Ultrasound Evaluation of Gastric Emptying and Comparison with Patient-Reported Risk Factors in Elective Surgical Patients
Abstract
1. Introduction
2. Materials and Methods
2.1. Literature Review, Questionnaire Development, and Testing
2.2. Ultrasonography Training
2.3. Ultrasound Measurements
2.4. Questionnaire Administration and Blinding
2.5. Determining the Risk for Aspiration of Gastric Content
2.6. Statistical Analysis
3. Results
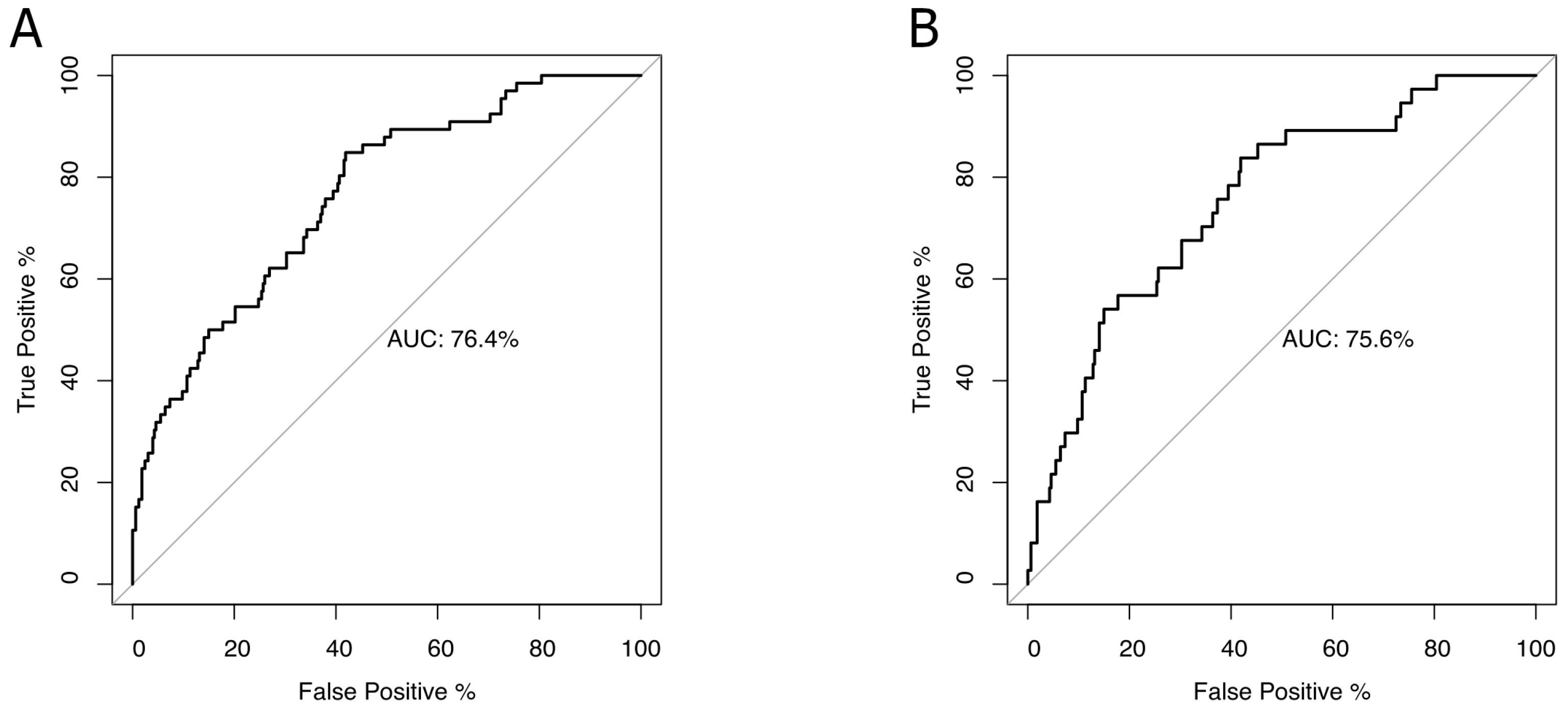
3.1. Agreement Between Questionnaire Predictions and USG Findings
3.2. Time Efficiency
4. Discussion
5. Conclusions
Author Contributions
Funding
Institutional Review Board Statement
Informed Consent Statement
Data Availability Statement
Acknowledgments
Conflicts of Interest
Abbreviations
| USG | Ultrasound |
| ROC | Receiver operating curve |
| AUC | Area under the curve |
| STROBE | Strengthening the reporting of observational studies in epidemiology |
| RLD | Right lateral decubitus |
Appendix A
Appendix A.1
| Item | Prompt (Staff Use) | Staff Instructions | Responses/Notes |
|---|---|---|---|
| 1. Cancer surgery? | “Is the scheduled procedure for cancer treatment?” | Check surgical notes or confirm with patient’s chart. | Yes/No |
| 2. Previous surgeries | “Please list any previous surgeries or major procedures you have undergone.” | Reference the patient’s medical record; ask follow-up if unclear or incomplete. | Free text/Short answers |
| 3. Ward or home? | “Where has the patient been monitored prior to surgery? Are they staying in the ward or at home?” | Determine current location. | Ward/Home/Other |
| 4. Fasting period (hours) | “For how many hours has the patient been fasting before surgery (solids)?” | Inquire about the last solid meal time, cross-check with the patient or chart if needed. | Integer (hours) |
| 5. ASA physical score | “What is the patient’s ASA classification (1–5, E)?” | Assigned by anesthesiologist or from the record. | ASA 1–5, E if applicable |
| 6. Age | “What is the patient’s age in years?” | Record from the patient’s chart or ID, confirm if needed. | Integer (years) |
| 7. Height | “Patient’s height (in cm or m).” | Measure or reference the official record. | Numeric (cm/m) |
| 8. Weight | “Patient’s weight (in kg).” | Weigh the patient or confirm from chart if recent measurement is available. | Numeric (kg) |
| 9. Gender | “Patient’s gender.” | Confirm with medical record or by direct query if necessary. | Male/Female/Other |
| 10. Body type | “Based on appearance and records, is the patient cachectic, normal, or obese?” | Assess visually, check BMI if needed. | Cachectic/Normal/Obese |
| 11. Smoking history | a. Duration, b. Amount, c. Has the patient stopped smoking?, d. Smoked during fasting? | (a) Ask how many years the patient has smoked(b) Packs/day or similar(c) Confirm if/when they quit(d) If they smoked after starting to fast, note the approximate time. | a) Free text (years)b) Free text (packs/day)c) Yes/Nod) Yes/No |
| 12. Diabetes (DM) history | a. Type of diabetes (Type 1, Type 2, etc.), b. Duration (years), c. Treatment (diet, OAD, insulin), d. Latest HbA1c (%), e. Preoperative blood glucose, f. Maximum BG at home, g. Minimum BG at home | Review medical record or ask the patient if they are aware; confirm with lab results if available. | Record each item as numeric or short text. |
| 13. Retinopathy | “Does the patient have diabetic retinopathy or similar microvascular eye disease?” | Check the ophthalmology record or previous diagnoses. | Yes/No/Not applicable |
| 14. Dysphagia | “Has the patient reported difficulty swallowing?” | Directly ask the patient or check GI consult notes. | Yes/No |
