Sex-Specific Real-Life Profiling in Vedolizumab, Ustekinumab, and Tofacitinib Effectiveness in Ulcerative Colitis
Abstract
1. Introduction
2. Materials and Methods
2.1. Study Design and Setting
2.2. Inclusion and Exclusion Criteria
2.3. Study Outcomes
2.4. Statistical Analysis
3. Results
3.1. Population Characteristics
3.2. Intra-Treatment Differences: How Sexes Respond Under the Same Treatment Conditions
3.3. Inter-Treatment Differences: How Sexes Respond Across Different Treatments
3.4. Sustained Clinical Response and Remission: What Sex-Based Differences
3.5. Late Remitters and Sex
3.6. Endoscopic Outcomes: Sex-Specific Differences
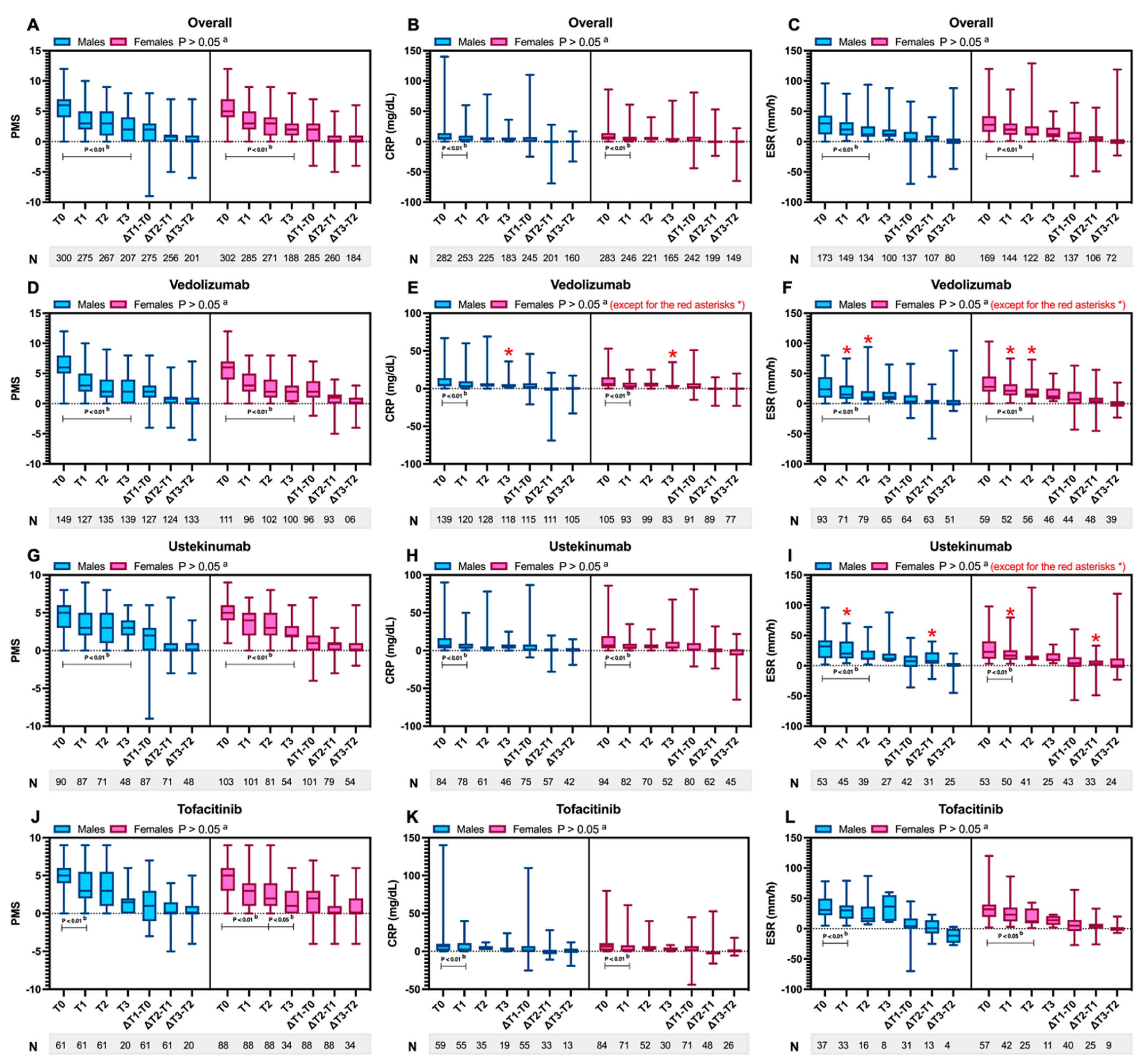
3.7. Sex-Specific Fluctuations of the PMS, CRP, ESR, and Faecal Calprotectin During the Retrospective Follow-Up and Adverse Events Recorded
4. Discussion
5. Conclusions
Supplementary Materials
Author Contributions
Funding
Institutional Review Board Statement
Informed Consent Statement
Data Availability Statement
Conflicts of Interest
Appendix A
References
- Adolph, T.E.; Meyer, M.; Schwärzler, J.; Mayr, L.; Grabherr, F.; Tilg, H. The Metabolic Nature of Inflammatory Bowel Diseases. Nat. Rev. Gastroenterol. Hepatol. 2022, 19, 753–767. [Google Scholar] [CrossRef]
- Lungaro, L.; Costanzini, A.; Manza, F.; Barbalinardo, M.; Gentili, D.; Guarino, M.; Caputo, F.; Zoli, G.; De Giorgio, R.; Caio, G. Impact of Female Gender in Inflammatory Bowel Diseases: A Narrative Review. J. Pers. Med. 2023, 13, 165. [Google Scholar] [CrossRef]
- Wagtmans, M.J.; Verspaget, H.W.; Lamers, C.B.; van Hogezand, R.A. Gender-Related Differences in the Clinical Course of Crohn’s Disease. Am. J. Gastroenterol. 2001, 96, 1541–1546. [Google Scholar] [CrossRef]
- Gargallo-Puyuelo, C.J.; Ricart, E.; Iglesias, E.; de Francisco, R.; Gisbert, J.P.; Taxonera, C.; Mañosa, M.; Aguas Peris, M.; Navarrete-Muñoz, E.M.; Sanahuja, A.; et al. Sex-Related Differences in the Phenotype and Course of Inflammatory Bowel Disease: SEXEII Study of ENEIDA. Clin. Gastroenterol. Hepatol. 2024, 22, 2280–2290. [Google Scholar] [CrossRef]
- Liu, Z.; Bai, X.; Zhang, H.; Wang, Z.; Yang, H.; Qian, J. Sex-Specific Comparison of Clinical Characteristics and Prognosis in Crohn’s Disease: A Retrospective Cohort Study of 611 Patients in China. Front. Physiol. 2022, 13, 972038. [Google Scholar] [CrossRef] [PubMed]
- Bernell, O.; Lapidus, A.; Hellers, G. Risk Factors for Surgery and Postoperative Recurrence in Crohn’s Disease. Ann. Surg. 2000, 231, 38–45. [Google Scholar] [CrossRef] [PubMed]
