148, 0.241) | 1.72 (1.54, 1.901) | 0.751 (0.585, 0.917) | 2.08 × 100 | 0.172 (−0.021, 0.399) | 1.604 (1.379, 1.829) | 0.771 (0.566, 0.975) | 2.14 × 100 | ||
| Radius minimum value | 0 (−0.163, 0.219) | 1.208 (1.086, 1.33) | 0.572 (0.431, 0.713) | 1.59 × 100 | 0.107 (−0.076, 0.334) | 1.286 (1.162, 1.41) | 0.46 (0.368, 0.552) | 1.28 × 100 | 0.054 (−0.12, 0.278) | 1.364 (1.246, 1.482) | 0.468 (0.361, 0.575) | 1.30 × 100 | 0.123 (−0.062, 0.351) | 1.331 (1.153, 1.509) | 0.652 (0.509, 0.794) | 1.81 × 100 | ||
| Radius maximum value | 0.327 (0.124, 0.54) | 7.128 (5.69, 8.566) | 3.956 (2.803, 5.108) | 1.10 × 101 | 0.177 (−0.016, 0.403) | 7.034 (6.292, 7.776) | 2.498 (1.964, 3.033) | 6.93 × 100 | 0.115 (−0.07, 0.342) | 7.604 (6.856, 8.352) | 2.723 (2.139, 3.307) | 7.55 × 100 | 0.166 (−0.026, 0.393) | 7.567 (6.476, 8.659) | 3.758 (2.891, 4.626) | 1.04 × 101 | ||
| Number of blobs | 0.535 (0.345, 0.706) | 27.192 (23.667, 30.718) | 7.16 (5.809, 8.512) | 1.98 × 101 | 0.269 (0.068, 0.49) | 24.308 (21.939, 26.676) | 7.085 (5.688, 8.482) | 1.96 × 101 | 0 (−0.163, 0.219) | 21.782 (20.478, 23.086) | 5.841 (4.668, 7.014) | 1.62 × 101 | 0.456 (0.256, 0.646) | 23.551 (20.852, 26.251) | 6.25 (5.092, 7.408) | 1.73 × 101 | ||
Appendix A.2
| ρ | ||
|---|---|---|
| Educational level | Alcohol | 0.238 |
| Exercise type | 0.649 | |
| VAS-10 depression | 0.4 | |
| IPAQ category | 0.072 | |
| Alcohol | Educational level | 0.238 |
| Exercise type | 0.476 | |
| VAS-10 depression | 0.224 | |
| IPAQ category | 0.077 | |
| Exercise type | Educational level | 0.649 |
| Alcohol | 0.476 | |
| VAS-10 depression | 0.282 | |
| IPAQ category | 0.124 | |
| VAS-10 depression | Educational level | 0.4 |
| Alcohol | 0.224 | |
| Exercise type | 0.282 | |
| IPAQ category | 0.231 | |
| IPAQ category | Educational level | 0.072 |
| Alcohol | 0.077 | |
| Exercise type | 0.124 | |
| VAS-10 depression | 0.231 |
Appendix A.3
| Stroke Affected Leg | Stroke Non Affected Leg | Healthy Dominant Leg | Healthy Non Dominant Leg | Stroke Affected vs. Non Affected Leg (a p Value) | Stroke Affected Leg vs. Healthy Dominant Leg (a p Value) | Stroke Affected Leg vs. Healthy Non Dominant Leg (a p Value) | |||
|---|---|---|---|---|---|---|---|---|---|
| Echostructure parameters | Muscle thickness (cm) | 1.87 ± 0.41 | 1.96 ± 0.30 | 1.73 ± 0.30 | 1.78 ± 0.27 | 0.085 (SE = 0.128), t = 0.663, p = 0.512 | −0.275 (SE = 0.198), t = −1.389, p = 0.174 | −0.156 (SE = 0.192), t = −0.811, p = 0.423 | |
| Penation angle (°) | 32.48 ± 4.07 | 34.56 ± 4.60 | 34.83 ± 3.95 | 35.81 ± 5.14 | 1.271 (SE = 1.171), t = 1.085, p = 0.287 | 3.706 (SE = 2.073), t = 1.787, p = 0.083 | 3.507 (SE = 2.704), t = 1.297, p = 0.203 | ||
| Ecotexture parameters: First-order features | Echogenicity | 125.62 ± 9.90 | 123.56 ± 9.43 | 121.50 ± 13.31 | 123.94 ± 8.59 | −1.99 (SE = 1.996), t = −0.997, p = 0.327 | −3.797 (SE = 5.395), t = −0.704, p = 0.486 | −2.006 (SE = 4), t = −0.502, p = 0.619 | |
| Echovariance | 0.54 ± 0.07 | 0.55 ± 0.06 | 0.58 ± 0.09 | 0.56 ± 0.06 | 0.013 (SE = 0.015), t = 0.827, p = 0.415 | 0.035 (SE = 0.037), t = 0.933, p = 0.357 | 0.019 (SE = 0.03), t = 0.633, p = 0.531 | ||
| Energy | 904,274,537.42 ± 109,697,404.46 | 884,829,166.95 ± 119,748,589.42 | 908,245,691.82 ± 129,653,861.89 | 926,233,986.85 ± 86,155,675.59 | −16,285,433.596 (SE = 30,821,264.524), t = −0.528, p = 0.601 | 11,731,865.299 (SE = 57,187,127.896), t = 0.205, p = 0.839 | 26,853,832.524 (SE = 44,792,969.336), t = 0.6, p = 0.553 | ||
| Entropy | 7.79 ± 0.23 | 7.82 ± 0.24 | 7.78 ± 0.36 | 7.81 ± 0.21 | 0.037 (SE = 0.033), t = 1.127, p = 0.269 | 0.003 (SE = 0.146), t = 0.02, p = 0.984 | 0.016 (SE = 0.095), t = 0.173, p = 0.864 | ||
| Kurtosis | −1.01 ± 0.13 | −1.04 ± 0.10 | −1.10 ± 0.07 | −1.08 ± 0.07 | −0.032 (SE = 0.041), t = −0.773, p = 0.446 | −0.08 (SE = 0.057), t = −1.395, p = 0.172 | −0.034 (SE = 0.055), t = −0.612, p = 0.544 | ||
| Median | 124.10 ± 12.87 | 121.23 ± 11.93 | 118.67 ± 17.40 | 122.28 ± 10.58 | −2.737 (SE = 2.83), t = −0.967, p = 0.341 | −4.972 (SE = 7.133), t = −0.697, p = 0.491 | −3.622 (SE = 5.269), t = −0.687, p = 0.497 | ||
| Variance | 4461.49 ± 577.28 | 4527.55 ± 534.61 | 4866.73 ± 262.99 | 4767.81 ± 369.73 | 104.091 (SE = 199.519), t = 0.522, p = 0.606 | 278.211 (SE = 255.089), t = 1.091, p = 0.283 | 174.597 (SE = 276.866), t = 0.631, p = 0.533 | ||
| Standard deviation | 66.59 ± 4.56 | 67.10 ± 4.33 | 69.70 ± 1.93 | 68.97 ± 2.71 | 0.804 (SE = 1.615), t = 0.498, p = 0.622 | 2.149 (SE = 2.004), t = 1.072, p = 0.291 | 1.33 (SE = 2.149), t = 0.619, p = 0.54 | ||
| Skewness | 0.04 ± 0.15 | 0.07 ± 0.11 | 0.09 ± 0.15 | 0.05 ± 0.10 | 0.042 (SE = 0.036), t = 1.16, p = 0.255 | 0.06 (SE = 0.069), t = 0.864, p = 0.394 | 0.047 (SE = 0.059), t = 0.792, p = 0.434 | ||
| Uniformity | 0.01 ± 0.01 | 0.01 ± 0.01 | 0.01 ± 0.01 | 0.01 ± 0.00 | 0 (SE = 0), t = −1.231, p = 0.228 | 0.001 (SE = 0.003), t = 0.186, p = 0.854 | 0.001 (SE = 0.002), t = 0.31, p = 0.758 | ||
| Ecotexture parameters: Second-order features | Gray level co-occurrence matrix features (GLCM) | Homogeneity | 0.03 ± 0.01 | 0.03 ± 0.01 | 0.03 ± 0.01 | 0.03 ± 0.00 | −0.001 (SE = 0.001), t = −0.464, p = 0.646 | 0 (SE = 0.004), t = 0.051, p = 0.959 | 0.001 (SE = 0.002), t = 0.286, p = 0.777 |
| Contrast | 0.50 ± 0.08 | 0.51 ± 0.07 | 0.52 ± 0.07 | 0.50 ± 0.07 | −0.005 (SE = 0.026), t = −0.207, p = 0.838 | −0.023 (SE = 0.035), t = −0.659, p = 0.514 | −0.03 (SE = 0.036), t = −0.84, p = 0.407 | ||
| Correlation | 0.98 ± 0.00 | 0.98 ± 0.00 | 0.98 ± 0.00 | 0.98 ± 0.00 | 0.001 (SE = 0.001), t = 0.471, p = 0.641 | 0.002 (SE = 0.002), t = 1.116, p = 0.272 | 0.002 (SE = 0.002), t = 0.949, p = 0.349 | ||
| Energy | 0.01 ± 0.01 | 0.01 ± 0.01 | 0.01 ± 0.01 | 0.01 ± 0.00 | 0 (SE = 0), t = −0.667, p = 0.51 | 0.001 (SE = 0.004), t = 0.291, p = 0.773 | 0.001 (SE = 0.002), t = 0.598, p = 0.554 | ||