| 15. Reduced appetite (Dysappetite) | “Does the patient have a poor appetite or reduced interest in eating?” | Confirm by patient interview or nutritional consult. | Yes/No |
| 16. Early satiety | “Does the patient feel full after only a small amount of food?” | Ask patient or check GI consult. | Yes/No |
| 17. Upper abdominal distention | “Does the patient experience bloating or distention in the upper abdomen after small meals?” | Ask the patient or see if GI notes mention this. | Yes/No |
| 18. Persistent nausea/vomiting | “Does the patient frequently experience ongoing nausea or vomiting episodes?” | Clarify how often and if it’s new or chronic. | Yes/No |
| 19. Postural hypotension | “Does the patient report dizziness or lightheadedness upon standing up from sitting or lying down?” | Interview the patient; confirm if there’s an official diagnosis or mention in records. | Yes/No |
| 20. Numbness in hands/feet | “Does the patient have numbness, tingling, or decreased sensation in the extremities?” | Inquire or check neurology consult if relevant. | Yes/No |
| 21. Charcot arthropathy | “Has the patient been diagnosed with Charcot arthropathy (neuropathic joint disease)?” | Check orthopedic or diabetes records. | Yes/No/Unsure |
| 22. Excessive sweating | “Does the patient experience excessive or profuse sweating without obvious triggers?” | Ask if the patient finds themselves sweating abnormally (e.g., at rest). | Yes/No |
| 23. Reduced sweating (anhidrosis) | “Does the patient rarely or never sweat, even in hot conditions?” | Ask patient or note any dermatology consult. | Yes/No |
| 24. Drug history | Has the patient used any of the following:–Steroids–Antiemetics–Antihypertensives–Antacids–Antidepressants–Antipsychotics–Other? | Cross-check with pharmacy record or medication list. | Check all that apply/add free text as needed |
| 25. Comorbidities | Check or list all that apply:Hemorrhagic/Ischemic stroke, Hemiplegia, Hypo-/Hyperthyroidism, COPD, Asthma, Seasonal allergic rhinitis, Hypertension, CAD, PADIBS, Crohn, UC, Constipation, Diarrhea, Cholelithiasis, Chronic pancreatitis, CKD, Proteinuria, Renal replacement therapy | Confirm from the patient’s medical records. For uncertain items (e.g., constipation/diarrhea), confirm with patient interview. | Select all that apply/short text for additional notes |
| 26. Self-care | (a) Dementia?(b) Can the patient handle self-care independently?(c) Can the patient feed themselves?(d) Anxiety? | Evaluate cognition or rely on caretaker or patient statement. | (a) Yes/No(b) Yes/No(c) Yes/No(d) Yes/No |
| 27. Poor nutritional condition | “Does the patient appear cachectic, have thin subcutaneous tissue, or a scaphoid abdomen?” | Check nutritional assessment, if available. | Yes/No |
| 28. Premedications | “Were any of these administered before surgery?–Antibiotics–Antacids–Prokinetics–Anxiolytics” | Ask or check the pre-op medication chart. | Check all that apply |
Appendix A.2
| Item | Total (n = 404) | Empty (n = 338) | Non-Empty (n = 66) |
|---|---|---|---|
| Surgery Type | |||
| Urologic Surgery | 105 (26%) | 87 | 18 |
| Ureteroscopy (URS) | 39 | 31 | 8 |
| Transurethral Resection of Bladder Tumor | 15 | 14 | 1 |
| Transurethral Resection of Prostate | 13 | 8 | 5 |
| Cystoscopy | 9 | 9 | - |
| Urethral Stricture Repair | 5 | 5 | - |
| Percutaneous Nephrolithotomy | 5 | 3 | 2 |
| Radical Prostatectomy | 5 | 5 | - |
| Double-J Stent Removal | 3 | 2 | 1 |
| Nephrectomy | 3 | 2 | - |
| Double-J Stent Insertion | 2 | 3 | - |
| Cystectomy | 2 | 2 | - |
| Bladder Botox Injection | 1 | 1 | - |
| Orchiectomy | 1 | 1 | - |
| Retrograde Intrarenal Surgery | 1 | - | 1 |
| Ureteral Tumor Resection | 1 | 1 | - |