- Söderlund, S.; Granath, F.; Broström, O.; Karlén, P.; Löfberg, R.; Ekbom, A.; Askling, J. Inflammatory Bowel Disease Confers a Lower Risk of Colorectal Cancer to Females than to Males. Gastroenterology 2010, 138, 1697–1703. [Google Scholar] [CrossRef] [PubMed]
- De Simone, V.; Matteoli, G. Estrogen-Mediated Effects Underlie Gender Bias in Inflammatory Bowel Disease. Cell Mol. Gastroenterol. Hepatol. 2018, 5, 638–639.e1. [Google Scholar] [CrossRef]
- Jacenik, D.; Cygankiewicz, A.I.; Mokrowiecka, A.; Małecka-Panas, E.; Fichna, J.; Krajewska, W.M. Sex- and Age-Related Estrogen Signaling Alteration in Inflammatory Bowel Diseases: Modulatory Role of Estrogen Receptors. Int. J. Mol. Sci. 2019, 20, 3175. [Google Scholar] [CrossRef]
- Bábíčková, J.; Tóthová, Ľ.; Lengyelová, E.; Bartoňová, A.; Hodosy, J.; Gardlík, R.; Celec, P. Sex Differences in Experimentally Induced Colitis in Mice: A Role for Estrogens. Inflammation 2015, 38, 1996–2006. [Google Scholar] [CrossRef]
- Zou, F.; Hu, Y.; Xu, M.; Wang, S.; Wu, Z.; Deng, F. Associations between Sex Hormones, Receptors, Binding Proteins and Inflammatory Bowel Disease: A Mendelian Randomization Study. Front. Endocrinol. 2024, 15, 1272746. [Google Scholar] [CrossRef]
- Mayer, A.T.; Holman, D.R.; Sood, A.; Tandon, U.; Bhate, S.S.; Bodapati, S.; Barlow, G.L.; Chang, J.; Black, S.; Crenshaw, E.C.; et al. A Tissue Atlas of Ulcerative Colitis Revealing Evidence of Sex-Dependent Differences in Disease-Driving Inflammatory Cell Types and Resistance to TNF Inhibitor Therapy. Sci. Adv. 2023, 9, eadd1166. [Google Scholar] [CrossRef]
- Andersen, V.; Pingel, J.; Søfelt, H.L.; Hikmat, Z.; Johansson, M.; Pedersen, V.S.; Bertelsen, B.; Carlsson, A.; Lindh, M.; Svavarsdóttir, E.; et al. Sex and Gender in Inflammatory Bowel Disease Outcomes and Research. Lancet Gastroenterol. Hepatol. 2024, 9, 1041–1051. [Google Scholar] [CrossRef]
- Lewis, J.D.; Chuai, S.; Nessel, L.; Lichtenstein, G.R.; Aberra, F.N.; Ellenberg, J.H. Use of the Noninvasive Components of the Mayo Score to Assess Clinical Response in Ulcerative Colitis. Inflamm. Bowel Dis. 2008, 14, 1660–1666. [Google Scholar] [CrossRef] [PubMed]
- Cuschieri, S. The STROBE Guidelines. Saudi J. Anaesth. 2019, 13, S31–S34. [Google Scholar] [CrossRef] [PubMed]
- Raine, T.; Bonovas, S.; Burisch, J.; Kucharzik, T.; Adamina, M.; Annese, V.; Bachmann, O.; Bettenworth, D.; Chaparro, M.; Czuber-Dochan, W.; et al. ECCO Guidelines on Therapeutics in Ulcerative Colitis: Medical Treatment. J. Crohn’s Colitis 2022, 16, 2–17. [Google Scholar] [CrossRef]