| Entropy | 1.59 ± 0.04 | 1.59 ± 0.04 | 1.60 ± 0.05 | 1.60 ± 0.03 | 0.003 (SE = 0.012), t = 0.27, p = 0.789 | −0.002 (SE = 0.023), t = −0.068, p = 0.946 | −0.007 (SE = 0.018), t = −0.378, p = 0.708 | ||
| Information measures of correlation A | 0.77 ± 0.02 | 0.77 ± 0.01 | 0.77 ± 0.02 | 0.78 ± 0.01 | 0.002 (SE = 0.004), t = 0.368, p = 0.715 | 0.003 (SE = 0.008), t = 0.348, p = 0.73 | 0.012 (SE = 0.007), t = 1.721, p = 0.094 | ||
| Information measures of correlation B | 0.91 ± 0.00 | 0.91 ± 0.01 | 0.91 ± 0.01 | 0.92 ± 0.00 | 0.001 (SE = 0.002), t = 0.599, p = 0.553 | 0.002 (SE = 0.003), t = 0.626, p = 0.535 | 0.003 (SE = 0.002), t = 1.505, p = 0.141 | ||
| Maximum valueProb | 0.03 ± 0.03 | 0.03 ± 0.03 | 0.04 ± 0.04 | 0.04 ± 0.03 | −0.003 (SE = 0.002), t = −1.134, p = 0.266 | 0.004 (SE = 0.017), t = 0.242, p = 0.811 | 0.006 (SE = 0.013), t = 0.486, p = 0.63 | ||
| Cluster prominence | 7697.75 ± 1510.45 | 7784.22 ± 1404.2 | 8732.22 ± 743.33 | 8492.25 ± 1126.34 | 200.912 (SE = 518.142), t = 0.388, p = 0.701 | 649.624 (SE = 674.342), t = 0.963, p = 0.342 | 508.351 (SE = 771.498), t = 0.659, p = 0.514 | ||
| Sum average | 16.78 ± 1.17 | 16.56 ± 1.13 | 16.31 ± 1.60 | 16.59 ± 1.03 | −0.21 (SE = 0.233), t = −0.901, p = 0.375 | −0.435 (SE = 0.646), t = −0.673, p = 0.506 | −0.22 (SE = 0.479), t = −0.46, p = 0.649 | ||
| Sum entropy | 1.42 ± 0.03 | 1.42 ± 0.03 | 1.43 ± 0.04 | 1.43 ± 0.02 | 0.005 (SE = 0.008), t = 0.572, p = 0.571 | 0.006 (SE = 0.017), t = 0.317, p = 0.753 | 0.002 (SE = 0.012), t = 0.149, p = 0.882 | ||
| Cluster Shade | 17.28 ± 61.18 | 29.94 ± 51.97 | 44.35 ± 72.27 | 20.03 ± 51.78 | 11.744 (SE = 17.024), t = 0.69, p = 0.496 | 29.054 (SE = 32.402), t = 0.897, p = 0.376 | 18.167 (SE = 28.659), t = 0.634, p = 0.53 | ||
| Sum variance | 301.48 ± 32.88 | 295.01 ± 33.37 | 293.37 ± 40.68 | 299.22 ± 27.22 | −5.534 (SE = 7.764), t = −0.713, p = 0.482 | −9.607 (SE = 16.87), t = −0.569, p = 0.573 | −4.321 (SE = 13.09), t = −0.33, p = 0.743 | ||
| Auto correlation | 339.42 ± 34.84 | 333.10 ± 31.42 | 329.23 ± 41.32 | 335.10 ± 28.41 | −6.12 (SE = 8.224), t = −0.744, p = 0.463 | −12.209 (SE = 17.343), t = −0.704, p = 0.486 | −7.794 (SE = 13.995), t = −0.557, p = 0.581 | ||
| Difference entropy | 0.33 ± 0.02 | 0.33 ± 0.02 | 0.33 ± 0.02 | 0.33 ± 0.02 | −0.001 (SE = 0.006), t = −0.135, p = 0.893 | −0.006 (SE = 0.01), t = −0.579, p = 0.566 | −0.008 (SE = 0.01), t = −0.879, p = 0.385 | ||
| Dissimilarity | 0.88 ± 0.09 | 0.88 ± 0.08 | 0.87 ± 0.08 | 0.86 ± 0.08 | −0.01 (SE = 0.03), t = −0.333, p = 0.741 | −0.038 (SE = 0.044), t = −0.868, p = 0.392 | −0.046 (SE = 0.044), t = −1.059, p = 0.297 | ||
| Difference variance | 0.38 ± 0.06 | 0.38 ± 0.05 | 0.39 ± 0.05 | 0.38 ± 0.05 | −0.004 (SE = 0.019), t = −0.216, p = 0.831 | −0.017 (SE = 0.025), t = −0.658, p = 0.515 | −0.02 (SE = 0.026), t = −0.743, p = 0.462 | ||
| Gray level run-length matrix features (GLRLM) | Grey level non uniformity | 882.64 ± 77.64 | 878.51 ± 78.79 | 877.29 ± 47.24 | 874.74 ± 52.12 | −6.594 (SE = 26.95), t = −0.245, p = 0.808 | −0.292 (SE = 37.586), t = −0.008, p = 0.994 | 9,66 (SE = 37.655), t = 0.257, p = 0.799 | |
| High gray level run emphasis | 322.10 ± 30.41 | 317.93 ± 22.71 | 314.63 ± 28.42 | 318.11 ± 21.49 | −5.453 (SE = 6.982), t = −0.781, p = 0.441 | −12.197 (SE = 13.334), t = −0.915, p = 0.367 | −8.406 (SE = 11.748), t = −0.716, p = 0.479 | ||
| Low gray level run emphasis | 0.02 ± 0.01 | 0.02 ± 0.01 | 0.03 ± 0.01 | 0.02 ± 0.01 | 0 (SE = 0.001), t = −0.015, p = 0.988 | 0.004 (SE = 0.005), t = 0.736, p = 0.467 | 0.001 (SE = 0.004), t = 0.412, p = 0.683 | ||
| Long run emphasis | 7.45 ± 2.58 | 7.40 ± 2.77 | 8.35 ± 3.92 | 8.46 ± 3.38 | −0.121 (SE = 0.396), t = −0.305, p = 0.763 | 0.893 (SE = 1.598), t = 0.559, p = 0.58 | 1.696 (SE = 1.432), t = 1.185, p = 0.244 | ||
| Long run high gray level emphasis | 2641.53 ± 431.90 | 2567.52 ± 426.78 | 2633.80 ± 496.62 | 2843.38 ± 446.62 | −34.297 (SE = 133.506), t = −0.257, p = 0.799 | 90.462 (SE = 229.4), t = 0.394, p = 0.696 | 334.052 (SE = 222.429), t = 1.502, p = 0.142 | ||
| Long run low gray level emphasis | 1.05 ± 2.43 | 1.03 ± 2.86 | 1.91 ± 3.64 | 1.65 ± 2.94 | −0.163 (SE = 0.195), t = −0.837, p = 0.409 | 0.592 (SE = 1.423), t = 0.416, p = 0.68 | 0.955 (SE = 1.242), t = 0.769, p = 0.447 | ||
| Run length non-uniformity | 11,575.74 ± 1089.14 | 11,751.49 ± 1254.17 | 11,997.39 ± 1332.48 | 11,672.92 ± 1219.65 | 116.804 (SE = 394.246), t = 0.296, p = 0.769 | 112.764 (SE = 668.711), t = 0.169, p = 0.867 | 59.68 (SE = 613.707), t = 0.097, p = 0.923 | ||
| Run percentage | 0.56 ± 0.03 | 0.56 ± 0.03 | 0.55 ± 0.04 | 0.55 ± 0.03 | 0 (SE = 0.008), t = 0.042, p = 0.967 | −0.013 (SE = 0.016), t = −0.8, p = 0.429 | −0.017 (SE = 0.015), t = −1.138, p = 0.263 | ||
| Short run emphasis | 0.68 ± 0.02 | 0.69 ± 0.02 | 0.69 ± 0.02 | 0.68 ± 0.02 | 0.002 (SE = 0.007), t = 0.32, p = 0.752 | −0.005 (SE = 0.012), t = −0.454, p = 0.653 | −0.01 (SE = 0.011), t = −0.903, p = 0.373 | ||
| Short run high gray level emphasis | 213.84 ± 24.19 | 213.08 ± 17.10 | 210.81 ± 22.84 | 209.62 ± 19.83 | −2.138 (SE = 5.56), t = −0.385, p = 0.703 | −10.343 (SE = 11.16), t = −0.927, p = 0.361 | −8.855 (SE = 10.285), t = −0.861, p = 0.395 | ||
| Short run low grey emphasis | 0.01 ± 0.00 | 0.01 ± 0.00 | 0.01 ± 0.00 | 0.01 ± 0.00 | 0 (SE = 0), t = 0.077, p = 0.939 | 0.001 (SE = 0.001), t = 0.88, p = 0.385 | 0 (SE = 0.001), t = 0.331, p = 0.743 | ||
| Gray level size-zone matrix features (GLSZM) | High intensity emphasis | 294.58 ± 35.46 | 293.53 ± 25.24 | 283.23 ± 35.69 | 284.70 ± 30.36 | −3.634 (SE = 8.261), t = −0.44, p = 0.663 | −21.136 (SE = 17.633), t = −1.199, p = 0.239 | −13.798 (SE = 15.557), t = −0.887, p = 0.381 | |
