The External Validation of a Multivariable Prediction Model for Recurrent Pelvic Organ Prolapse After Native Tissue Repair: A Prospective Cohort Study
Abstract
1. Introduction
2. Materials and Methods
2.1. Inclusion and Exclusion Criteria
2.2. Study Protocol
2.3. Definitions
2.4. Statistical Analysis
2.5. Ethical Approval
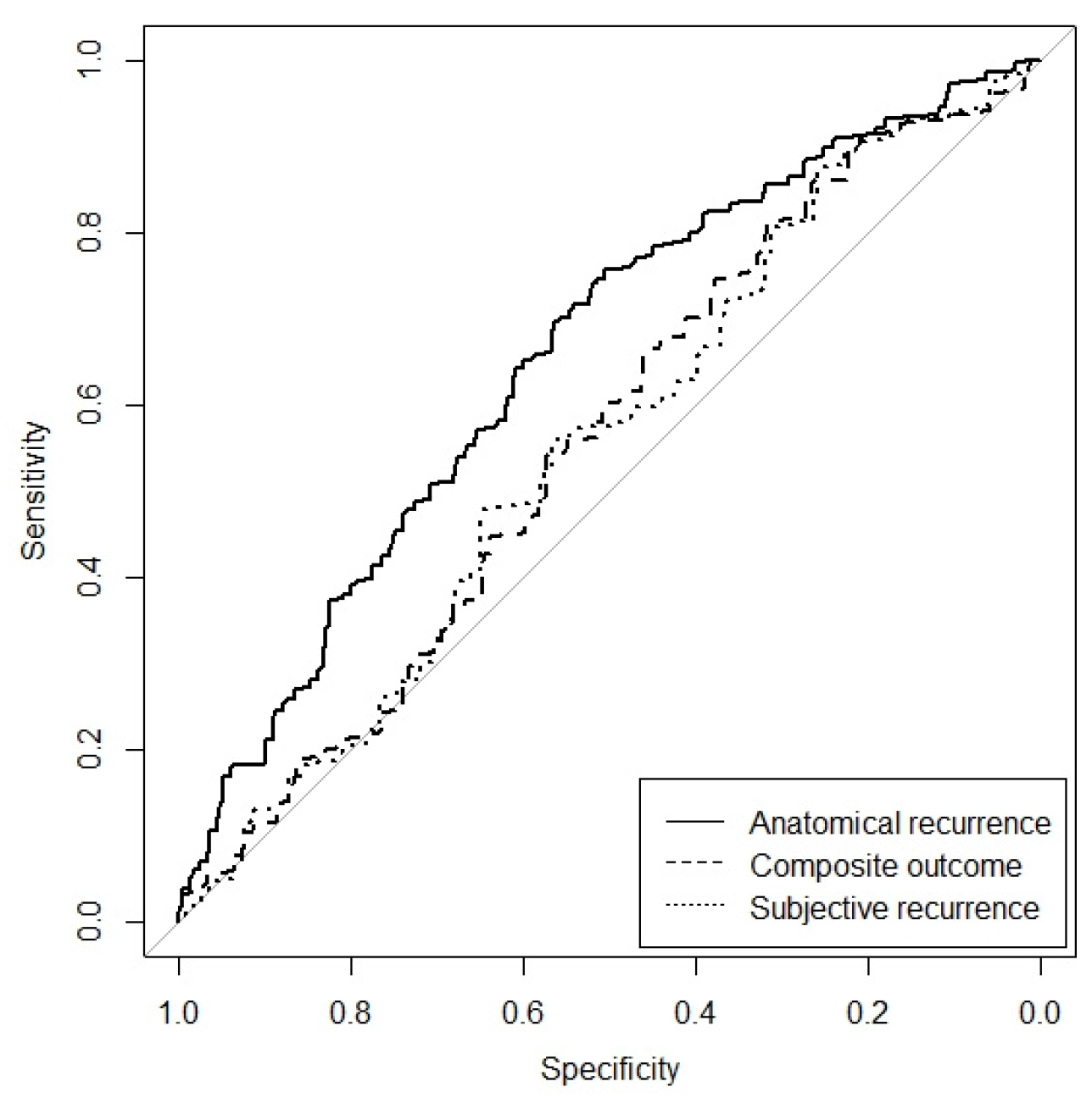
3. Results
4. Discussion
Author Contributions
Funding
Institutional Review Board Statement
Informed Consent Statement
Data Availability Statement
Conflicts of Interest
Appendix A

References
- Maher, C.; Feiner, B.; Baessler, K.; Christmann-Schmid, C.; Haya, N.; Brown, J. Surgery for women with anterior compartment prolapse. Cochrane Database Syst. Rev. 2016, 11, CD004014. [Google Scholar] [CrossRef] [PubMed]
- Vergeldt, T.F.M.; van Kuijk, S.M.J.; Notten, K.J.B.; Kluivers, K.B.; Weemhoff, M. Anatomical Cystocele Recurrence. Obstet. Gynecol. 2016, 127, 341–347. [Google Scholar] [CrossRef]
- Schulten, S.F.; Claas-Quax, M.J.; Weemhoff, M.; van Eijndhoven, H.W.; van Leijsen, S.A.; Vergeldt, T.F.; IntHout, J.; Kluivers, K.B. Risk factors for primary pelvic organ prolapse and prolapse recurrence: An updated systematic review and meta-analysis. Am. J. Obs. Gynecol. 2022, 227, 192–208. [Google Scholar] [CrossRef] [PubMed]
- Schulten, S.F.M.; Detollenaere, R.J.; Stekelenburg, J.; IntHout, J.; Kluivers, K.B.; van Eijndhoven, H.W.F. Sacrospinous hysteropexy versus vaginal hysterectomy with uterosacral ligament suspension in women with uterine prolapse stage 2 or higher: Observational follow-up of a multicentre randomised trial. BMJ 2019, 366, l5149. [Google Scholar] [CrossRef] [PubMed]
- Weemhoff, M.; Vergeldt, T.F.M.; Notten, K.; Serroyen, J.; Kampschoer, P.H.N.M.; Roumen, F.J.M.E. Avulsion of puborectalis muscle and other risk factors for cystocele recurrence: A 2-year follow-up study. Int. Urogynecol. J. 2012, 23, 65–71. [Google Scholar] [CrossRef] [PubMed]
- Notten, K.J.B.; Kluivers, K.B.; Fütterer, J.J.; Schweitzer, K.J.; Stoker, J.; Mulder, F.E.; Beets-Tan, R.G.; Vliegen, R.F.A.; Bossuyt, P.M.; Kruitwagen, R.F.P.M.; et al. Translabial three-dimensional ultrasonography compared with magnetic resonance imaging in detecting levator ani defects. Obstet. Gynecol. 2014, 124, 1190–1197. [Google Scholar] [CrossRef] [PubMed]