| Vertebral Surgery | 95 (23.5%) | 82 | 12 |
| Lumbar Disc Surgery | 70 | 62 | 8 |
| Spinal Stabilization | 12 | 8 | 4 |
| Cervical Disc Herniation Surgery | 9 | 9 | - |
| Lumbar Stenosis Surgery | 2 | 1 | - |
| Lumbar Abscess Drainage | 1 | 1 | - |
| Spondylodiscitis Surgery | 1 | 1 | - |
| Abdominal Surgery | 60 (14.9%) | 46 | 14 |
| Cholecystectomy | 29 | 25 | 4 |
| Inguinal Hernia Repair | 20 | 15 | 5 |
| Endoscopic Retrograde Cholangiopancreatography | 5 | 3 | 2 |
| Sleeve Gastrectomy | 2 | 0 | 2 |
| Epigastric Hernia Repair | 1 | 1 | - |
| Colon Cancer Surgery | 1 | 1 | - |
| Colorectal Fistula Repair | 1 | 1 | - |
| Total Abdominal Hysterectomy | 1 | 1 | - |
| General Surgery | 59 (14.6%) | 49 | 10 |
| Thyroidectomy | 33 | 29 | 4 |
| Breast Lump Excision | 6 | 4 | 2 |
| Parathyroidectomy | 6 | 5 | 1 |
| Axillary Lymph Node Dissection | 5 | 2 | 1 |
| Umbilical Hernia Repair | 4 | 4 | 1 |
| Hydrocele Repair | 2 | 2 | - |
| Inguinal Lymph Node Dissection | 2 | 1 | - |
| Lipoma Excision | 1 | - | 2 |
| Cancer Surgery | 25 (6.2%) | 15 | 3 |
| Mastectomy | 11 | 2 | 2 |
| Laryngectomy | 4 | 2 | 1 |
| Dissection of Lymph Nodes | 3 | 3 | - |
| Rectal Cancer Surgery | 2 | 2 | - |
| Cranial Tumor Surgery | 1 | 1 | - |
| Nasal Tumor Surgery | 1 | 1 | - |
| Paraganglioma Surgery | 1 | 1 | - |
| Mandibular Tumor Surgery | 1 | 1 | - |
| Metastasectomy | 1 | 1 | - |
| Lower Extremity | 18 (4.45%) | 1 | - |
| Metatarsal Fracture Surgery | 4 | ||
| Femur Fracture Repair | 3 | 10 | 1 |
| Tibia Fracture Repair | 3 | 2 | - |
| Material Removal Surgery | 2 | 1 | - |
| Fibula Fracture Repair | 1 | 3 | 1 |
| Wrist Fracture Surgery | 1 | 2 | 1 |
| Wrist Graft Placement | 1 | 1 | - |
| Knee Prosthesis Surgery | 1 | - | 1 |
| Hip Prosthesis Surgery | 1 | 1 | - |
| Knee Arthroscopy | 1 | 1 | - |
| Coronary Artery Bypass Surgery | 15 (3.7%) | 14 | 1 |
| Thoracic Surgery | 10 (2.45%) | ||
| Video-Assisted Thoracoscopic Surgery | 7 | 61 | 1 |
| Pneumonectomy | 1 | 1 | - |
| Lobectomy | 1 | 1 | - |
| Mediastinoscopy | 1 | - | 1 |
| Anal Surgery | 8 (2%) | 8 | - |
| Anal Fissure Surgery | 2 | 2 | - |
| Pilonidal Sinus Surgery | 2 | 2 | - |
| Anal Fistula Surgery | 1 | 1 | - |
| Anal Sphincter Relaxation Surgery | 1 | 1 | - |
| Hemorrhoid Surgery | 1 | 1 | - |
| Rectovaginal Fistula Repair | 1 | 1 | - |
| Upper Extremity | 7 (1.7%) | 5 | 2 |
| Radius Fracture Repair | 3 | 2 | 1 |
| Humerus Fracture Repair | 2 | 2 | - |
| Ulnar Fracture Repair | 1 | - | 1 |
| Wrist Laceration Repair | 1 | 1 | - |
| Otorhinolaryngology Surgery | 2 (0.5%) | ||
| Functional Endoscopic Sinus Surgery | 1 | 1 | - |
| Voice Prosthesis Replacement | 1 | 1 | - |
| History of cancer | 47 (12.4%) | 42 (12.8%) | 5 (7.6%) |
| Time to surgery, days | 7 (5–14) | 7 (5–14) | 10 (7–15) |
| Previous GIS surgery | 64 (15.8%) | 49 (14.5%) | 15 (22.7%) |
| Ward or home | |||
| Home | 359 (88.9%) | 301 (89.1%) | 58 (87.9%) |
| Ward | 45 (11.1%) | 37 (10.9%) | 8 (12.1%) |
| Fasting period, hours | 12.7 ± 3.9 | 12.8 ± 4.1 | 11.9 ± 2.5 |
| ASA physical score | |||
| 1 | 35 (8.7%) | 32 (9.5%) | 3 (4.5%) |
| 2 | 238 (58.9%) | 200 (59.2%) | 38 (57.6%) |
| 3 | 114 (28.2%) | 90 (26.6%) | 24 (7.1%) |
| 4 | 17 (4.2%) | 16 (4.7%) | 1 (1.5%) |
| Age | 53.1 ± 15.7 | 53.1 ± 15.8 | 53.3 ± 14.9 |
| Height | 167.6 ± 12.8 | 167.8 ± 15.8 | 166.6 ± 15.6 |
| Weight | 82.8 ± 15.8 | 82.1 ± 15.8 | 86.2 ± 15.6 |
| Gender | |||
| Male | 258 (63.9%) | 212 (62.7%) | 46 (69.7%) |
| Female | 146 (36.1%) | 126 (37.3%) | 20 (30.3%) |
| Body type | |||
| Normal | 230 (56.9%) | 196 (58%) | 34 (51.5%) |
| Obese | 122 (30.2%) | 94 (27.8%) | 28 (42.4%) |
| Cachectic | 52 (12.9%) | 48 (14.2%) | 4 (6.1%) |
| Active smoker | 101 (25%) | 86 (25.4%) | 15 (22.7%) |
