Real-World Data on the Efficacy and Safety of Osilodrostat in Patients with Cushing’s Disease in Spain
Abstract
1. Introduction
2. Materials and Methods
2.1. Study Design and Definitions
2.2. Primary and Secondary Outcomes
2.3. Variables and Hormonal Assays
2.4. Statistical Analysis
3. Results
3.1. Baseline Characteristics
3.2. Osilodrostat Treatment: Efficacy and Safety
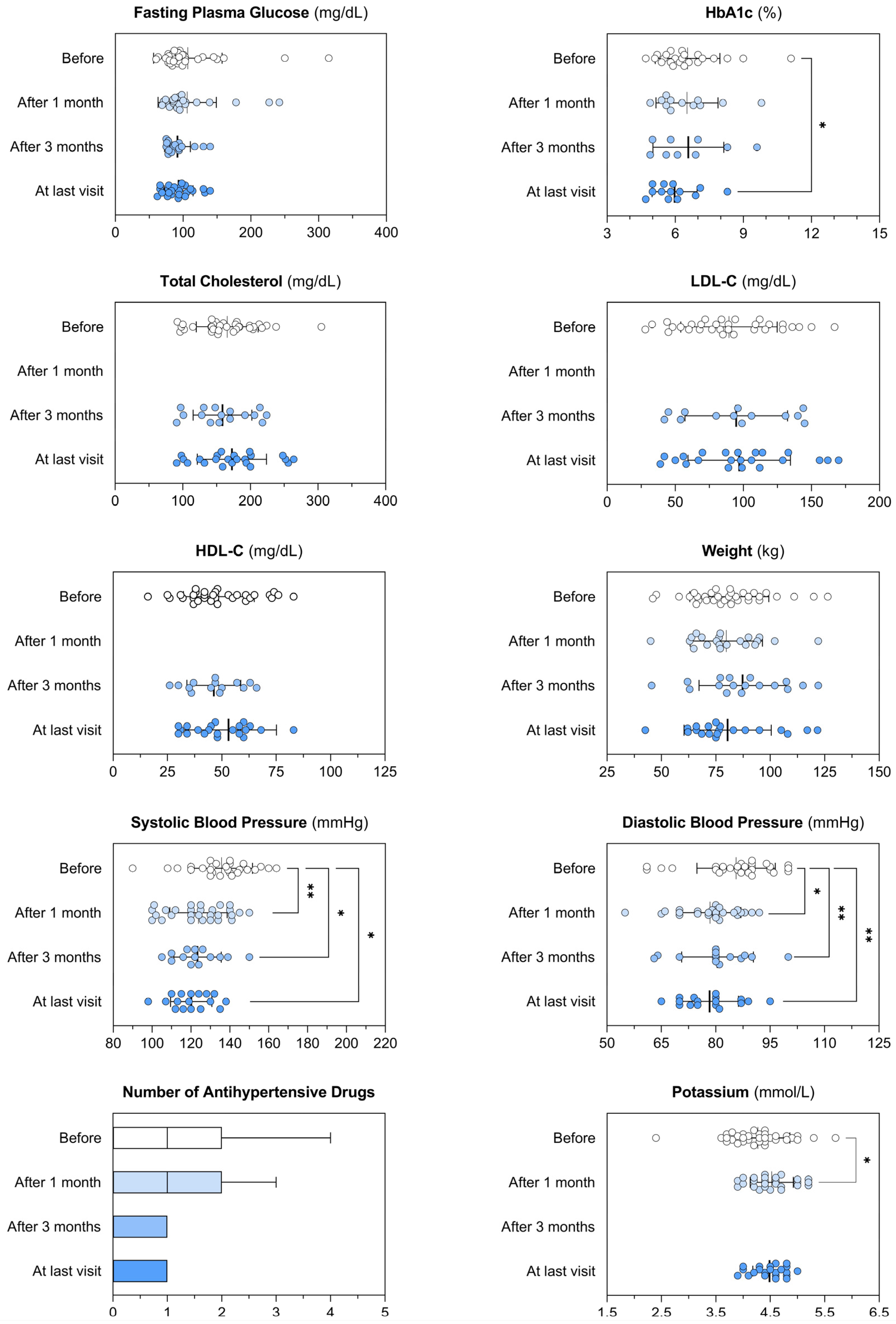
3.3. Osilodrostat Treatment: Impact on the Control of Cardiometabolic Comorbidities
4. Discussion
5. Conclusions
Author Contributions
Funding
Institutional Review Board Statement
Informed Consent Statement
Data Availability Statement
Conflicts of Interest
References
- Hakami, O.A.; Ahmed, S.; Karavitaki, N. Epidemiology and mortality of Cushing’s syndrome. Best Pr. Res. Clin. Endocrinol. Metab. 2021, 35, 101521. [Google Scholar] [CrossRef]
- Valassi, E. Clinical presentation and etiology of Cushing’s syndrome: Data from ERCUSYN. J. Neuroendocr. 2022, 34, e13114. [Google Scholar] [CrossRef]
- Fleseriu, M.; Auchus, R.; Bancos, I.; Ben-Shlomo, A.; Bertherat, J.; Biermasz, N.R.; Boguszewski, C.L.; Bronstein, M.D.; Buchfelder, M.; Carmichael, J.D.; et al. Consensus on diagnosis and management of Cushing’s disease: A guideline update. Lancet Diabetes Endocrinol. 2021, 9, 847–875. [Google Scholar] [CrossRef]
- Martino, M.; Aboud, N.; Lucchetti, B.; Salvio, G.; Arnaldi, G. An evaluation of pharmacological options for Cushing’s disease: What are the state-of-the-art options? Expert Opin. Pharmacother. 2023, 24, 557–576. [Google Scholar] [CrossRef]
- Broersen, L.H.A.; Jha, M.; Biermasz, N.R.; Pereira, A.M.; Dekkers, O.M. Effectiveness of medical treatment for Cushing’s syndrome: A systematic review and meta-analysis. Pituitary 2018, 21, 631–641. [Google Scholar] [CrossRef] [PubMed]
- Pivonello, R.; Zacharieva, S.; Elenkova, A.; Tóth, M.; Shimon, I.; Stigliano, A.; Badiu, C.; Brue, T.; Georgescu, C.E.; Tsagarakis, S.; et al. Levoketoconazole in the treatment of patients with endogenous Cushing’s syndrome: A double-blind, placebo-controlled, randomized withdrawal study (LOGICS). Pituitary 2022, 25, 911–926. [Google Scholar] [CrossRef] [PubMed]
- Nieman, L.K.; Boscaro, M.; Scaroni, C.M.; Deutschbein, T.; Mezosi, E.; Driessens, N.; Georgescu, C.E.; Hubalewska-D, A.; Berker, D.; Jarzab, B.M.; et al. Metyrapone Treatment in Endogenous Cushing’s Syndrome: Results at Week 12 from PROMPT, a Prospective International Multicenter, Open-Label, Phase III/IV Study. J. Endocr. Soc. 2021, 5, A515. [Google Scholar] [CrossRef]