- Bump, R.C.; Mattiasson, A.; Bø, K.; Brubaker, L.P.; DeLancey, J.O.; Klarskov, P.; Shull, B.L.; Smith, A.R. The standardization of terminology of female pelvic organ prolapse and pelvic floor dysfunction. Am. J. Obs. Gynecol. 1996, 175, 10–17. [Google Scholar] [CrossRef] [PubMed]
- van der Vaart, C.H.; de Leeuw, J.R.J.; Roovers, J.P.W.R.; Heintz, A.P.M. Measuring health-related quality of life in women with urogenital dysfunction: The urogenital distress inventory and incontinence impact questionnaire revisited. Neurourol. Urodyn. 2003, 22, 97–104. [Google Scholar] [CrossRef] [PubMed]
- Dietz, H.P.; Bernardo, M.J.; Kirby, A.; Shek, K.L. Minimal criteria for the diagnosis of avulsion of the puborectalis muscle by tomographic ultrasound. Int. Urogynecol. J. 2011, 22, 699–704. [Google Scholar] [CrossRef] [PubMed]
- Collins, G.S.; Ogundimu, E.O.; Altman, D.G. Sample size considerations for the external validation of a multivariable prognostic model: A resampling study. Stat. Med. 2016, 35, 214–226. [Google Scholar] [CrossRef]
- Moons, K.G.M.; Altman, D.G.; Reitsma, J.B.; Ioannidis, J.P.A.; Macaskill, P.; Steyerberg, E.W.; Vickers, A.J.; Ransohoff, D.F.; Collins, G.S. Transparent Reporting of a multivariable prediction model for Individual Prognosis Or Diagnosis (TRIPOD): Explanation and Elaboration. Ann. Intern. Med. 2015, 162, W1–W73. [Google Scholar] [CrossRef] [PubMed]
- Bleeker, S.E.; Moll, H.A.; Steyerberg, E.W.; Donders, A.R.T.; Derksen-Lubsen, G.; Grobbee, D.E.; Moons, K.G.M. External validation is necessary in prediction research. J. Clin. Epidemiol. 2003, 56, 826–832. [Google Scholar] [CrossRef] [PubMed]
- Friedman, T.; Eslick, G.D.; Dietz, H.P. Risk factors for prolapse recurrence: Systematic review and meta-analysis. Int. Urogynecol. J. 2018, 29, 13–21. [Google Scholar] [CrossRef] [PubMed]
- Barber, M.D.; Maher, C. Epidemiology and outcome assessment of pelvic organ prolapse. Int. Urogynecol. J. 2013, 24, 1783–1790. [Google Scholar] [CrossRef] [PubMed]
- Barber, M.D.; Brubaker, L.; Nygaard, I.; Wheeler, T.L.; Schaffer, J.; Chen, Z.; Spino, C. Defining Success After Surgery for Pelvic Organ Prolapse. Obstet. Gynecol. 2009, 114, 600–609. [Google Scholar] [CrossRef] [PubMed]
- Schulten, S.F.; Detollenaere, R.J.; IntHout, J.; Kluivers, K.B.; Van Eijndhoven, H.W. Risk factors for pelvic organ prolapse recurrence after sacrospinous hysteropexy or vaginal hysterectomy with uterosacral ligament suspension. Am. J. Obs. Gynecol. 2022, 227, 252.e1–252.e9. [Google Scholar] [CrossRef] [PubMed]