| Duration | 20 (10–30) | 20 (10–30) | 20 (10–30) |
| Amount, packs/day | 0 (0–0) | 0 (0–0) | 0 (0–1) |
| Previous smoker | 64 (15.8) | 51 (15.1) | 13 (19.7%) |
| Quitted smoking when | 10 (1.75–20) | 10 (1.5–20) | 9 (4–15) |
| Smoked during fasting period | 66 (16.3) | 51 (15.1%) | 15 (22.7%) |
| Diagnosis of Dabetes mellitus | 63 (15.3%) | 49 (14.5%) | 14 (21.2%) |
| Type of Diabetes | |||
| Non-insulin-dependent diabetes | 63 (15.3%) | 49 (14.5%) | 14 (21.2%) |
| Duration of diabetes | 7.5 (2–10) | 6 (2–10) | 9 (3.25–13.75) |
| Latest HbA1c, % | 7.5 (6.5–9.6) | 7 (6.5–9.3) | 8.2 (7.48–9.8) |
| Diabetes treatment type | |||
| Diet only | 1 (0.2%) | 1 (0.3%) | – |
| Oral antidiabetic only | 44 (10.9%) | 34 (10.1%) | 10 (15.2%) |
| Oral antidiabetic ± insulin | 14 (3.5%) | 12 (3.6%) | 2 (3%) |
| Insulin only | 4 (1%) | 3 (0.9%) | 1 (1.5%) |
| Daily insulin dose | 32 (28–42) | 32 (30–43) | 24 (22–25) |
| Preoperative blood glucose, mg/dL | 140 (120–160) | 140 (120–220) | 150 (124–178) |
| Maximum blood glucose at home, mg/dL | 200 (170–260) | 200 (155–265) | 225 (180–258) |
| Minimum blood glucose at home, mg/dL | 100 (90–120) | 100 (90–120) | 120 (100–150) |
| Retinopathy | 11 (2.7%) | 10 (3%) | 1 (1.5%) |
| Dysphagia | 1 (0.2%) | - | 1 (1.5%) |
| Reduced appetite | 10 (2.5%) | 7 (2.1%) | 3 (4.5%) |
| Early satiety | 12 (3%) | 4 (1.2%) | 8 (12.1%) |
| Upper abdominal distention | 30 (7.4%) | 22 (6.5%) | 8 (12%) |
| Persistent nausea/vomiting | 10 (2.5%) | 8 (2.4%) | 2 (3%) |
| Postural hypotension | 10 (2.5%) | 9 (2.7%) | 1 (1.5%) |
| Numbness in hands/feet | 21 (5.2%) | 16 (4.7%) | 5 (7.6%) |
| Charcot arthropathy | 1 (0.2%) | 1 (0.3%) | - |
| Excessive sweating | - | - | - |
| Reduced sweating | - | - | - |
| Medications | |||
| Corticosteroids | 4 (1%) | 4 (1.2%) | - |
| Antiemetics | - | - | - |
| Antihypertensives | 149 (36.9%) | 123 (36.4%) | 26 (39.4%) |
| Antacids | 40 (9.9%) | 37 (10.9%) | 3 (4.5%) |
| Antidepressants | 16 (4%) | 14 (4.1%) | 2 (3%) |
| Antipsychotics | 3 (0.7%) | 3 (0.9%) | - |
| Other medications | |||
| Acetylsalicylic acid | 47 (11.6%) | 37 (10.9%) | 10 (15.2%) |
| Levothyroxine | 30 (7.4%) | 25 (7.4%) | 5 (7.6%) |
| Statins | 9 (2.2%) | 8 (2.4%) | 1 (1.5%) |
| Clopidogrel | 10 (2.5%) | 6 (1.8%) | 4 (6%) |
| Warfarin | 5 (1.25%) | 4 (1.2%) | 1 (1.5%) |
| Ipratropium bromide | 10 (2.5%) | 9 (2.7%) | 1 (1.5%) |
| Betahistine | 4 (1%) | 3 (0.9%) | 1 (1.5%) |
| Hemorrhagic stroke | - | - | - |
| Ischemic stroke | 2 (0.5%) | 2 (0.6%) | - |
| Hemiplegia | - | - | - |
| Hypothyroidism | 30 (7.4%) | 25 (7.4%) | 5 (7.6%) |
| Hyperthyroidism | 8 (2%) | 6 (1.8%) | 2 (3%) |
| Chronic Obstructive Pulmonary Disease | 10 (2.5%) | 9 (2.7%) | 1 (1.5%) |
| Asthma | 12 (3%) | 11 (3.3%) | 1 (1.5%) |
| Seasonal allergic rhinitis | - | - | - |
| Hypertension | 139 (34.4%) | 114 (33.7%) | 25 (37.9%) |
| Coronary artery disease | 44 (10.9%) | 34 (10.1%) | 10 (15.2%) |
| Peripheral artery disease | - | - | - |
| Inflammatory bowel disease | 1 (0.2%) | 1 (0.3%) | - |
| Crohn’s disease | - | - | - |
| Ulcerative colitis | - | - | - |
| Constipation | 55 (13.6%) | 42 (12.4%) | 13 (19.7%) |
| Diarrhea | 5 (1.2%) | 5 (1.5%) | - |
| Cholelithiasis | 17 (4.2%) | 12 (3.6%) | 5 (7.6%) |
| Chronic Kidney Disease | 15 (3.7%) | 14 (4.1%) | 1 (1.5%) |
| Renal replacement therapy | - | - | - |
| Dementia | 1 (0.2%) | - | 1 (1.5%) |
| Can handle self-care independently | 3 (0.7%) | 2 (0.6%) | 1 (1.5%) |
| Can feed themselves | 1 (0.2%) | 1 (0.3%) | - |
| Anxiety | 3 (0.7%) | 3 (0.9%) | - |
| Poor nutritional condition | 7 (1.7%) | 5 (1.5%) | 2 (3%) |
| Premedications administered before surgery | |||
| Antibiotics | |||
| Cefazolin | 4 | 4 | - |