| High intensity large area emphasis | 209,895.41 ± 96,268.18 | 189,011.24 ± 76,142.47 | 215,790.79 ± 112,748.43 | 252,553.04 ± 111,893.83 | −14,072.445 (SE = 29,668.836), t = −0.474, p = 0.639 | 27,428.971 (SE = 55,252.663), t = 0.496, p = 0.623 | 60,270.974 (SE = 54,390.831), t = 1.108, p = 0.276 | ||
| High intensity small area emphasis | 96.25 ± 16.34 | 98.86 ± 12.98 | 95.67 ± 17.13 | 92.85 ± 16.15 | 1.105 (SE = 4.178), t = 0.264, p = 0.793 | −7.682 (SE = 8.431), t = −0.911, p = 0.369 | −6.797 (SE = 8.047), t = −0.845, p = 0.404 | ||
| Intensity variability | 226.85 ± 32.74 | 229.46 ± 38.84 | 232.75 ± 33.76 | 223.42 ± 30.62 | −0.756 (SE = 11.927), t = −0.063, p = 0.95 | −3.559 (SE = 18.035), t = −0.197, p = 0.845 | −7.034 (SE = 16.764), t = −0.42, p = 0.677 | ||
| Large area emphasis | 763.01 ± 1322.09 | 822.77 ± 1965.38 | 1369.26 ± 2586.73 | 1182.18 ± 2315.61 | −93.584 (SE = 137.633), t = −0.68, p = 0.502 | 399.013 (SE = 1022.398), t = 0.39, p = 0.699 | 755.32 (SE = 958.09), t = 0.788, p = 0.436 | ||
| Low intensity emphasis | 0.01 ± 0.00 | 0.01 ± 0.00 | 0.01 ± 0.00 | 0.01 ± 0.00 | 0 (SE = 0.001), t = −0.095, p = 0.925 | 0.002 (SE = 0.002), t = 1.199, p = 0.239 | 0.001 (SE = 0.001), t = 0.682, p = 0.5 | ||
| Low intensity large area emphasis | 345.44 ± 1293.84 | 430.88 ± 1993.10 | 944.87 ± 2534.64 | 699.39 ± 2228.05 | −78.717 (SE = 85.59), t = −0.92, p = 0.365 | 330.495 (SE = 992.916), t = 0.333, p = 0.741 | 651.265 (SE = 925.334), t = 0.704, p = 0.486 | ||
| Low intensity small area emphasis | 0.00 ± 0.00 | 0.00 ± 0.00 | 0.00 ± 0.00 | 0.00 ± 0.00 | 0 (SE = 0), t = −0.058, p = 0.954 | 0 (SE = 0.001), t = 0.804, p = 0.427 | 0 (SE = 0), t = 0.162, p = 0.873 | ||
| Small area emphasis | 0.33 ± 0.03 | 0.34 ± 0.03 | 0.35 ± 0.03 | 0.34 ± 0.03 | 0.007 (SE = 0.009), t = 0.712, p = 0.482 | 0.001 (SE = 0.016), t = 0.049, p = 0.961 | −0.012 (SE = 0.015), t = −0.752, p = 0.457 | ||
| Size zone variability | 739.20 ± 180.06 | 768.71 ± 209.19 | 810.51 ± 210.65 | 740.51 ± 185.47 | 10.752 (SE = 63.682), t = 0.169, p = 0.867 | −4.827 (SE = 98.182), t = −0.049, p = 0.961 | −56.511 (SE = 91.656), t = −0.617, p = 0.542 | ||
| Zone percentage | 0.12 ± 0.02 | 0.12 ± 0.02 | 0.12 ± 0.02 | 0.12 ± 0.02 | −0.002 (SE = 0.006), t = −0.238, p = 0.814 | −0.008 (SE = 0.01), t = −0.865, p = 0.393 | −0.012 (SE = 0.009), t = −1.286, p = 0.207 | ||
| Ecotexture parameters: Superior order features | Local Binary Patterns | Local binary patterns | 38.15 ± 0.47 | 38.06 ± 0.60 | 38.33 ± 1.10 | 38.10 ± 0.59 | −0.123 (SE = 0.089), t = −1.372, p = 0.18 | 0.116 (SE = 0.436), t = 0.266, p = 0.792 | 0.026 (SE = 0.243), t = 0.107, p = 0.916 |
| Blob analysis features | Mean area | 72.67 ± 108,05 | 59.15 ± 30.20 | 68.38 ± 34.90 | 77.67 ± 50.92 | −15.807 (SE = 31.067), t = −0.509, p = 0.615 | −17.346 (SE = 46.709), t = −0.371, p = 0.713 | 13.757 (SE = 50.081), t = 0.275, p = 0.785 | |
| Mean perimeter | 31.38 ± 20.60 | 29.83 ± 8.80 | 32.08 ± 8.16 | 32.54 ± 12.49 | −1.263 (SE = 6.097), t = −0.207, p = 0.837 | −0.977 (SE = 8.934), t = −0.109, p = 0.914 | 4.221 (SE = 9.954), t = 0.424, p = 0.674 | ||
| Radius mean | 4.18 ± 1.97 | 4.14 ± 1.03 | 4.51 ± 1.10 | 4.51 ± 1.61 | −0.011 (SE = 0.584), t = −0.019, p = 0.985 | 0.122 (SE = 0.876), t = 0.139, p = 0.89 | 0.623 (SE = 1.026), t = 0.607, p = 0.548 | ||
| Radius standard deviation | 1.60 ± 0.83 | 1.58 ± 0.46 | 1.72 ± 0.45 | 1.60 ± 0.56 | 0.053 (SE = 0.243), t = 0.217, p = 0.83 | 0.062 (SE = 0.371), t = 0.167, p = 0.868 | 0.12 (SE = 0.411), t = 0.292, p = 0.772 | ||
| Radius minimum value | 1.21 ± 0.30 | 1.29 ± 0.31 | 1.36 ± 0.29 | 1.33 ± 0.44 | 0.104 (SE = 0.098), t = 1.058, p = 0.298 | 0.307 (SE = 0.152), t = 2.019, p = 0.051 | 0.005 (SE = 0.2), t = 0.025, p = 0.98 | ||
| Radius maximum value | 7.13 ± 3.56 | 7.03 ± 1.84 | 7.60 ± 1.85 | 7.57 ± 2.70 | 0.034 (SE = 1.054), t = 0.032, p = 0.974 | 0.122 (SE = 1.581), t = 0.077, p = 0.939 | 1.003 (SE = 1.82), t = 0.551, p = 0.585 | ||
| Number of blobs | 27.19 ± 8.73 | 24.31 ± 5.86 | 21.78 ± 3.23 | 23.55 ± 6.68 | −4.421 (SE = 2.789), t = −1.585, p = 0.123 | −6.191 (SE = 3.483), t = −1.777, p = 0.084 | −6.535 (SE = 4.373), t = −1.494, p = 0.144 |
Appendix A.4
| Level 1 Spasticity | Level 1+ Spasticity | Level 2 Spasticity | Level 3 Spasticity | a p Value | |||
|---|---|---|---|---|---|---|---|
| ADF dynamometry (kg) | 4.68 ± 3.51 | 4.99 ± 6.74 | 1.64 ± 1.85 | 1.32 ± 1.34 | −1.285 (SE = 2.418), t = −0. 594, p = 0.367 | ||
| APF dynamometry (kg) | 9.09 ± 7.96 | 8.09 ± 6.22 | 2.14 ± 2.07 | 2.78 ± 1.33 | −4.202 (SE = 3.423), t = −1.301, p = 0.377 | ||
| APF goniometry (°) | 47.12 ± 8.64 | 53.33 ± 8.16 | 48.33 ± 18.35 | 34.17 ± 25.96 | 0.954 (SE = 10.116), t = 0.076, p = 0.522 | ||
| ADF goniometry (°) | −0.62 ± 8.21 | −6.67 ± 7.53 | −14.17 ± 7.36 | −15.00 ± 14.83 | −13.198 (SE = 6.05), t = −2.219, p = 0.073 | ||
| Echostructure parameters | Muscle thickness (cm) | 1.98 ± 0.51 | 1.75 ± 0.37 | 1.72 ± 0.24 | 1.99 ± 0.45 | −0.13 (SE = 0.26), t = −0.523, p = 0.552 | |
| Penation angle (°) | 34.64 ± 4.02 | 32.50 ± 2.83 | 31.49 ± 4.23 | 30.59 ± 4.63 | −2.788 (SE = 2.482), t = −1.148, p = 0.299 | ||
| Ecotexture parameters: First-order features | Echogenicity | 126.01 ± 9.49 | 120.98 ± 16.44 | 130.23 ± 5.76 | 125.13 ± 2.93 | 3.128 (SE = 5.9), t = 0.557, p = 0.603 | |
| Echovariance | 0.54 ± 0.03 | 0.57 ± 0.10 | 0.51 ± 0.07 | 0.53 ± 0.05 | −0.026 (SE = 0.039), t = −0.72, p = 0.526 | ||
| Energy | 925,266,474.50 ± 118,389,930.10 | 824,989,471.39 ± 157,069,093.13 | 960,750,582.50 ± 57,458,688.29 | 899,094,308.94 ± 21,556,847.02 | 6,106,199.07 (SE = 62,185,455.035), t = 0.144, p = 0.588 | ||
| Entropy | 7.86 ± 0.08 | 7.63 ± 0.43 | 7.81 ± 0.14 | 7.84 ± 0.09 | −0.106 (SE = 0.141), t = −0.721, p = 0.551 | ||
| Kurtosis | −1.01 ± 0.13 | −1.03 ± 0.09 | −1.03 ± 0.15 | −0.97 ± 0.18 | −0.012 (SE = 0.086), t = −0.133, p = 0.756 | ||