- Kishi, M.; Hirai, F.; Takatsu, N.; Hisabe, T.; Takada, Y.; Beppu, T.; Takeuchi, K.; Naganuma, M.; Ohtsuka, K.; Watanabe, K.; et al. A Review on the Current Status and Definitions of Activity Indices in Inflammatory Bowel Disease: How to Use Indices for Precise Evaluation. J. Gastroenterol. 2022, 57, 246–266. [Google Scholar] [CrossRef]
- Larizgoitia, I.; Bouesseau, M.-C.; Kelley, E. WHO Efforts to Promote Reporting of Adverse Events and Global Learning. J. Public Health Res. 2013, 2, e29. [Google Scholar] [CrossRef]
- Goodman, W.A.; Erkkila, I.P.; Pizarro, T.T. Sex Matters: Impact on Pathogenesis, Presentation and Treatment of Inflammatory Bowel Disease. Nat. Rev. Gastroenterol. Hepatol. 2020, 17, 740–754. [Google Scholar] [CrossRef]
- Gisbert, J.P.; Chaparro, M. Predictors of Primary Response to Biologic Treatment [Anti-TNF, Vedolizumab, and Ustekinumab] in Patients With Inflammatory Bowel Disease: From Basic Science to Clinical Practice. J. Crohn’s Colitis 2020, 14, 694–709. [Google Scholar] [CrossRef] [PubMed]
- Greuter, T.; Manser, C.; Pittet, V.; Vavricka, S.R.; Biedermann, L. Gender Differences in Inflammatory Bowel Disease. Digestion 2020, 101 (Suppl. 1), 98–104. [Google Scholar] [CrossRef] [PubMed]
- Thunberg, J.; Björkqvist, O.; Hedin, C.R.H.; Forss, A.; Söderman, C.; Bergemalm, D.; SWIBREG Study Group; Olén, O.; Hjortswang, H.; Strid, H.; et al. Ustekinumab Treatment in Ulcerative Colitis: Real-World Data from the Swedish Inflammatory Bowel Disease Quality Register. United Eur. Gastroenterol. J. 2022, 10, 631–639. [Google Scholar] [CrossRef] [PubMed]
- Iniesta Navalón, C.; Ríos-Saorín, M.; Rentero-Redondo, L.; Nicolás-de Prado, I.; Gómez-Espín, R.; Urbieta Sanz, E. Impact of Ustekinumab Exposure on Clinical Outcomes during Induction in Inflammatory Bowel Disease. Rev. Esp. Enferm. Dig. 2024, 117, 205–212. [Google Scholar] [CrossRef]
- Chaparro, M.; Hermida, S.; Acosta, D.; Fernández-Clotet, A.; Barreiro-de Acosta, M.; Hernández Martínez, Á.; Arroyo, M.; Bosca-Watts, M.M.; Diz-Lois Palomares, M.T.; Menchén, L.; et al. Long-Term Benefit of Ustekinumab in Ulcerative Colitis in Clinical Practice: ULISES Study. Aliment. Pharmacol. Ther. 2024, 60, 1325–1338. [Google Scholar] [CrossRef]