| Ceftriaxon | 2 | 1 | 1 |
| Metronidazole | 1 | 1 | 1 |
| Moxifloxacin | 1 | - | 1 |
| Ciprofloxacin | 1 | - | 1 |
| Meropenem | 1 | - | 1 |
| Antacids | |||
| Pantoprazol | 11 | 9 | 2 |
| Ranitidin | 2 | 1 | 1 |
| Prokinetics | - | - | - |
| Anxiolytics | - | - | - |
| Tramadol | 3 | 2 | 1 |
| Enoxaparine | 4 | 3 | 1 |
References
- Warner, M.A.; Meyerhoff, K.L.; Warner, M.E.; Posner, K.L.; Stephens, L.; Domino, K.B. Pulmonary Aspiration of Gastric Contents: A Closed Claims Analysis. Anesthesiology 2021, 135, 284–291. [Google Scholar] [CrossRef] [PubMed]
- Sun, J.; Wei, G.; Hu, L.; Liu, C.; Ding, Z. Perioperative pulmonary aspiration and regurgitation without aspiration in adults: A retrospective observational study of 166,491 anesthesia records. Ann. Palliat. Med. 2021, 10, 4037–4046. [Google Scholar] [CrossRef] [PubMed]
- Lamperti, M.; Romero, C.S.; Guarracino, F.; Cammarota, G.; Vetrugno, L.; Tufegdzic, B.; Lozsan, F.; Macias Frias, J.J.; Duma, A.; Bock, M.; et al. Preoperative assessment of adults undergoing elective noncardiac surgery: Updated guidelines from the European Society of Anaesthesiology and Intensive Care. Eur. J. Anaesthesiol. 2025, 42, 1–35. [Google Scholar] [CrossRef] [PubMed]
- El-Sharkawy, A.M.; Daliya, P.; Lewis-Lloyd, C.; Adiamah, A.; Malcolm, F.L.; Boyd-Carson, H.; Couch, D.; Herrod, P.J.J.; Hossain, T.; Couch, J.; et al. Fasting and surgery timing (FaST) audit. Clin. Nutr. 2021, 40, 1405–1412. [Google Scholar] [CrossRef] [PubMed]
- Witt, L.; Lehmann, B.; Sümpelmann, R.; Dennhardt, N.; Beck, C.E. Quality-improvement project to reduce actual fasting times for fluids and solids before induction of anaesthesia. BMC Anesth. 2021, 21, 254. [Google Scholar] [CrossRef]
- Van de Putte, P.; Vernieuwe, L.; Jerjir, A.; Verschueren, L.; Tacken, M.; Perlas, A. When fasted is not empty: A retrospective cohort study of gastric content in fasted surgical patients. Br. J. Anaesth. 2017, 118, 363–371. [Google Scholar] [CrossRef]
- Ohashi, Y.; Walker, J.C.; Zhang, F.; Prindiville, F.E.; Hanrahan, J.P.; Mendelson, R.; Corcoran, T. Preoperative gastric residual volumes in fasted patients measured by bedside ultrasound: A prospective observational study. Anaesth. Intensiv. Care 2018, 46, 608–613. [Google Scholar] [CrossRef]
- Parkman, H.P.; Yates, K.; Hasler, W.L.; Nguyen, L.; Pasricha, P.J.; Snape, W.J.; Farrugia, G.; Koch, K.L.; Calles, J.; Abell, T.L.; et al. Similarities and Differences Between Diabetic and Idiopathic Gastroparesis. Clin. Gastroenterol. Hepatol. 2011, 9, 1056–1064. [Google Scholar] [CrossRef]
- Syed, A.R.; Wolfe, M.M.; Calles-Escandon, J. Epidemiology and Diagnosis of Gastroparesis in the United States: A Population-based Study. J. Clin. Gastroenterol. 2020, 54, 50–54. [Google Scholar] [CrossRef] [PubMed]
- Sharkey, K.A.; MacNaughton, W.K. Gastrointestinal Motility and Water Flux, Emesis, and Biliary and Pancreatic Disease. In Goodman & Gilman’s: The Pharmacological Basis of Therapeutics, 14th ed.; Brunton, L.L., Knollmann, B.C., Eds.; McGraw-Hill Education: New York, NY, USA, 2023. [Google Scholar]
- De Ponti, F.; Giaroni, C.; Cosentino, M.; Lecchini, S.; Frigo, G. Calcium-channel blockers and gastrointestinal motility: Basic and clinical aspects. Pharmacol. Ther. 1993, 60, 121–148. [Google Scholar] [CrossRef]
- Hoefnagel, A.; Yu, A.; Kaminski, A. Anesthetic Complications in Pregnancy. Crit. Care Clin. 2016, 32, 1–28. [Google Scholar] [CrossRef]
- Pellegrini, C.; Antonioli, L.; Colucci, R.; Ballabeni, V.; Barocelli, E.; Bernardini, N.; Blandizzi, C.; Fornai, M. Gastric motor dysfunctions in Parkinson’s disease: Current pre-clinical evidence. Park. Relat. Disord. 2015, 21, 1407–1414. [Google Scholar] [CrossRef] [PubMed]