| Median | 124.12 ± 13.10 | 118.94 ± 19.67 | 129.89 ± 9.66 | 123.44 ± 5.95 | 5.237 (SE = 7.67), t = 0.703, p = 0.503 | ||
| Variance | 4580.84 ± 423.10 | 4551.94 ± 407.11 | 4346.38 ± 909.10 | 4327.01 ± 594.33 | −250.775 (SE = 373.447), t = −0.682, p = 0.513 | ||
| Standard deviation | 67.57 ± 3.20 | 67.36 ± 3.02 | 65.49 ± 7.36 | 65.62 ± 4.64 | −2.05 (SE = 2.942), t = −0.711, p = 0.497 | ||
| Skewness | 0.06 ± 0.17 | 0.06 ± 0.17 | −0.02 ± 0.12 | 0.04 ± 0.14 | −0.099 (SE = 0.089), t = −1.117, p = 0.277 | ||
| Uniformity | 0.00 ± 0.00 | 0.01 ± 0.01 | 0.00 ± 0.00 | 0.00 ± 0.00 | 0.002 (SE = 0.003), t = 0.53, p = 0.691 | ||
| Second-order features | Gray level co-occurrence matrix features (GLCM) | Homogeneity | 0.03 ± 0.00 | 0.04 ± 0.01 | 0.04 ± 0.00 | 0.03 ± 0.00 | 0.001 (SE = 0.004), t = 0.253, p = 0.632 |
| Contrast | 0.50 ± 0.06 | 0.53 ± 0.13 | 0.46 ± 0.03 | 0.53 ± 0.06 | 0.023 (SE = 0.049), t = 0.413, p = 0.397 | ||
| Correlation | 0.98 ± 0.00 | 0.98 ± 0.00 | 0.98 ± 0.01 | 0.98 ± 0.00 | −0.002 (SE = 0.002), t = −1.036, p = 0.342 | ||
| Energy | 0.01 ± 0.00 | 0.01 ± 0.01 | 0.01 ± 0.00 | 0.01 ± 0.00 | 0.001 (SE = 0.003), t = 0.283, p = 0.68 | ||
| Entropy | 1.59 ± 0.04 | 1.58 ± 0.07 | 1.57 ± 0.03 | 1.60 ± 0.04 | −0.003 (SE = 0.027), t = −0.131, p = 0.635 | ||
| Information measures of correlation A | 0.78 ± 0.02 | 0.77 ± 0.02 | 0.78 ± 0.01 | 0.77 ± 0.01 | −0.014 (SE = 0.009), t = −1.512, p = 0.305 | ||
| Information measures of correlation B | 0.92 ± 0.00 | 0.91 ± 0.01 | 0.91 ± 0.01 | 0.91 ± 0.00 | −0.005 (SE = 0.003), t = −1.583, p = 0.155 | ||
| Maximum valueProb | 0.02 ± 0.00 | 0.05 ± 0.05 | 0.02 ± 0.00 | 0.02 ± 0.00 | 0.007 (SE = 0.016), t = 0.411, p = 0.672 | ||
| Cluster prominent | 8055.86 ± 1081.46 | 7983.53 ± 1227.62 | 7335.18 ± 2337.58 | 7297.08 ± 1464.57 | −797.457 (SE = 963.766), t = −0.839, p = 0.427 | ||
| Sum average | 16.84 ± 1.10 | 16.21 ± 1.97 | 17.32 ± 0.67 | 16.74 ± 0.35 | 0.346 (SE = 0.701), t = 0.522, p = 0.627 | ||
| Sum entropy | 1.43 ± 0.02 | 1.41 ± 0.04 | 1.41 ± 0.03 | 1.43 ± 0.02 | −0.01 (SE = 0.019), t = −0.558, p = 0.604 | ||
| Cluster Shade | 22.62 ± 71.83 | 23.81 ± 66.11 | −3.19 ± 59.31 | 24.08 ± 54.29 | −37.801 (SE = 36.537), t = −1.028, p = 0.318 | ||
| Sum variance | 304.35 ± 36.81 | 288.26 ± 51.20 | 316.15 ± 17.87 | 296.21 ± 7.18 | 7.298 (SE = 19.866), t = 0.392, p = 0.712 | ||
| Auto correlation | 341.36 ± 39.28 | 324.66 ± 51.40 | 355.67 ± 21.62 | 335.33 ± 13.90 | 10.517 (SE = 20.779), t = 0.531, p = 0.617 | ||
| Difference entropy | 0.33 ± 0.02 | 0.33 ± 0.03 | 0.32 ± 0.01 | 0.34 ± 0.01 | 0.008 (SE = 0.013), t = 0.536, p = 0.381 | ||
| Dissimilarity | 0.86 ± 0.07 | 0.89 ± 0.15 | 0.85 ± 0.08 | 0.91 ± 0.05 | 0.049 (SE = 0.057), t = 0.834, p = 0.48 | ||
| Difference variance | 0.37 ± 0.04 | 0.39 ± 0.10 | 0.35 ± 0.02 | 0.39 ± 0.04 | 0.014 (SE = 0.035), t = 0.332, p = 0.414 | ||
| Gray level run-length matrix features (GLRLM) | Grey level non-uniformity | 882.85 ± 40.34 | 829.29 ± 115.04 | 895.65 ± 91.44 | 922.69 ± 26.92 | 10.262 (SE = 46.308), t = 0.251, p = 0.492 | |
| High gray level run emphasis | 318.99 ± 39.12 | 311.07 ± 34.86 | 335.72 ± 22.98 | 323.63 ± 18.72 | 17.635 (SE = 18.014), t = 0.996, p = 0.344 | ||
| Low gray level run emphasis | 0.02 ± 0.00 | 0.03 ± 0.01 | 0.02 ± 0.01 | 0.02 ± 0.00 | −0.002 (SE = 0.004), t = −0.511, p = 0.469 | ||
| Long run emphasis | 7.26 ± 0.92 | 9.17 ± 5.06 | 7.15 ± 1.02 | 6.31 ± 0.13 | −0.128 (SE = 1.555), t = −0.106, p = 0.577 | ||
| Long run high gray level emphasis | 2837.99 ± 352.27 | 2507.86 ± 494.05 | 2872.83 ± 447.84 | 2281.95 ± 108.37 | −358.23 (SE = 232.705), t = −1.465, p = 0.341 | ||
| Long run low gray level emphasis | 0.47 ± 0.12 | 2.96 ± 4.87 | 0.50 ± 0.30 | 0.44 ± 0.11 | 0.772 (SE = 1.453), t = 0.485, p = 0.692 | ||
| Run length non- uniformity | 11,564.44 ± 867.63 | 10,921.97 ± 1486.01 | 11,466.42 ± 959.10 | 12,353.89 ± 703.58 | 269.6 (SE = 628.683), t = 0.426, p = 0.585 | ||
| Run percentage | 0.55 ± 0.02 | 0.55 ± 0.05 | 0.55 ± 0.02 | 0.57 ± 0.01 | 0.013 (SE = 0.018), t = 0.735, p = 0.556 | ||
| Short run emphasis | 0.68 ± 0.02 | 0.69 ± 0.03 | 0.67 ± 0.02 | 0.69 ± 0.02 | 0.015 (SE = 0.014), t = 1.014, p = 0.385 | ||
| Short run high gray level emphasis | 209.58 ± 31.56 | 207.06 ± 28.15 | 220.16 ± 21.29 | 219.99 ± 10.38 | 16.579 (SE = 14.546), t = 1.139, p = 0.289 | ||
| Short run low gray emphasis | 0.01 ± 0.00 | 0.01 ± 0.00 | 0.01 ± 0.00 | 0.01 ± 0.00 | −0.001 (SE = 0.001), t = −0.882, p = 0.466 | ||
| Gray level size-zone matrix features (GLSZM) | High intensity emphasis | 286.54 ± 41.47 | 276.53 ± 32.95 | 312.42 ± 33.44 | 305.52 ± 25.63 | 21.962 (SE = 20.859), t = 1.091, p = 0.36 | |
| High intensity large area emphasis | 244,885.34 ± 68,645.60 | 213,701.59 ± 143,438.32 | 236,940.92 ± 91,473.53 | 132,390.49 ± 27,135.33 | (SE = 55,433.832), t = −1.265, p = 0.376 | ||
| High intensity small area emphasis | 93.26 ± 21.19 | 94.17 ± 18.18 | 97.95 ± 16.07 | 100.60 ± 8.48 | 8.102 (SE = 10.485), t = 0.769, p = 0.465 | ||
| Intensity variability | 221.71 ± 31.08 | 224.63 ± 42.85 | 221.39 ± 39.38 | 241.38 ± 16.82 | 17.296 (SE = 20.397), t = 0.816, p = 0.497 | ||
| Large area emphasis | 513.73 ± 154.14 | 1796.34 ± 2641.19 | 492.83 ± 194.72 | 332.22 ± 38.55 | 306.415 (SE = 789.274), t = 0.345, p = 0.636 | ||
| Low intensity emphasis | 0.01 ± 0.00 | 0.01 ± 0.00 | 0.01 ± 0.00 | 0.01 ± 0.00 | −0.002 (SE = 0.002), t = −1.271, p = 0.27 | ||
| Low intensity large area emphasis | 39.15 ± 13.99 | 1358.79 ± 2600.99 | 50.55 ± 49.32 | 35.36 ± 11.68 | 440.399 (SE = 773.927), t = 0.521, p = 0.705 | ||
| Low intensity small area emphasis | 0.00 ± 0.00 | 0.00 ± 0.00 | 0.00 ± 0.00 | 0.00 ± 0.00 | 0 (SE = 0), t = −0.637, p = 0.317 | ||
| Small area emphasis | 0.33 ± 0.04 | 0.35 ± 0.04 | 0.32 ± 0.02 | 0.34 ± 0.03 | 0.009 (SE = 0.021), t = 0.365, p = 0.372 | ||