- Tursi, A.; Mocci, G.; Scaldaferri, F.; Napolitano, D.; Maresca, R.; Pugliese, D.; Semprucci, G.; Savarino, E.; Cuomo, A.; Donnarumma, L.; et al. Ustekinumab Safety and Effectiveness in Patients with Ulcerative Colitis: Results from a Large Real-Life Study. Expert. Opin. Biol. Ther. 2024, 24, 101–109. [Google Scholar] [CrossRef] [PubMed]
- Chhibba, T.; Wong, E.C.L.; Reinisch, W.; Targownik, L.; Narula, N. Comparing the Efficacy of Vedolizumab between Males and Females: A Post-Hoc Analysis of GEMINI-1 and VARSITY. Eur. J. Gastroenterol. Hepatol. 2024, 36, 704–711. [Google Scholar] [CrossRef]
- Sands, B.E.; Peyrin-Biroulet, L.; Loftus, E.V.; Danese, S.; Colombel, J.-F.; Törüner, M.; Jonaitis, L.; Abhyankar, B.; Chen, J.; Rogers, R.; et al. Vedolizumab versus Adalimumab for Moderate-to-Severe Ulcerative Colitis. N. Engl. J. Med. 2019, 381, 1215–1226. [Google Scholar] [CrossRef]
- Eriksson, C.; Marsal, J.; Bergemalm, D.; Vigren, L.; Björk, J.; Eberhardson, M.; Karling, P.; Söderman, C.; SWIBREG Vedolizumab Study Group; Myrelid, P.; et al. Long-Term Effectiveness of Vedolizumab in Inflammatory Bowel Disease: A National Study Based on the Swedish National Quality Registry for Inflammatory Bowel Disease (SWIBREG). Scand. J. Gastroenterol. 2017, 52, 722–729. [Google Scholar] [CrossRef]
- Vong, C.; Martin, S.W.; Deng, C.; Xie, R.; Ito, K.; Su, C.; Sandborn, W.J.; Mukherjee, A. Population Pharmacokinetics of Tofacitinib in Patients With Moderate to Severe Ulcerative Colitis. Clin. Pharmacol. Drug Dev. 2021, 10, 229–240. [Google Scholar] [CrossRef]
- Sands, B.E.; Sandborn, W.J.; Panaccione, R.; O’Brien, C.D.; Zhang, H.; Johanns, J.; Adedokun, O.J.; Li, K.; Peyrin-Biroulet, L.; Van Assche, G.; et al. Ustekinumab as Induction and Maintenance Therapy for Ulcerative Colitis. N. Engl. J. Med. 2019, 381, 1201–1214. [Google Scholar] [CrossRef]
- Wong, E.C.L.; Dulai, P.S.; Marshall, J.K.; Jairath, V.; Reinisch, W.; Narula, N. Delayed Ustekinumab Responders in Ulcerative Colitis Have Greater Inflammatory Burden but Similar Outcomes as Early Responders. Clin. Gastroenterol. Hepatol. 2023, 21, 3387–3396.e1. [Google Scholar] [CrossRef]
- Sandborn, W.J.; Peyrin-Biroulet, L.; Quirk, D.; Wang, W.; Nduaka, C.I.; Mukherjee, A.; Su, C.; Sands, B.E. Efficacy and Safety of Extended Induction With Tofacitinib for the Treatment of Ulcerative Colitis. Clin. Gastroenterol. Hepatol. 2022, 20, 1821–1830.e3. [Google Scholar] [CrossRef] [PubMed]
- Sandborn, W.J.; Su, C.; Sands, B.E.; D’Haens, G.R.; Vermeire, S.; Schreiber, S.; Danese, S.; Feagan, B.G.; Reinisch, W.; Niezychowski, W.; et al. Tofacitinib as Induction and Maintenance Therapy for Ulcerative Colitis. N. Engl. J. Med. 2017, 376, 1723–1736. [Google Scholar] [CrossRef] [PubMed]