- Krishnasamy, S.; Abell, T.L. Diabetic Gastroparesis: Principles and Current Trends in Management. Diabetes Ther. Res. Treat. Educ. Diabetes Relat. Disord. 2018, 9, 1–42. [Google Scholar] [CrossRef] [PubMed]
- Xiao, M.Z.X.; Englesakis, M.; Perlas, A. Gastric content and perioperative pulmonary aspiration in patients with diabetes mellitus: A scoping review. Br. J. Anaesth. 2021, 127, 224–235. [Google Scholar] [CrossRef] [PubMed]
- Buchholz, V.; Berkenstadt, H.; Goitein, D.; Dickman, R.; Bernstine, H.; Rubin, M. Gastric emptying is not prolonged in obese patients. Surg. Obes. Relat. Dis. 2013, 9, 714–717. [Google Scholar] [CrossRef] [PubMed]
- Shaw, M.; Waiting, J.; Barraclough, L.; Ting, K.; Jeans, J.; Black, B. Airway events in obese vs. non-obese elective surgical patients: A cross-sectional observational study. Anaesthesia 2021, 76, 1585–1592. [Google Scholar] [CrossRef]
- Jackson, S.J.; Leahy, F.E.; McGowan, A.A.; Bluck, L.J.C.; Coward, W.A.; Jebb, S.A. Delayed gastric emptying in the obese: An assessment using the non-invasive 13C-octanoic acid breath test. Diabetes Obes. Metab. 2004, 6, 264–270. [Google Scholar] [CrossRef]
- Dunham, C.M.; Hileman, B.M.; Hutchinson, A.E.; Chance, E.A.; Huang, G.S. Perioperative hypoxemia is common with horizontal positioning during general anesthesia and is associated with major adverse outcomes: A retrospective study of consecutive patients. BMC Anesthesiol. 2014, 14, 43. [Google Scholar] [CrossRef]
- Bouvet, L.; Miquel, A.; Chassard, D.; Boselli, E.; Allaouchiche, B.; Benhamou, D. Could a single standardized ultrasonographic measurement of antral area be of interest for assessing gastric contents? A preliminary report. Eur. J. Anaesthesiol. 2009, 26, 1015–1019. [Google Scholar] [CrossRef]
- Bouvet, L.; Mazoit, J.X.; Chassard, D.; Allaouchiche, B.; Boselli, E.; Benhamou, D. Clinical assessment of the ultrasonographic measurement of antral area for estimating preoperative gastric content and volume. Anesthesiology 2011, 114, 1086–1092. [Google Scholar] [CrossRef] [PubMed]
- Kruisselbrink, R.; Arzola, C.; Jackson, T.; Okrainec, A.; Chan, V.; Perlas, A. Ultrasound assessment of gastric volume in severely obese individuals: A validation study. Br. J. Anaesth. 2017, 118, 77–82. [Google Scholar] [CrossRef] [PubMed]
- Suarez, G.A.; Opfer-Gehrking, T.L.; Offord, K.P.; Atkinson, E.J.; O’Brien, P.C.; Low, P.A. The Autonomic Symptom Profile: A new instrument to assess autonomic symptoms. Neurology 1999, 52, 523–528. [Google Scholar] [CrossRef] [PubMed]
- Weimer, L.H. Autonomic testing: Common techniques and clinical applications. Neurologist 2010, 16, 215–222. [Google Scholar] [CrossRef] [PubMed]
- Bolondi, L.; Bortolotti, M.; Santi, V.; Calletti, T.; Gaiani, S.; Labò, G. Measurement of gastric emptying time by real-time ultrasonography. Gastroenterology 1985, 89, 752–759. [Google Scholar] [CrossRef] [PubMed]
- Sugita, M.; Matsumoto, M.; Tsukano, Y.; Fukunaga, C.; Yamamoto, T. Gastric emptying time after breakfast in healthy adult volunteers using ultrasonography. J. Anesth. 2019, 33, 697–700. [Google Scholar] [CrossRef] [PubMed]
- Perlas, A.; Mitsakakis, N.; Liu, L.; Cino, M.; Haldipur, N.; Davis, L.; Cubillos, J.; Chan, V. Validation of a mathematical model for ultrasound assessment of gastric volume by gastroscopic examination. Anesth. Analg. 2013, 116, 357–363. [Google Scholar] [CrossRef] [PubMed]
- Perlas, A.; Davis, L.; Khan, M.; Mitsakakis, N.; Chan, V.W.S. Gastric sonography in the fasted surgical patient: A prospective descriptive study. Anesth. Analg. 2011, 113, 93–97. [Google Scholar] [CrossRef]