| Size zone variability | 724.90 ± 197.60 | 776.49 ± 217.40 | 657.40 ± 153.84 | 802.76 ± 147.13 | 65.348 (SE = 111.577), t = 0.525, p = 0.378 | ||
| Zone percentage | 0.12 ± 0.02 | 0.13 ± 0.03 | 0.12 ± 0.02 | 0.13 ± 0.01 | 0.012 (SE = 0.012), t = 0.936, p = 0.439 | ||
| Superior order features | Local Binary Patterns | Local binary patterns | 38.04 ± 0.12 | 38.56 ± 0.91 | 38.00 ± 0.00 | 38.06 ± 0.14 | 0.166 (SE = 0.277), t = 0.537, p = 0.64 |
| Blob analysis features | Mean area | 117.81 ± 189.29 | 64.81 ± 50.25 | 39.33 ± 8.79 | 53.67 ± 22.46 | −44.417 (SE = 67.738), t = −0.69, p = 0.533 | |
| Mean perimeter | 40.75 ± 34.41 | 30.44 ± 12.98 | 24.47 ± 4.71 | 26.72 ± 6.99 | −9.409 (SE = 12.763), t = −0.776, p = 0.492 | ||
| Radius mean | 5.02 ± 3.02 | 4.22 ± 1.90 | 3.44 ± 0.62 | 3.78 ± 0.88 | −0.813 (SE = 1.227), t = −0.706, p = 0.543 | ||
| Radius standard deviation | 1.89 ± 1.25 | 1.72 ± 0.83 | 1.29 ± 0.29 | 1.38 ± 0.37 | −0.29 (SE = 0.517), t = −0.608, p = 0.558 | ||
| Radius minimum value | 1.30 ± 0.41 | 1.19 ± 0.28 | 1.09 ± 0.15 | 1.22 ± 0.30 | −0.081 (SE = 0.193), t = −0.46, p = 0.697 | ||
| Radius maximum value | 8.65 ± 5.45 | 7.29 ± 3.31 | 5.81 ± 1.27 | 6.26 ± 1.61 | −1.537 (SE = 2.211), t = −0.739, p = 0.523 | ||
| Number of blobs | 24.17 ± 5.49 | 25.28 ± 6.28 | 28.44 ± 9.79 | 31.89 ± 12.48 | 5.787 (SE = 5.379), t = 1.083, p = 0.342 |
References
- GBD 2021 Stroke Risk Factor Collaborators. Global, regional, and national burden of stroke and its risk factors, 1990–2021: A systematic analysis for the Global Burden of Disease Study 2021. Lancet Neurol. 2024, 23, 973–1003. [Google Scholar] [CrossRef]
- Luengo-Fernandez, R.; Violato, M.; Candio, P.; Leal, J. Economic burden of stroke across Europe: A population-based cost analysis. Eur. Stroke J. 2020, 5, 17–25. [Google Scholar] [CrossRef] [PubMed]
- Winstein, C.J.; Stein, J.; Arena, R.; Bates, B.; Cherney, L.R.; Cramer, S.C.; Deruyter, F.; Eng, J.J.; Fisher, B.; Harvey, R.L.; et al. Guidelines for adult stroke rehabilitation and recovery: A guideline for healthcare professionals from the American Heart Association/American stroke association: A guideline for healthcare professionals from the American Heart Association/American stroke association. Stroke 2016, 47, e98–e169. [Google Scholar] [CrossRef]
- Feigin, V.L.; Brainin, M.; Norrving, B.; Martins, S.O.; Pandian, J.; Lindsay, P.; Grupper, M.F.; Rautalin, I. World Stroke Organization: Global Stroke Fact Sheet 2025. Int. J. Stroke 2025, 20, 132–144. [Google Scholar] [CrossRef]
- Soler-Font, M.; Ribera, A.; Aznar-Lou, I.; Sánchez-Viñas, A.; Slof, J.; Vela, E.; Salvat-Plana, M.; Villa-García, L.; Serrano-Blanco, A.; de la Osa, N.P.; et al. Costs during the first year after stroke by degree of functional disability: A societal perspective. Eur. Stroke J. 2024, 10, 23969873241301904. [Google Scholar] [CrossRef]
- Cho, K.-H.; Park, S.-J. Effects of joint mobilization and stretching on the range of motion for ankle joint and spatiotemporal gait variables in stroke patients. J. Stroke Cerebrovasc. Dis. 2020, 29, 104933. [Google Scholar] [CrossRef]
- Li, S. Ankle and foot spasticity patterns in chronic stroke survivors with abnormal gait. Toxins 2020, 12, 646. [Google Scholar] [CrossRef]
- Cheng, H.; Fang, X.; Liao, L.; Tao, Y.; Gao, C. Prevalence and factors influencing the occurrence of spasticity in stroke patients: A retrospective study. Neurol. Res. 2023, 45, 166–172. [Google Scholar] [CrossRef] [PubMed]
- Mandiroglu, S.; Firat, M. Foot and ankle deformities in stroke: Relationship with ambulation, balance, and daily living activities: A cross-sectional study. Somatosens. Mot. Res. 2022, 39, 106–110. [Google Scholar] [CrossRef]
- Li, S.; Ghuman, J.; Gonzalez-Buonomo, J.; Huang, X.; Malik, A.; Yozbatiran, N.; Francisco, G.E.; Wu, H.; Frontera, W.R. Does spasticity correlate with motor impairment in the upper and lower limbs in ambulatory chronic stroke survivors? Am. J. Phys. Med. Rehabil. 2023, 102, 907–912. [Google Scholar] [CrossRef] [PubMed]
- Wei, T.-S.; Liu, P.-T.; Chang, L.-W.; Liu, S.-Y. Gait asymmetry, ankle spasticity, and depression as independent predictors of falls in ambulatory stroke patients. PLoS ONE 2017, 12, e0177136. [Google Scholar] [CrossRef] [PubMed]
- Gillard, P.J.; Sucharew, H.; Kleindorfer, D.; Belagaje, S.; Varon, S.; Alwell, K.; Moomaw, C.J.; Woo, D.; Khatri, P.; Flaherty, M.L.; et al. The negative impact of spasticity on the health-related quality of life of stroke survivors: A longitudinal cohort study. Health Qual. Life Outcomes 2015, 13, 159. [Google Scholar] [CrossRef]
- Boissonnault, È.; Jeon, A.; Munin, M.C.; Filippetti, M.; Picelli, A.; Haldane, C.; Reebye, R. Assessing muscle architecture with ultrasound: Implications for spasticity. Eur. J. Transl. Myol. 2024, 34, 134–144. [Google Scholar] [CrossRef]
- Tran, A.; Gao, J. Quantitative ultrasound to assess skeletal muscles in post stroke spasticity. J. Cent. Nerv. Syst. Dis. 2021, 13, 1179573521996141. [Google Scholar] [CrossRef]
- Pillen, S.; van Alfen, N. Skeletal muscle ultrasound. Neurol. Res. 2011, 33, 1016–1024. [Google Scholar] [CrossRef]
- Wink, M.H.; Wijkstra, H.; De La Rosette, J.J.M.C.H.; Grimbergen, C.A. Ultrasound imaging and contrast agents: A safe alternative to MRI? Minim. Invasive Ther. Allied Technol. 2006, 15, 93–100. [Google Scholar] [CrossRef] [PubMed]
- Harris-Love, M.O.; Avila, N.A.; Adams, B.; Zhou, J.; Seamon, B.; Ismail, C.; Zaidi, S.H.; Kassner, C.A.; Liu, F.; Blackman, M.R. The comparative associations of ultrasound and computed tomography estimates of muscle quality with physical performance and metabolic parameters in older men. J. Clin. Med. 2018, 7, 340. [Google Scholar] [CrossRef] [PubMed]
- Cao, C.-F.; Ma, K.-L.; Shan, H.; Liu, T.-F.; Zhao, S.-Q.; Wan, Y.; Zhang, J.; Wang, H.-Q. CT scans and cancer risks: A systematic review and dose-response meta-analysis. BMC Cancer 2022, 22, 1238. [Google Scholar] [CrossRef]