- Siff, L.N.; Barber, M.D.; Zyczynski, H.M.; Rardin, C.R.; Jakus-Waldman, S.; Rahn, D.D.; Smith, A.L.; Mazloomdoost, D.; Sridhar, A.; Gantz, M.G. Immediate Postoperative Pelvic Organ Prolapse Quantification Measures and 2-Year Risk of Prolapse Recurrence. Obstet. Gynecol. 2020, 136, 792–801. [Google Scholar] [CrossRef] [PubMed]
- Jelovsek, J.E.; Chagin, K.; Lukacz, E.S.; Nolen, T.L.; Shepherd, J.P.; Barber, M.D.; Sung, V.; Brubaker, L.; Norton, P.A.; Rahn, D.D.; et al. Models for Predicting Recurrence, Complications, and Health Status in Women After Pelvic Organ Prolapse Surgery. Obstet. Gynecol. 2018, 132, 298–309. [Google Scholar] [CrossRef] [PubMed]
- Gelderblom, M.E.; Stevens, K.Y.R.; Houterman, S.; Weyers, S.; Schoot, B.C. Prediction models in gynaecology: Transparent reporting needed for clinical application. Eur. J. Obstet. Gynecol. Reprod. Biol. 2021, 265, 190–202. [Google Scholar] [CrossRef] [PubMed]


| Developmental Cohort (n = 287) N (%) or Mean (±SD) | Validation Cohort (n = 246) N (%) or Mean (±SD) | p-Value | |
|---|---|---|---|
| Age, years | 58.0 (±10.3) | 61.1 (±9.1) | <0.001 |
| BMI, kg/m2 | 26.0 (±3.9) | 26.0 (±3.7) | 0.89 |
| Assisted vaginal delivery | 32/276 (11.6%) | 13.5% | 0.51 |
| POPQ stage 3 or 4 cystocele preoperatively | 132/285 (46.3%) | 94/246 (38.2%) | 0.06 |
| POPQ stage 3 or 4 in any compartment preoperatively | 152/286 (53.1%) | 106/246 (43.1%) | 0.02 |
| Complete levator defect | 126/279 (45.2%) | 58/203(28.6%) | <0.001 |
| Levator hiatal area (cm2) | 33.3 (±8.0) | 28.9 (±7.1) | <0.001 |
| Levator ballooning | |||
| Hiatal area < 20 cm2 | 11/271 (4.1%) | 17/193 (8.8%) | 0.03 |
| Hiatal area > 25 cm2 | 237/271(87.5%) | 131/193 (67.9%) | <0.001 |
| Number of compartments involved | |||
| Anterior colporrhaphy only | 71/287 (24.7%) | 20/246 (8.1%) | <0.001 |
| Surgery in 2 compartments | 128/287 (44.6%) | 151/246 (61.4%) | <0.001 |
| Surgery in anterior and posterior compartment | 40/287 (13.9%) | 13/246 (5.3%) | <0.001 |
| Surgery in anterior and middle compartment | 88/287 (30.7%) | 138/246 (56.1%) | <0.001 |
| Surgery in 3 compartments | 88/287 (30.7%) | 75/246 (30.5%) | 0.97 |
| Concomitant repair of uterus or vaginal vault | |||
| Vaginal hysterectomy | 102/287 (35.5%) | 19/246 (7.7%) | <0.001 |