- Gadelha, M.; Bex, M.; Feelders, R.A.; Heaney, A.P.; Auchus, R.J.; Gilis-Januszewska, A.; Witek, P.; Belaya, Z.; Yu, Y.; Liao, Z.; et al. Randomized Trial of Osilodrostat for the Treatment of Cushing Disease. J. Clin. Endocrinol. Metab. 2022, 107, E2882–E2895. [Google Scholar] [CrossRef] [PubMed]
- Palui, R.; Sahoo, J.; Kamalanathan, S.; Kar, S.S.; Selvarajan, S.; Durgia, H. Effect of cabergoline monotherapy in Cushing’s disease: An individual participant data meta-analysis. J. Endocrinol. Investig. 2018, 41, 1445–1455. [Google Scholar] [CrossRef]
- Simões Corrêa Galendi, J.; Correa Neto, A.N.S.; Demetres, M.; Boguszewski, C.L.; Nogueira, V.d.S.N. Effectiveness of Medical Treatment of Cushing’s Disease: A Systematic Review and Meta-Analysis. Front. Endocrinol. 2021, 12, 732240. [Google Scholar] [CrossRef]
- Creemers, S.G.; Feelders, R.A.; De Jong, F.H.; Franssen, G.J.H.; De Rijke, Y.B.; Van Koetsveld, P.M.; Hofland, L.J. Osilodrostat Is a Potential Novel Steroidogenesis Inhibitor for the Treatment of Cushing Syndrome: An In Vitro Study. J. Clin. Endocrinol. Metab. 2019, 104, 3437–3449. [Google Scholar] [CrossRef] [PubMed]
- Fleseriu, M.; Pivonello, R.; Young, J.; Hamrahian, A.H.; Molitch, M.E.; Shimizu, C.; Tanaka, T.; Shimatsu, A.; White, T.; Hilliard, A.; et al. Osilodrostat, a potent oral 11β-hydroxylase inhibitor: 22-week, prospective, Phase II study in Cushing’s disease. Pituitary 2016, 19, 138–148. [Google Scholar] [CrossRef]
- Pivonello, R.; Fleseriu, M.; Newell-Price, J.; Bertagna, X.; Findling, J.; Shimatsu, A.; Gu, F.; Auchus, R.; Leelawattana, R.; Lee, E.J.; et al. Efficacy and safety of osilodrostat in patients with Cushing’s disease (LINC 3): A multicentre phase III study with a double-blind, randomised withdrawal phase. Lancet Diabetes Endocrinol. 2020, 8, 748–761. [Google Scholar] [CrossRef]
- Fleseriu, M.; Newell-Price, J.; Pivonello, R.; Shimatsu, A.; Auchus, R.J.; Scaroni, C.; Belaya, Z.; Feelders, R.A.; Vila, G.; Houde, G.; et al. Long-term outcomes of osilodrostat in Cushing’s disease: LINC 3 study extension. Eur. J. Endocrinol. 2022, 187, 531–541. [Google Scholar] [CrossRef]
- Fleseriu, M.; Auchus, R.J.; Huang, W.; Spencer-Segal, J.L.; Yuen, K.C.J.; Dacus, K.C.; Padgett, J.; Babler, E.K.; Das, A.K.; Campos, C.; et al. Osilodrostat Treatment of Cushing Syndrome in Real-World Clinical Practice: Findings from the ILLUSTRATE study. J. Endocr. Soc. 2025, 9, bvaf046. [Google Scholar] [CrossRef]