- Smoll, N.R.; Brady, Z.; Scurrah, K.J.; Lee, C.; Berrington de González, A.; Mathews, J.D. Computed tomography scan radiation and brain cancer incidence. Neuro Oncol. 2023, 25, 1368–1376. [Google Scholar] [CrossRef] [PubMed]
- Liu, W.; Wu, H.D.; Ling, Y.T.; Shea, Q.T.K.; Nazari, V.; Zheng, Y.-P.; Ma, C.Z. Reliability and validity of assessing lower-limb muscle architecture of patients with cerebral palsy (CP) using ultrasound: A systematic review. J. Clin. Ultrasound 2023, 51, 1212–1222. [Google Scholar] [CrossRef]
- Asadi, B.; Pujol-Fuentes, C.; Carcasona-Otal, A.; Calvo, S.; Herrero, P.; Lapuente-Hernández, D. Characterizing muscle tissue quality post-stroke: Echovariation as a clinical indicator. J. Clin. Med. 2024, 13, 7800. [Google Scholar] [CrossRef] [PubMed]
- Asadi, B.; Cuenca-Zaldívar, J.N.; Carcasona-Otal, A.; Herrero, P.; Lapuente-Hernández, D. Improving the reliability of muscle tissue characterization post-stroke: A secondary statistical analysis of echotexture features. J. Clin. Med. 2025, 14, 2902. [Google Scholar] [CrossRef] [PubMed]
- Asadi, B.; Abdi, S.; Pérez-Espallargas, L.; Nakhostin Ansari, N.; Lapuente-Hernández, D. A complementary patch-based histogram analysis for quantifying muscle tissue in ultrasound imaging. Invasive Physiother. Musculoskelet. Med. 2025, 1, e10. [Google Scholar] [CrossRef]
- Mohit, K.; Gupta, R.; Kumar, B. A survey on the machine learning techniques for automated diagnosis from ultrasound images. Curr. Med. Imaging Rev. 2023, 20, e290523217408. [Google Scholar] [CrossRef]
- González-Buonomo, J.; Pham, A.H.; Ghuman, J.; Malik, A.; Yozbatiran, N.; Francisco, G.E.; Frontera, W.R.; Li, S. Ultrasound assessment of spastic muscles in ambulatory chronic stroke survivors reveals function-dependent changes. J. Rehabil. Med. 2023, 55, jrm00342. [Google Scholar] [CrossRef]
- Yakut, H.; Ayyıldız, V.A.; Bekar, Z.; Kayan, M.; Kutluhan, S. The relationship of gastrocnemius-soleus muscle architecture with balance and functional strength in acute stroke patients. J. Mot. Behav. 2024, 56, 486–495. [Google Scholar] [CrossRef] [PubMed]
- Strasser, E.M.; Draskovits, T.; Praschak, M.; Quittan, M.; Graf, A. Association between ultrasound measurements of muscle thickness, pennation angle, echogenicity and skeletal muscle strength in the elderly. Age 2013, 35, 2377–2388. [Google Scholar] [CrossRef]
- Parry, S.M.; El-Ansary, D.; Cartwright, M.S.; Sarwal, A.; Berney, S.; Koopman, R.; Annoni, R.; Puthucheary, Z.; Gordon, I.R.; Morris, P.E.; et al. Ultrasonography in the intensive care setting can be used to detect changes in the quality and quantity of muscle and is related to muscle strength and function. J. Crit. Care 2015, 30, 1151.e9–e14. [Google Scholar] [CrossRef]
- Vandenbroucke, J.P.; Von Elm, E.; Altman, D.G.; Gotzsche, P.C.; Mulrow, C.D.; Pocock, S.J.; Poole, C.; Schlesselman, J.J.; Egger, M. Strengthening the reporting of Observational Studies in Epidemiology (STROBE): Explanation and elaboration. Вoпрoсы сoвременнoй педиатрии 2022, 21, 173–208. [Google Scholar] [CrossRef]
- Dias, C.P.; Freire, B.; Goulart, N.B.A.; Onzi, E.S.; Becker, J.; Gomes, I.; Arampatzis, A.; Vaz, M.A. Muscle architecture and torque production in stroke survivors: An observational study. Top. Stroke Rehabil. 2017, 24, 206–213. [Google Scholar] [CrossRef]
- Picelli, A.; Tamburin, S.; Cavazza, S.; Scampoli, C.; Manca, M.; Cosma, M.; Berto, G.; Vallies, G.; Roncari, L.; Melotti, C.; et al. Relationship between ultrasonographic, electromyographic, and clinical parameters in adult stroke patients with spastic equinus: An observational study. Arch. Phys. Med. Rehabil. 2014, 95, 1564–1570. [Google Scholar] [CrossRef]
- World Medical Association. Declaration of Helsinki: Ethical Principles for Medical Research Involving Human Participants. Jama 2025, 333, 71–74. [Google Scholar]
- de Diego-Alonso, C.; Blasco-Abadía, J.; Doménech-García, V.; Bellosta-López, P. Validity and stability of the international physical activity questionnaire short-form for stroke survivors with preserved walking ability. Top. Stroke Rehabil. 2025, 32, 562–571. [Google Scholar] [CrossRef]
- Vidmar, T.; Goljar Kregar, N.; Puh, U. Reliability of the Modified Ashworth Scale after stroke for 13 muscle groups. Arch. Phys. Med. Rehabil. 2023, 104, 1606–1611. [Google Scholar] [CrossRef]
- Hadi, S.; Khadijeh, O.; Hadian, M.; Niloofar, A.Y.; Olyaei, G.; Hossein, B.; Calvo, S.; Herrero, P. The effect of dry needling on spasticity, gait and muscle architecture in patients with chronic stroke: A case series study. Top. Stroke Rehabil. 2018, 25, 326–332. [Google Scholar] [CrossRef] [PubMed]
- Schindelin, J.; Arganda-Carreras, I.; Frise, E.; Kaynig, V.; Longair, M.; Pietzsch, T.; Preibisch, S.; Rueden, C.; Saalfeld, S.; Schmid, B.; et al. Fiji: An open-source platform for biological-image analysis. Nat. Methods 2012, 9, 676–682. [Google Scholar] [CrossRef] [PubMed]
- Vatcheva, K.P.; Lee, M.; McCormick, J.B.; Rahbar, M.H. Multicollinearity in regression analyses conducted in epidemiologic studies. Epidemiology 2016, 6, 227. [Google Scholar] [CrossRef]
- Carlson, J. Radiomics: ‘Radiomic’ Image Processing Toolbox, version 0.1.1. 2018; Place of Publication Unknown. Available online: https://rdrr.io/github/joelcarlson/radiomics/ (accessed on 28 October 2025).
- Pau, G.; Fuchs, F.; Sklyar, O.; Boutros, M.; Huber, W. EBImage-an R package for image processing with applications to cellular phenotypes. Bioinformatics 2010, 26, 979–981. [Google Scholar] [CrossRef]
- Sugiyama, J.; Kobayashi, K. Image Tools for Automated Wood Identification, version 1.0. 2016. Available online: https://repository.kulib.kyoto-u.ac.jp/items/5cdcf5e5-9c0b-4cde-8009-8b113b888f8e?locale=en (accessed on 28 October 2025).