- Narula, N.; Wong, E.C.L.; Dulai, P.S.; Marshall, J.K.; Jairath, V.; Reinisch, W. Delayed Ustekinumab and Adalimumab Responders Have Similar Outcomes as Early Responders in Biologic-Naïve Crohn’s Disease. Am. J. Gastroenterol. 2024, 119, 1355–1364. [Google Scholar] [CrossRef] [PubMed]





| Parameter | VDZ (N = 260) | p-Value 1 | UST (N = 193) | p-Value 1 | TOFA (N = 149) | p-Value 1 | |||
|---|---|---|---|---|---|---|---|---|---|
| M (N = 149) | F (N = 111) | M (N = 90) | F (N = 103) | M (N = 61) | F (N = 88) | ||||
| Age | 55 (44.5–65.5) | 51 (42–60) | 0.01 | 47 (31–63) | 54 (40–65) | 0.045 | 42 (30–49.5) | 48.5 (35–58) | 0.006 |
| Smoking status | |||||||||
| Active | 24 (16.1%) | 9 (8.1%) | 0.044 | 7 (7.8%) | 8 (7.8%) | 0.119 | 10 (13.1%) | 11 (12.5%) | 0.110 |
| Not smoker | 105 (70.5%) | 91 (82%) | 11 (12.2%) | 22 (21.4%) | 8 (13.1%) | 24 (27.3%) | |||
| Former smoker | 20 (13.4%) | 11 (9.9%) | 72 (80%) | 73 (70.9%) | 43 (70.5%) | 53 (60.2%) | |||
| Appendectomy (yes) | 15 (10.1%) | 7 (6.3%) | 0.369 4 | 7 (7.8%) | 6 (5.8%) | 0.775 4 | 1 (1.6%) | 3 (3.4%) | 0.645 4 |
| UC duration (years) | 10 (4.5–16.5) | 11 (7–18) | 0.404 4 | 9 (5.75–15.5) | 9 (5–16) | 0.806 | 9 (5–15.5) | 8 (4–15) | 0.496 4 |
| Montreal classification | |||||||||
| E1 (proctitis) | 2 (1.3%) | 3 (2.7%) | 0.411 | 2 (2.2%) | 0 (0%) | 0.148 | 2 (3.3%) | 4 (4.5%) | 0.973 |
| E2 (left colitis) | 63 (42.3%) | 39 (35.1%) | 38 (42.2%) | 36 (35%) | 21 (34.4%) | 29 (33%) | |||
| E3 (pancolitis) | 84 (56.4%) | 69 (62.2%) | 50 (55.6%) | 67 (65%) | 38 (62.3%) | 55 (62.5%) | |||
| Previous treatments 2 | |||||||||
| Infliximab | 107 (71.8%) | 81 (73%) | 0.836 4 | 69 (76.7%) | 81 (78.6%) | 0.742 4 | 56 (91.8%) | 68 (77.3%) | 0.025 4 |
| Adalimumab | 53 (35.6%) | 36 (32.4%) | 0.598 4 | 42 (46.7%) | 37 (35.9%) | 0.130 4 | 26 (42.6%) | 41 (46.6%) | 0.738 4 |
| Golimumab | 46 (30.9%) | 32 (28.8%) | 0.722 4 | 6 (6.7%) | 13 (12.6%) | 0.166 4 | 14 (23%) | 16 (18.2%) | 0.536 4 |
| Vedolizumab | 0 (0%) | 0 (0%) | N.A. 5 | 50 (55.6%) | 55 (53.4%) | 0.764 4 | 37 (60.7%) | 42 (47.7%) | 0.321 4 |
| Ustekinumab | 3 (2%) | 0 (0%) | 0.263 4 | 0 (0%) | 0 (0%) | N.A. 5 | 7 (11.5%) | 9 (10.2%) | 0.795 4 |
| 5-ASA (yes) | 140 (94%) | 107 (96.4%) | 0.567 4 | 90 (100%) | 102 (99%) | 0.999 4 | 58 (95.1%) | 85 (96.6%) | 0.689 4 |