- Dzialach, L.; Sobolewska, J.; Respondek, W.; Szamotulska, K.; Witek, P. Cushing’s Disease: Long-Term Effectiveness and Safety of Osilodrostat in a Polish Group of Patients with Persistent Hypercortisolemia in the Experience of a Single Center. Biomedicines 2023, 11, 3227. [Google Scholar] [CrossRef]
- Ekladios, C.; Khoury, J.; Mehr, S.; Feghali, K. Osilodrostat-induced adrenal insufficiency in a patient with Cushing’s disease. Clin. Case Rep. 2022, 10, e6607. [Google Scholar] [CrossRef] [PubMed]
- Ferriere, A.; Salenave, S.; Puerto, M.; Young, J.; Tabarin, A. Prolonged adrenal insufficiency following discontinuation of osilodrostat treatment for intense hypercortisolism. Eur. J. Endocrinol. 2024, 190, L1–L3. [Google Scholar] [CrossRef]
- Shimatsu, A.; Biller, B.M.; Fleseriu, M.; Pivonello, R.; Lee, E.J.; Leelawattana, R.; Kim, J.H.; Walia, R.; Yu, Y.; Liao, Z.; et al. Osilodrostat treatment in patients with Cushing’s disease of Asian or non-Asian origin: A pooled analysis of two Phase III randomized trials (LINC 3 and LINC 4). Endocr. J. 2024, 71, 1103–1123. [Google Scholar] [CrossRef]
- Alexandraki, K.I.; Grossman, A.B. Therapeutic Strategies for the Treatment of Severe Cushing’s Syndrome. Drugs 2016, 76, 447–458. [Google Scholar] [CrossRef] [PubMed]
- Nieman, L.; Akinci, B.; Beckers, A.; Bolanowski, M.; Hanzu, F.A.; Mezosi, E.; Tonjes, A.; Bostnavaron, M.; Jaspart, A.; Borensztein, P.; et al. PROMPT: A prospective study to assess efficacy and safety of metyrapone in endogenous Cushing’s syndrome. In Proceedings of the 20th European Congress of Endocrinology, Barcelona, Spain, 9–22 May 2018; Volume 56. [Google Scholar] [CrossRef]
- Castinetti, F.; Guignat, L.; Giraud, P.; Muller, M.; Kamenicky, P.; Drui, D.; Caron, P.; Luca, F.; Donadille, B.; Vantyghem, M.C.; et al. Ketoconazole in cushing’s disease: Is it worth a try. J. Clin. Endocrinol. Metab. 2014, 99, 1623–1630. [Google Scholar] [CrossRef] [PubMed]
- Fleseriu, M.; Pivonello, R.; Newell-Price, J.; Gadelha, M.R.; Biller, B.M.K.; Auchus, R.J.; Feelders, R.A.; Shimatsu, A.; Witek, P.; Bex, M.; et al. Osilodrostat improves blood pressure and glycemic control in patients with Cushing’s disease: A pooled analysis of LINC 3 and LINC 4 studies. Pituitary 2025, 28, 22. [Google Scholar] [CrossRef] [PubMed]




| Variable | Value |
|---|---|
| Clinical and Biochemical Data | |