- Jung, I.-G.; Yu, I.-Y.; Kim, S.-Y.; Lee, D.-K.; Oh, J.-S. Reliability of Ankle Dorsiflexion Passive Range of Motion Measurements Obtained Using a Hand-Held Goniometer and Biodex Dynamometer in Stroke Patients. J. Phys. Ther. Sci. 2015, 27, 1899–1901. [Google Scholar] [CrossRef]
- Davis, P.R.; McKay, M.J.; Baldwin, J.N.; Burns, J.; Pareyson, D.; Rose, K.J. Repeatability, Consistency, and Accuracy of Hand-Held Dynamometry with and without Fixation for Measuring Ankle Plantarflexion Strength in Healthy Adolescents and Adults: Measuring Ankle Plantarflexion. Muscle Nerve 2017, 56, 896–900. [Google Scholar] [CrossRef] [PubMed]
- Chan, P.P.; Si Tou, J.I.; Tse, M.M.; Ng, S.S. Reliability and Validity of the Timed Up and Go Test with a Motor Task in People with Chronic Stroke. Arch. Phys. Med. Rehabil. 2017, 98, 2213–2220. [Google Scholar] [CrossRef] [PubMed]
- Cheng, D.K.; Nelson, M.; Brooks, D.; Salbach, N.M. Validation of Stroke-Specific Protocols for the 10-Meter Walk Test and 6-Minute Walk Test Conducted Using 15-Meter and 30-Meter Walkways. Top. Stroke Rehabil. 2020, 27, 251–261. [Google Scholar] [CrossRef] [PubMed]
- Bohannon, R.W.; Smith, M.B. Interrater Reliability of a Modified Ashworth Scale of Muscle Spasticity. Phys. Ther. 1987, 67, 206–207. [Google Scholar] [CrossRef]
- Eek, M.N.; Kroksmark, A.-K.; Beckung, E. Isometric Muscle Torque in Children 5 to 15 Years of Age: Normative Data. Arch. Phys. Med. Rehabil. 2006, 87, 1091–1099. [Google Scholar] [CrossRef]
- Mahmoud, N.F.; Hassan, K.A.; Abdelmajeed, S.F.; Moustafa, I.M.; Silva, A.G. The Relationship between Forward Head Posture and Neck Pain: A Systematic Review and Meta-Analysis. Curr. Rev. Musculoskelet. Med. 2019, 12, 562–577. [Google Scholar] [CrossRef] [PubMed]
- Xiao, W.; Liu, Y.; Huang, J.; Huang, L.-A.; Bian, Y.; Zou, G. Analysis of factors associated with depressive symptoms in stroke patients based on a national cross-sectional study. Sci. Rep. 2024, 14, 9268. [Google Scholar] [CrossRef]
- Martínez-Payá, J.J.; Ríos-Díaz, J.; Del Baño-Aledo, M.E.; Tembl-Ferrairó, J.I.; Vazquez-Costa, J.F.; Medina-Mirapeix, F. Quantitative muscle ultrasonography using textural analysis in amyotrophic lateral sclerosis. Ultrason. Imaging 2017, 39, 357–368. [Google Scholar] [CrossRef]
- Getzmann, J.M.; Zantonelli, G.; Messina, C.; Albano, D.; Serpi, F.; Gitto, S.; Sconfienza, L.M. The use of artificial intelligence in musculoskeletal ultrasound: A systematic review of the literature. Radiol. Med. 2024, 129, 1405–1411. [Google Scholar] [CrossRef]
- Roelofs, J.M.B.; Zandvliet, S.B.; Schut, I.M.; Huisinga, A.C.M.; Schouten, A.C.; Hendricks, H.T.; de Kam, D.; Aerden, L.A.M.; Bussmann, J.B.J.; Geurts, A.C.H.; et al. Mild stroke, serious problems: Limitations in balance and gait capacity and the impact on fall rate, and physical activity. Neurorehabil. Neural Repair 2023, 37, 786–798. [Google Scholar] [CrossRef]
- Portnoy, S.; Reif, S.; Mendelboim, T.; Rand, D. Postural control of individuals with chronic stroke compared to healthy participants: Timed-Up-and-Go, Functional Reach Test and center of pressure movement. Eur. J. Phys. Rehabil. Med. 2017, 53, 685–693. [Google Scholar] [CrossRef]
- Kostka, J.; Niwald, M.; Guligowska, A.; Kostka, T.; Miller, E. Muscle power, contraction velocity and functional performance after stroke. Brain Behav. 2019, 9, e01243. [Google Scholar] [CrossRef]
- Schillebeeckx, F.; DEGroef, A.; DEBeukelaer, N.; Desloovere, K.; Verheyden, G.; Peers, K. Muscle and tendon properties of the spastic lower leg after stroke defined by ultrasonography: A systematic review. Eur. J. Phys. Rehabil. Med. 2021, 57, 495–510. [Google Scholar] [CrossRef]

| Healthy Group | Stroke Group | a p Value | ||
|---|---|---|---|---|
| n | 26 | 26 | ||
| Anthropometric and Sociodemographic characteristics | ||||
| Age | 55.96 ± 11.99 | 56.65 ± 11.83 | 0.776 | |
| Weight (kg) | 73.37 ± 14.58 | 78.27 ± 15.97 | 0.355 | |
| Height (cm) | 168.69 ± 9.53 | 169.15 ± 10.46 | 0.79 | |
| Dominant side, n(%) | Left | 2 (7.70) | 2 (7.70) | >0.999 |
| Right | 24 (92.30) | 24 (92.30) | ||
| Biological sex, n(%) | Female | 8 (30.80) | 8 (30.80) | >0.999 |
| Male | 18 (69.20) | 18 (69.20) | ||
| Educational level, n(%) | Non university | 6 (23.01) | 19 (73.10) | 0.001 |
| University | 20 (76.90) | 7 (26.90) | ||
| Marital status, n(%) | Married | 10 (38.50) | 16 (61.50) | 0.291 |
| Single/divorced | 13 (50.00) | 9 (34.60) | ||
| Widow | 3 (11.50) | 1 (3.80) | ||
| Live alone, n(%) | No | 18 (69.20) | 21 (80.80) | 0.523 |
| Yes | 8 (30.80) | 5 (19.20) | ||
| Clinical characteristics | ||||
| Tobacco, n(%) | Ex-smoker | 7 (26.90) | 11 (42.30) | 0.28 |
| No | 18 (69.20) | 12 (46.20) | ||
| Yes | 1 (3.80) | 3 (11.50) | ||
| Number of cigarettes/day | 13.00 ± 7.28 | 21.14 ± 13.70 | 0.263 | |
| Alcohol, n(%) | Consumer | 19 (73.10) | 8 (30.80) | 0.005 |
| Non consumer | 7 (26.90) | 18 (69.20) | ||
| Current exercise, n(%) | No | 3 (11.50) | 4 (15.40) | >0.999 |
| Yes | 23 (88.50) | 22 (84.60) | ||
| Nutritionist treatment, n(%) | No | 21 (80.80) | 24 (92.30) | 0.419 |
| Yes | 5 (19.20) | 2 (7.70) | ||
| Physiotherapy treatment, n(%) | No | 6 (23.10) | 2 (7.70) | 0.248 |
| Yes | 20 (76.90) | 24 (92.30) | ||
| Psychologist treatment, n(%) | No | 11 (42.30) | 7 (26.90) | 0.382 |
| Yes | 15 (57.70) | 19 (73.10) | ||
| Anxiety/depression, n(%) | No | 5 (19.20) | 4 (15.40) | >0.999 |
| Yes | 21 (80.80) | 22 (84.60) | ||
| VAS-10 anxiety | 3.69 ± 2.60 | 3.75 ± 3.06 | 0.919 | |
| VAS-10 depression | 1.19 ± 1.74 | 4.08 ± 3.05 | 0.001 | |
| Physical Activity (IPAQ), n(%) | High | 10 (38.50) | 2 (7.70) | 0.008 |
| Low | 7 (26.90) | 17 (65.40) | ||
| Moderate | 9 (34.60) | 7 (26.90) | ||
| Stroke-Specific Characteristics | ||
|---|---|---|
| Time since stroke, years (mean ± SD) | 3.03 ± 2.58 | |
| Type of stroke | Ischemic | 23 (88.46) |
| Hemorrhagic | 3 (11.54) | |
| Hemiparetic side, n(%) | Left | 10 (38.50) |
| Right | 16 (61.50) | |
| Modified Ranking Scale for Neurologic Disability | 0 | 0 (0.00) |
| 1 | 6 (23.08) | |
| 2 | 9 (34.60) | |
| 3 | 8 (30.80) | |
| 4 | 3 (11.54) | |
| 5 | 0 (0.00) | |
| 6 | 0 (0.00) | |
| Walking assistive device, n(%) | Cane | 11 (42.30) |
| Cane and Rancho Los Amigos splint | 5 (19.20) | |
| Wheelchair | 2 (7.70) | |
| No | 8 (30.80) | |
| Patients’ perception of daily life ankle spasticity interference, n(%) | No | 7 (26.90) |
| Yes | 19 (73.10) | |
| Botulinum toxin, n(%) | No | 18 (69.20) |
| Yes | 8 (30.80) | |
| Dry needling, n(%) | No | 23 (88.50) |
| Yes | 3 (11.50) | |
| Spasticity medication, n(%) | No | 19 (73.10) |
| Yes | 7 (26.90) | |
| Mobility difficulties, n(%) | No | 10 (38.50) |
| Yes | 16 (61.50) | |
| Self-care difficulties, n(%) | No | 4 (15.40) |
| Yes | 22 (84.60) | |
| Leisure/hobbies/work difficulties, n(%) | No | 8 (30.80) |
| Yes | 18 (69.20) | |
| Modified Ashworth Scale, n(%) | 1 | 8 (30.80) |
| 1+ | 6 (23.10) | |
| 2 | 6 (23.10) | |