| Steroids (yes) | 130 (87.2%) | 103 (92.8%) | 0.158 4 | 84 (93.3%) | 98 (95.1%) | 0.758 4 | 44 (72.1%) | 59 (67%) | 0.590 4 |
| Thiopurines 3 (yes) | 71 (47.6%) | 45 (40.5%) | 0.260 4 | 40 (44.4%) | 27 (26.2%) | 0.008 4 | 18 (29.5%) | 24 (27.3%) | 0.854 4 |
| Methotrexate 3 (yes) | 15 (10.06%) | 12 (10.8%) | 0.840 4 | 4 (4.4%) | 3 (2.9%) | 0.570 4 | 7 (11.5%) | 4 (4.5%) | 0.125 4 |
| Latent TBC (yes) | 8 (5.4%) | 3 (2.7%) | 0.362 4 | 0 (0%) | 6 (5.8%) | 0.031 4 | 1 (1.6%) | 1 (1.1%) | 0.999 4 |
| HBV infection (yes) | 0 (0%) | 0 (0%) | N.A. 5 | 0 (0%) | 4 (3.9%) | 0.125 4 | 1 (1.6%) | 0 (0%) | 0.409 4 |
| Parameter 1 | Males (N) 2 | Females (N) 2 | p-Value 3 |
|---|---|---|---|
| Clinical remission 8 weeks | 20.7% (275) | 22.8% (285) | 0.551 |
| Steroid-free 4 | 17.8% | 17.1% | 0.924 |
| Clinical response 8 weeks | 56.4% (275) | 55.4% (285) | 0.826 |
| Clinical remission 24 weeks | 31.8% (267) | 28% (271) | 0.337 |
| Steroid-free 4 | 29.5% | 23.9% | 0.132 |
| Clinical response 24 weeks | 66.7% (267) | 64.6% (271) | 0.610 |
| Clinical remission 48 weeks | 42% (207) | 38.3% (188) | 0.450 |
| Steroid-free 4 | 41% | 35.1% | 0.301 |
| Clinical response 48 weeks | 74.9% (207) | 75.5% (188) | 0.881 |
| Sustained clinical remission | 12.4% (274) | 11% (273) | 0.605 |
| Sustained clinical response | 40% (240) | 37.3% (236) | 0.544 |
| Endoscopic remission 48 weeks | 64.2% (81) | 65.7% (70) | 0.846 |
| Endoscopic response 48 weeks | 78.8% (80) | 75.8% (66) | 0.667 |
| Parameter | Males [N] 1 | Females [N] 1 | p-Value 2 |
|---|---|---|---|
| Overall sample | |||
| PMS | 6 (4–7) [300] | 5 (4–7) [302] | 0.167 |
| Faecal calprotectin (μg/g) | 671 (360–1200) [233] | 672.5 (364.5–1200) [218] | 0.882 |
| CRP (mg/dL) | 6 (3–14.07) [282] | 6.8 (3–14.3) [283] | 0.729 |
| Mayo endoscopic score | 3 (2–3) [293] | 3 (2–3) [290] | 0.573 |
| ESR (mm/h) | 30 (12–43) [173] | 28 (16–42) [169] | 0.738 |
| Vedolizumab | |||
| PMS | 6 (5–8) [149] | 6 (4–7) [111] | 0.240 |
| Faecal calprotectin (μg/g) | 520 (332–982) [97] | 617 (350.5–991.25) [60] | 0.484 |
| CRP (mg/dL) | 5 (3–13.9) [139] | 6 (3–15) [105] | 0.725 |
| Mayo endoscopic score | 3 (2–3) [144] | 2 (2–3) [103] | 0.630 |
| ESR (mm/h) | 24 (10–44) [83] | 28 (20–45) [59] | 0.099 |
| Ustekinumab | |||
| PMS | 5 (3–6) [90] | 5 (4–6) [103] | 0.542 |
| Faecal calprotectin (μg/g) | 800 (391.5–1410) [73] | 612.5 (346–1535.5) [78] | 0.784 |
| CRP (mg/dL) | 6.5 (3–16.5) [84] | 6.8 (3–19.25) [94] | 0.342 |
| Mayo endoscopic score | 2 (2–3) [89] | 3 (2–3) [101] | 0.093 |