- Perlas, A.; Arzola, C.; Portela, N.; Mitsakakis, N.; Hayawi, L.; Van de Putte, P. Gastric Volume and Antral Area in the Fasting State: A Meta-analysis of Individual Patient Data. Anesthesiology 2024, 140, 991–1001. [Google Scholar] [CrossRef] [PubMed]
- Kaydu, A.; Gokcek, E. Preoperative Assessment of Ultrasonographic Measurement of Antral Area for Gastric Content. Med. Sci. Monit. 2018, 24, 5542–5548. [Google Scholar] [CrossRef]
- Chang, J.E.; Kim, H.; Won, D.; Lee, J.M.; Jung, J.Y.; Min, S.W.; Hwang, J.Y. Ultrasound assessment of gastric content in fasted patients before elective laparoscopic cholecystectomy: A prospective observational single-cohort study. Can. J. Anesth. 2020, 67, 810–816. [Google Scholar] [CrossRef]
- Parkman, H.P.; Hallinan, E.K.; Hasler, W.L.; Farrugia, G.; Koch, K.L.; Nguyen, L.; Snape, W.J.; Abell, T.L.; McCallum, R.W.; Sarosiek, I.; et al. Early satiety and postprandial fullness in gastroparesis correlate with gastroparesis severity, gastric emptying, and water load testing. Neurogastroenterol. Motil. 2017, 29, e12981. [Google Scholar] [CrossRef] [PubMed]
- Zhou, L.; Yang, Y.; Yang, L.; Cao, W.; Jing, H.; Xu, Y.; Jiang, X.; Xu, D.; Xiao, Q.; Jiang, C.; et al. Point-of-care ultrasound defines gastric content in elective surgical patients with type 2 diabetes mellitus: A prospective cohort study. BMC Anesthesiol. 2019, 19, 179. [Google Scholar] [CrossRef] [PubMed]
- Goyal, R.K.; Cristofaro, V.; Sullivan, M.P. Rapid gastric emptying in diabetes mellitus: Pathophysiology and clinical importance. J. Diabetes Complicat. 2019, 33, 107414. [Google Scholar] [CrossRef] [PubMed]
- Van De Putte, P.; Perlas, A. Ultrasound assessment of gastric content and volume. Br. J. Anaesth. 2014, 113, 12–22. [Google Scholar] [CrossRef] [PubMed]



| Patient Characteristic | RLD Tolerant (n = 404) | RLD Not Tolerant (n = 45) | p-Value |
|---|---|---|---|
| Age, years | 53 ± 15.7 | 54 ± 17.5 | 0.624 |
| Sex (male), n (%) | 258 (64%) | 29 (64%) | 1 |
| BMI, kg/m2 | 29.7 ± 8.8 | 28.7 ± 6.3 | 0.437 |
| ASA Physical Score | 0.549 | ||
| 1 | 35 (8.7%) | 2 (4.4%) | |
| 2 | 238 (59%) | 32 (71%) | |
| 3 | 114 (28%) | 10 (22%) | |
| 4 | 17 (4.2%) | 1 (2.2%) | |
| Fasting duration, hours | 12.7 ± 3.9 | 12.5 ± 2.4 | 0.896 |
| Time to surgery, days | 7 (5–14) | 10 (5–15) | 0.386 |
| Ward stay, n (%) | 45 (11%) | 4 (8.9%) | 0.836 |
| Previous GIS surgery, n (%) | 64 (15.8%) | 6 (13.3%) | 0.823 |
| History of cancer, n (%) | 47 (11.6%) | 4 (8.9%) | 0.717 |
| History of hypertension, n (%) | 139 (34%) | 17 (38%) | 0.775 |
| History of diabetes, n (%) | 63 (16%) | 4 (8.9%) | 0.328 |
| Early satiety, n (%) | 12 (3%) | 1 (2.2%) | 1 |
| Cholelithiasis, n (%) | 17 (4.2%) | 2 (4.4%) | 1 |
| Group by USG Findings | Group by Perlas Risk Score | ||||||
|---|---|---|---|---|---|---|---|
| Patient Characteristic | Empty (n = 338) | Non-Empty (n = 66) | p-Value | Grade 0 (n = 355) | Grade 1 (n = 37) | Grade 2 (n = 12) | p-Value |
| Age, years | 53.1 ± 15.8 | 53.2 ± 14.8 | 0.922 | 53.1 ± 15.8 | 52.6 ± 13.7 | 52.3 ± 18.3 | 0.935 |
| Sex (male), n (%) | 212 (63%) | 46 (70%) | 0.348 | 220 (62%) | 30 (81%) | 8 (67%) | 0.069 |
| BMI, kg/m2 | 29.2 ± 6.3 | 30.9 ± 6.5 | 0.051 1 | 29.5 ± 6.5 | 29.6 ± 4.9 | 30.3 ± 7.8 | 0.829 |
| ASA physical score | 0.188 | 0.209 | |||||
| 1 | 32 (9.5%) | 3 (4.5%) | 32 (9%) | 1 (2.7%) | 2 (16.7%) | ||
| 2 | 200 (59.2%) | 38 (57.6%) | 207 (58.3%) | 27 (73%) | 4 (33.3%) | ||
| 3 | 90 (26.6%) | 24 (36.4%) | 100 (28.2%) | 8 (21.6%) | 6 (50%) | ||
| 4 | 16 (4.7%) | 1 (1.5%) | 16 (4.5%) | 1 (2.7%) | |||
| Fasting duration, hours | 12.8 ± 4.1 | 11.9 ± 2.5 | 0.021 2 | 12.8 ± 4.1 | 12 ± 2.5 | 11.4 ± 2.2 | 0.082 |
| Time to surgery, days | 7 (5–14) | 10 (7–15) | 0.270 | 7 (5–14) | 7 (4–10) | 12.5 (9.5–30) 3 | 0.037 |