| 3 | 6 (23.10) | |
| None | 0 (0.00) | |
| Exercise before stroke, n(%) | No | 7 (26.90) |
| Yes | 19 (73.10) | |
| Stroke Affected Leg | Stroke Non Affected Leg | Healthy Dominant Leg | Healthy Non Dominant Leg | Stroke affected vs. non affected leg (a p value) | Stroke Affected Leg vs. Healthy Dominant Leg (a p Value) | Stroke Affected Leg vs. Healthy Non Dominant Leg (a p Value) | |
|---|---|---|---|---|---|---|---|
| ADF goniometry (°) | −8.46 ± 11.11 | 5.96 ± 9.49 | 11.15 ± 6.05 | 11.92 ± 5.49 | 15.26 (SE = 3.23), t = 4.72, p < 0.001 | 18.53 (SE = 3.97), t = 4.66, p < 0.001 | 19.47 (SE = 3.77), t = 5.16, p < 0.001 |
| APF goniometry (°) | 45.85 ± 16.87 | 50.19 ± 10.63 | 57.31 ± 8.86 | 55.00 ± 7.35 | 7.53 (SE = 5.43), t = 1.39, p = 0.18 | 13.20 (SE = 7.68), t = 1.72, p = 0.09 | 9.47 (SE = 7.34), t = 1.29, p = 0.21 |
| ADF dynamometry (kg) | 3.27 ± 4.06 | 9.54 ± 4.64 | 14.43 ± 4.73 | 14.25 ± 4.68 | 5.81 (SE = 1.49), t = 3.9, p = 0.001 | 11.58 (SE = 2.45), t = 4.72, p < 0.001 | 11.34 (SE = 2.43), t = 4.65, p < 0.001 |
| APF dynamometry (kg) | 5.80 ± 6.07 | 11.23 ± 6.56 | 18.56 ± 11.23 | 20.46 ± 13.02 | 4.95 (SE = 2.01), t = 2.47, p = 0.02 | 9.10 (SE = 4.81), t = 1.89, p = 0.07 | 12.48 (SE = 4.51), t = 2.77, p = 0.009 |
| Functional Mobility and Walking Speed | Healthy Group | Stroke Group | a p Value |
|---|---|---|---|
| TUG (s) | 8.29 ± 0.96 | 25.04 ± 19.47 | 9.84 (SE = 7.82), t = 1.26, p = 0.227 |
| 10MWT at normal speed (s) | 4.60 ± 0.65 | 11.44 ± 8.33 | 4.21 (SE = 3.24), t = 1.30, p = 0.202 |
| 10MWT at high speed (s) | 3.11 ± 0.43 | 9.71 ± 7.79 | 3.56 (SE = 3.12), t = 1.14, p = 0.263 |
| 10MWT assistance level | 7.00 ± 0.00 | 6.15 ± 0.88 | −1.04 (SE = 0,31), t = −3.32, p = 0.002 |
| Stroke Affected Leg ρ (a p Value) | Stroke Non Affected Leg ρ (a p Value) | Healthy Dominant Leg ρ (a p Value) | Healthy Non Dominant Leg ρ (a p Value) | ||
|---|---|---|---|---|---|
| Echogenicity | Ankle dorsiflexion goniometry (°) | 0.087, p = 0.171 | 0.083, p = 0.258 | 0.118, p = 0.027 | −0.188, p = 0.03 |
| Ankle plantarflexion goniometry (°) | 0.09, p = 0.043 | −0.208, p = 0.194 | 0.453, p = 0.001 | 0.339, p = 0.001 | |
| Dorsiflexor dynamometry (kg) | 0.143, p = 0.223 | −0.025, p = 0.185 | 0.202, p = 0.005 | 0.162, p = 0.009 | |
| Plantarflexor dynamometry (kg) | − 0.002, p = 0.148 | −0.094, p = 0.153 | 0.054, p = 0.002 | −0.117, p = 0.065 | |
| 10MWT at normal speed (s) | 0.207, p = 0.07 | 0.124, p = 0.11 | |||
| 10MWT at high speed (s) | 0.153, p = 0.34 | 0.122, p = 0.022 | |||
| TUG (s) | 0.108, p = 0.027 | 0.234, p = 0.046 | |||
| MAS | 0.041, p = 0.17 | 0.116, p = 0.185 | |||
| Echovariance | Ankle dorsiflexion goniometry (°) | 0.164, p = 0.099 | −0.149, p = 0.341 | −0.097, p = 0.002 | 0.252, p = 0.048 |
| Ankle plantarflexion goniometry (°) | −0.032, p = 0.461 | 0.196, p = 0.012 | −0.467, p < 0.001 | −0.309, p = 0.01 | |
| Dorsiflexor dynamometry (kg) | 0.061, p = 0.114 | 0.004, p = 0.062 | −0.188, p = 0.003 | −0.181, p = 0.08 | |
| Plantarflexor dynamometry (kg) | 0.169, p = 0.493 | 0.027, p = 0.225 | −0.1, p = 0.001 | −0.012, p = 0.145 | |
| 10MWT at normal speed (s) | −0.322, p = 0.161 | −0.248, p = 0.151 | |||
| 10MWT at high speed (s) | −0.276, p = 0.162 | −0.257, p = 0.229 | |||
| TUG (s) | −0.138, p = 0.082 | −0.218, p = 0.072 | |||
| MAS | −0.152, p = 0.396 | −0.106, p = 0.086 | |||
| Muscle thickness (cm) | Ankle dorsiflexion goniometry (°) | −0.025, p = 0.043 | 0.06, p = 0.742 | 0.016, p = 0.704 | −0.139, p = 0.39 |
| Ankle plantarflexion goniometry (°) | −0.371, p = 0.224 | 0.207, p = 0.45 | −0.077, p = 0.366 | 0.03, p = 0.014 | |
| Dorsiflexor dynamometry (kg) | −0.239, p = 0.491 | 0.315, p = 0.264 | 0.116, p = 0.284 | −0.013, p = 0.534 | |
| Plantarflexor dynamometry (kg) | −0.125, p = 0.519 | 0.142, p = 0.942 | 0.532, p = 0.236 | 0.412, p = 0.28 | |
| 10MWT at normal speed (sec) | −0.279, p = 0.669 | 0.102, p = 0.607 | |||
| 10MWT at high speed (s) | −0.266, p = 0.035 | 0.096, p = 0.325 | |||
| TUG (s) | −0.332, p = 0.182 | −0.062, p = 0.367 | |||
| Modified Ashworth Scale (MAS) | −0.038, p = 0.317 | −0.041, p = 0.383 | |||
| Penation angle (°) | Ankle dorsiflexion goniometry (°) | 0.306, p = 0.143 | 0.074, p = 0.484 | −0.079, p = 0.075 | −0.039, p = 0.096 |
| Ankle plantarflexion goniometry (°) | −0.344, p = 0.252 | 0.14, p = 0.088 | −0.295, p = 0.486 | −0.109, p = 0.027 | |
| Dorsiflexor dynamometry (kg) | 0.069, p = 0.179 | 0.206, p = 0.232 | −0.198, p = 0.285 | −0.274, p = 0.183 | |
| Plantarflexor dynamometry (kg) | 0.358, p = 0.544 | 0.54, p = 0.15 | 0.171, p = 0.541 | 0.317, p = 0.044 | |
| 10MWT at normal speed (s) | −0.083, p = 0.474 | −0.24, p = 0.485 | |||
| 10MWT at high speed (s) | −0.048, p = 0.543 | −0.247, p = 0.09 | |||
| TUG (s) | 0.037, p = 0.075 | −0.243, p = 0.121 | |||
| MAS | −0.439, p = 0.719 | −0.399, p = 0.051 |
Disclaimer/Publisher’s Note: The statements, opinions and data contained in all publications are solely those of the individual author(s) and contributor(s) and not of MDPI and/or the editor(s). MDPI and/or the editor(s) disclaim responsibility for any injury to people or property resulting from any ideas, methods, instructions or products referred to in the content. |
© 2025 by the authors. Licensee MDPI, Basel, Switzerland. This article is an open access article distributed under the terms and conditions of the Creative Commons Attribution (CC BY) license (https://creativecommons.org/licenses/by/4.0/).
Share and Cite
Pujol-Fuentes, C.; Cuenca-Zaldívar, J.N.; Pérez, M.D.N.; Musselman, K.; Álvarez-Salvago, F.; Herrero, P.; Fernández-Carnero, S. Structural and Textural Ultrasound Features of Gastrocnemius Medialis in Chronic Stroke: Associations with Functional Outcomes and Spasticity. J. Clin. Med. 2025, 14, 7680. https://doi.org/10.3390/jcm14217680
Pujol-Fuentes C, Cuenca-Zaldívar JN, Pérez MDN, Musselman K, Álvarez-Salvago F, Herrero P, Fernández-Carnero S. Structural and Textural Ultrasound Features of Gastrocnemius Medialis in Chronic Stroke: Associations with Functional Outcomes and Spasticity. Journal of Clinical Medicine. 2025; 14(21):7680. https://doi.org/10.3390/jcm14217680
Chicago/Turabian StylePujol-Fuentes, Clara, Juan Nicolas Cuenca-Zaldívar, Mª Dolores Navarro Pérez, Kristin Musselman, Francisco Álvarez-Salvago, Pablo Herrero, and Samuel Fernández-Carnero. 2025. "Structural and Textural Ultrasound Features of Gastrocnemius Medialis in Chronic Stroke: Associations with Functional Outcomes and Spasticity" Journal of Clinical Medicine 14, no. 21: 7680. https://doi.org/10.3390/jcm14217680
APA StylePujol-Fuentes, C., Cuenca-Zaldívar, J. N., Pérez, M. D. N., Musselman, K., Álvarez-Salvago, F., Herrero, P., & Fernández-Carnero, S. (2025). Structural and Textural Ultrasound Features of Gastrocnemius Medialis in Chronic Stroke: Associations with Functional Outcomes and Spasticity. Journal of Clinical Medicine, 14(21), 7680. https://doi.org/10.3390/jcm14217680