| ESR (mm/h) | 32 (12.5–42) [53] | 23 (11.5–40.5) [53] | 0.450 |
| Tofacitinib | |||
| PMS | 5 (4–6) [61] | 5 (3–6) [88] | 0.589 |
| Faecal calprotectin (μg/g) | 900 (443–1685) [53] | 773.5 (372–1297.5) [80] | 0.314 |
| CRP (mg/dL) | 7 (1–10) [59] | 6.5 (0.99–10.97) [84] | 0.556 |
| Mayo endoscopic score | 3 (2–3) [60] | 3 (2–3) [86] | 0.529 |
| ESR (mm/h) | 31 (22–49.5) [37] | 32 (19–40) [57] | 0.407 |
Disclaimer/Publisher’s Note: The statements, opinions and data contained in all publications are solely those of the individual author(s) and contributor(s) and not of MDPI and/or the editor(s). MDPI and/or the editor(s) disclaim responsibility for any injury to people or property resulting from any ideas, methods, instructions or products referred to in the content. |
© 2025 by the authors. Licensee MDPI, Basel, Switzerland. This article is an open access article distributed under the terms and conditions of the Creative Commons Attribution (CC BY) license (https://creativecommons.org/licenses/by/4.0/).
Share and Cite
Tursi, A.; Pellegrino, R.; Mocci, G.; Savarino, E.V.; Maconi, G.; Elisei, W.; Gravina, A.G.; Italian Network for Inflammatory Bowel Diseases (IN-IBD). Sex-Specific Real-Life Profiling in Vedolizumab, Ustekinumab, and Tofacitinib Effectiveness in Ulcerative Colitis. J. Clin. Med. 2025, 14, 7476. https://doi.org/10.3390/jcm14217476
Tursi A, Pellegrino R, Mocci G, Savarino EV, Maconi G, Elisei W, Gravina AG, Italian Network for Inflammatory Bowel Diseases (IN-IBD). Sex-Specific Real-Life Profiling in Vedolizumab, Ustekinumab, and Tofacitinib Effectiveness in Ulcerative Colitis. Journal of Clinical Medicine. 2025; 14(21):7476. https://doi.org/10.3390/jcm14217476
Chicago/Turabian StyleTursi, Antonio, Raffaele Pellegrino, Giammarco Mocci, Edoardo Vincenzo Savarino, Giovanni Maconi, Walter Elisei, Antonietta Gerarda Gravina, and Italian Network for Inflammatory Bowel Diseases (IN-IBD). 2025. "Sex-Specific Real-Life Profiling in Vedolizumab, Ustekinumab, and Tofacitinib Effectiveness in Ulcerative Colitis" Journal of Clinical Medicine 14, no. 21: 7476. https://doi.org/10.3390/jcm14217476
APA StyleTursi, A., Pellegrino, R., Mocci, G., Savarino, E. V., Maconi, G., Elisei, W., Gravina, A. G., & Italian Network for Inflammatory Bowel Diseases (IN-IBD). (2025). Sex-Specific Real-Life Profiling in Vedolizumab, Ustekinumab, and Tofacitinib Effectiveness in Ulcerative Colitis. Journal of Clinical Medicine, 14(21), 7476. https://doi.org/10.3390/jcm14217476