| Ward stay, n (%) | 37 (11%) | 8 (1.2%) | 0.949 | 39 (10.9%) | 4 (10.8%) | 2 (16.6%) | 0.826 |
| Previous GIS surgery, n (%) | 49 (14.5%) | 15 (22.7%) | 0.246 | 54 (15.2%) | 8 (21.6%) | 2 (16.6%) | 0.595 |
| History of cancer, n (%) | 42 (12.4%) | 5 (7.6%) | 0.319 | 45 (12.6%) | 1 (2.7%) | 1 (8.3%) | 0.167 |
| Early satiety, n (%) | |||||||
| Cholelithiasis, n (%) | |||||||
| Patient Characteristic | Grade 1 (n = 37) | Grade 2 (n = 12) | p-Value |
|---|---|---|---|
| Antrum Area, cm2 | 16.3 (2.7–65.1) | 26.8 (2.5–82.4) | 0.103 |
| Estimated gastric volume, ml | |||
| Michiko formula | −297.9 (−625.5–110.7) | −251.1 (−578.7–157.5) | 0.839 |
| Bouvet formula | 115.65 (15.34–208.34) | 137.4 (23.16–213.28) | 0.132 |
| Perlas formula | 211.9 (−11.52–937.78) | 338.92 (17.42–1185.24) | 0.072 |
| Patients with negative estimated gastric volume | |||
| Michiko formula | 37 (100%) | 20 (100%) | 0.024 |
| Bouvet formula | 0 (0%) | 0 (0%) | 0.024 |
| Perlas formula | 3 (8.11%) | 0 (0%) | 0.492 |
| Formula | Estimate | Std. Error | Probability | Df | AIC |
|---|---|---|---|---|---|
| Michiko formula | 0.002431 | 0.001184 | 0.040 | 56 | 358.98 |
| Bouvet formula | −0.009994 | 0.006847 | 0.144 | 56 | 75.552 |
| Perlas formula | −0.002595 | 0.001273 | 0.041 | 56 | 73.096 |
| Formula | Estimate | Std. Error | Probability |
|---|---|---|---|
| (Intercept) | −0.17326 | 0.74296 | 0.815600 |
| Early satiety | 2.55389 | 0.73082 | 0.000475 |
| Fasting duration | −0.11691 | 0.05815 | 0.044387 |
| Female sex | −0.64804 | 0.33748 | 0.054828 |
| Cholelithiasis | 1.12826 | 0.61033 | 0.064514 |
| Proteinuri | −1.94850 | 1.16539 | 0.094529 |
| Previous GIS surgery | 0.60464 | 0.36182 | 0.094697 |
| Use of antacids | −0.95872 | 0.63018 | 0.128175 |
| NIDDM | 0.55670 | 0.38056 | 0.143510 |
| Formula | Estimate | Std. Error | Probability |
|---|---|---|---|
| (Intercept) | −1.77350 | 1.37383 | 0.19673 |
| Early satiety | 2.72924 | 1.00043 | 0.00637 |
| Female sex | −1.03290 | 0.47282 | 0.02892 |
| Fasting duration | −0.10974 | 0.07359 | 0.13589 |
| Use of antacids | −1.51995 | 1.03538 | 0.14210 |
| Cancer surgery | 1.40386 | 1.03696 | 0.17579 |
Disclaimer/Publisher’s Note: The statements, opinions and data contained in all publications are solely those of the individual author(s) and contributor(s) and not of MDPI and/or the editor(s). MDPI and/or the editor(s) disclaim responsibility for any injury to people or property resulting from any ideas, methods, instructions or products referred to in the content. |
© 2025 by the authors. Licensee MDPI, Basel, Switzerland. This article is an open access article distributed under the terms and conditions of the Creative Commons Attribution (CC BY) license (https://creativecommons.org/licenses/by/4.0/).
Share and Cite
Inan, S.; Erdivanli, B. Ultrasound Evaluation of Gastric Emptying and Comparison with Patient-Reported Risk Factors in Elective Surgical Patients. J. Clin. Med. 2025, 14, 641. https://doi.org/10.3390/jcm14020641
Inan S, Erdivanli B. Ultrasound Evaluation of Gastric Emptying and Comparison with Patient-Reported Risk Factors in Elective Surgical Patients. Journal of Clinical Medicine. 2025; 14(2):641. https://doi.org/10.3390/jcm14020641
Chicago/Turabian StyleInan, Sezgin, and Basar Erdivanli. 2025. "Ultrasound Evaluation of Gastric Emptying and Comparison with Patient-Reported Risk Factors in Elective Surgical Patients" Journal of Clinical Medicine 14, no. 2: 641. https://doi.org/10.3390/jcm14020641
APA StyleInan, S., & Erdivanli, B. (2025). Ultrasound Evaluation of Gastric Emptying and Comparison with Patient-Reported Risk Factors in Elective Surgical Patients. Journal of Clinical Medicine, 14(2), 641. https://doi.org/10.3390/jcm14020641