| Age (years) | 44.2 (range 9–75) |
| Age when osilodrostat was initiated | 50.6 (range 22–79) |
| Female sex | 67.6% (n = 25) |
| Type 2 diabetes | 35% (n = 13) |
| Hypertension | 59.5% (n = 22) |
| Hypokalemia | 2.7% (n = 1) |
| Fasting plasma glucose levels (mg/dL) | 103 (range 64–250) |
| Serum potassium levels (mEq/mL) | 4.3 (range 2.4–5.2) |
| Cortisol after dexamethasone suppression test (µg/dL) | 18.1 (3.1–52) |
| UFC (×ULN) | 3.5 (range 1.1–66) |
| ACTH (pg/mL) | 75.7 (range 20–134) |
| Late night salivary cortisol (×ULN) | 3.1 (range 1.1–22.9) |
| Previous Treatments to Osilodrostat | |
| Pituitary surgery | 81.1% (n = 30) |
| Repeated pituitary surgery | 37.8% (n = 14) |
| Radiotherapy | 37.8% (n = 14) |
Ketoconazole monotherapy
| 64.9% (n = 24) 600 (range 400–1600) 35% (n = 8) 48% (n = 11) 18% (n = 4) |
Metyrapone monotherapy
| 27% (n = 10) 1000 (range 750–4000) 10% (n = 1) 60% (n = 6) 30% (n = 3) |
| Combination therapy † | 32.4% (n = 12) |
| Adverse Event | Frequency | Severity of the Adverse Event |
|---|---|---|
| Cortisol withdrawn syndrome | 4 (10.8%) | Mild |
| Hypocortisolism | 3 (8.1%) | Mild |
| Gastrointestinal symptoms | 3 (8.1%) | Mild |
| Edemas | 2 (5.4%) | Mild |
| Hyperandrogenism | 1 (2.7%) | Mild |
| Mid hypertransaminasemia | 1 (2.7%) | Mild |
| Patient | Age | Sex | UFC × ULN Before Osilodrostat | Initial Daily Doses (mg) | Maximum Daily Doses (mg) | Time from Osilodrostat Initiation to AI Development | Time of AI Since Osilodrostat Discontinuation |
|---|---|---|---|---|---|---|---|
| 1 | 45 | F | 5.9 | 1.0 | 10 | 57.0 months | 9 months (then recovery) |
| 2 | 60 | F | 2.7 | 2.0 | 2.0 | 75.0 months | 10 months (then recovery) |
| 3 | 22 | F | 2.1 | 4.0 | 4.0 | 20 days | 7 months (then recovery) |
| Variable | Before Osilodrostat | After Osilodrostat | Paired Data (N) | p-Value |
|---|---|---|---|---|
| FPG (mg/dL) | 106.9 ± 50.51 (n = 34) | 92.0 ± 30.04 (n = 35) | 34 | 0.080 |
| HbA1c (%) | 6.5 ± 1.43 (n = 23) | 6.1 ± 0.92 (n = 17) | 16 | 0.061 |
| Total cholesterol (mg/dL) | 166 ± 45.8 (n = 34) | 164 ± 47.6 (n = 23) | 23 | 0.233 |
| LDL (mg/dL) | 90 ± 35.4 (n = 31) | 98 ± 33.8 (n = 22) | 21 | 0.242 |
| HDL (mg/dL) | 49 ± 16.3 (n = 32) | 48 ± 14.5 (n = 22) | 21 | 0.695 |
| Weight (kg) | 81.2 ± 18.13 (n = 33) | 80.6 ± 17.63 (n = 33) | 30 | 0.625 |
| SBP (mmHg) | 136 ± 16.0 (n = 28) | 119 ± 12.0 (n = 32) | 27 | <0.001 |
| DBP (mmHg) | 86 ± 10.8 (n = 28) | 75 ± 8.4 (n = 30) | 26 | <0.001 |
| Antihypertensive drugs (n) | 1 [0–2] (n = 34) | 0 [0–1] (n = 33) | 33 | 0.016 |
| Potassium (mmol/L) | 4.3 ± 0.59 (n = 34) | 4.4 ± 0.36 (n = 32) | 31 | 0.146 |
Disclaimer/Publisher’s Note: The statements, opinions and data contained in all publications are solely those of the individual author(s) and contributor(s) and not of MDPI and/or the editor(s). MDPI and/or the editor(s) disclaim responsibility for any injury to people or property resulting from any ideas, methods, instructions or products referred to in the content. |
© 2025 by the authors. Licensee MDPI, Basel, Switzerland. This article is an open access article distributed under the terms and conditions of the Creative Commons Attribution (CC BY) license (https://creativecommons.org/licenses/by/4.0/).
Share and Cite
Araujo-Castro, M.; García-Centeno, R.; González, L.; Hanzu, F.A.; Orois, A.; Camara, R.; García, M.D.O.; Echarri, A.I.; Gracia Gimeno, P.; Pascual-Corrales, E.; et al. Real-World Data on the Efficacy and Safety of Osilodrostat in Patients with Cushing’s Disease in Spain. J. Clin. Med. 2025, 14, 7575. https://doi.org/10.3390/jcm14217575
Araujo-Castro M, García-Centeno R, González L, Hanzu FA, Orois A, Camara R, García MDO, Echarri AI, Gracia Gimeno P, Pascual-Corrales E, et al. Real-World Data on the Efficacy and Safety of Osilodrostat in Patients with Cushing’s Disease in Spain. Journal of Clinical Medicine. 2025; 14(21):7575. https://doi.org/10.3390/jcm14217575
Chicago/Turabian StyleAraujo-Castro, Marta, Rogelio García-Centeno, Laura González, Felicia A. Hanzu, Aida Orois, Rosa Camara, María Dolores Ollero García, Ana Irigaray Echarri, Paola Gracia Gimeno, Eider Pascual-Corrales, and et al. 2025. "Real-World Data on the Efficacy and Safety of Osilodrostat in Patients with Cushing’s Disease in Spain" Journal of Clinical Medicine 14, no. 21: 7575. https://doi.org/10.3390/jcm14217575
APA StyleAraujo-Castro, M., García-Centeno, R., González, L., Hanzu, F. A., Orois, A., Camara, R., García, M. D. O., Echarri, A. I., Gracia Gimeno, P., Pascual-Corrales, E., Biagetti, B., Cardona, A., González Molero, I., Simo-Servat, A., Guerrero Pérez, F., Villar-Toibo, R., Bernabéu, I., Fajardo-Montañana, C., Novo-Rodríguez, C., ... Soto-Moreno, A. (2025). Real-World Data on the Efficacy and Safety of Osilodrostat in Patients with Cushing’s Disease in Spain. Journal of Clinical Medicine, 14(21), 7575. https://doi.org/10.3390/jcm14217575