| Sacrospinous fixation | 46/287 (16.0%) | 129/246 (52.4%) | <0.001 |
| Manchester Fothergill | 27/287 (9.4%) | 65/246 (26.4%) | <0.001 |
| Anatomical Recurrence | Composite Recurrence | Subjective Recurrence | |||||||
|---|---|---|---|---|---|---|---|---|---|
| n | OR (95%CI) | p-Value | n | OR (95%CI) | p-Value | n | OR (95%CI) | p-Value | |
| Age, years | 216 | 1.02 (0.99–1.05) | 0.22 | 219 | 0.96 (0.92–0.99) | 0.04 | 208 | 0.96 (0.91–1.01) | 0.13 |
| Younger age (<60 years) | 216 | 0.86 (0.50–1.47) | 0.58 | 219 | 1.56 (0.78–3.13) | 0.21 | 208 | 1.10 (0.43–2.83) | 0.84 |
| BMI kg/m2 | 216 | 1.03 (0.96–1.10) | 0.5 | 219 | 1.04 (0.95–1.13) | 0.38 | 208 | 1.07 (0.96–1.21) | 0.23 |
| BMI > 25 | 216 | 1.11 (0.66–1.88) | 0.69 | 219 | 1.05 (0.54–2.05) | 0.89 | 1.23 (0.50–3.25) | 0.62 | |
| BMI > 30 | 216 | 0.79 (0.36–1.77) | 0.57 | 219 | 0.89 (0.32–2.47) | 0.82 | 1.95 (0.61–6.28) | 0.26 | |
| Assisted vaginal delivery | 209 | 0.46 (0.20–1.07) | 0.07 | 212 | 0.98 (0.35–2.77) | 0.97 | 204 | 1.39 (0.37–5.15) | 0.62 |
| POPQ stage 3 or 4 cystocele preoperatively | 216 | 2.42 (1.40–4.28) | 0.002 | 219 | 1.44 (0.71–2.90) | 0.31 | 208 | 0.61 (0.21–1.76) | 0.36 |
| POPQ stage 3 or 4 in any compartment preoperatively | 216 | 1.70 (0.98–2.93) | 0.06 | 219 | 1.39 (0.70–2.79) | 0.35 | 208 | 0.80 (0.30–2.11) | 0.65 |
| POPQ Genital hiatus (on Valsalva) | 173 | 1.03 (0.81–1.30) | 0.84 | 176 | 0.93 (0.67–1.29) | 0.65 | 165 | 0.59 (0.33–1.06) | 0.08 |
| Levator defect | 181 | 0.007 | 183 | 0.75 | 176 | 0.65 | |||
| No levator defect (ref) | |||||||||
| Partial levator defect | 1.60 (0.68–3.76) | 0.28 | 0.83 (0.36–2.70) | 0.76 | 0.38 (0.05–3.11) | 0.37 | |||
| Complete levator defect | 3.06 (1.52–6.18) | 0.002 | 1.28 (0.56–2.96) | 0.56 | 1.01 (0.33–3.13) | 0.99 | |||
| Levator hiatal area (cm2) | 171 | 1.03 (0.99–1.08) | 0.15 | 173 | 1.01 (0.95–1.07) | 0.79 | |||
| Hiatal area < 20 cm2 | 0.35 (0.10–1.13) | 0.08 | 1.02 (0.27–3.80) | 0.98 | 166 | 0.79 (0.09–5.72) | 0.74 | ||
| Hiatal area > 25 cm2 | 1.40 (0.73–2.68) | 0.32 | 1.20 (0.51–2.80) | 0.68 | 3.22 (0.70–14.81) | 0.13 | |||
| Number of compartments involved | 216 | 0.33 | 219 | 0.63 | 208 | 0.68 | |||
| Anterior colporrhaphy only (ref) | |||||||||
| Surgery in 2 compartments | 2.19 (0.78–6.20) | 0.14 | 1.94 (0.42–8.99) | 0.4 | 1.89 (0.23–15.45) | 0.55 | |||
| Surgery in 3 compartments | 1.89 (0.63–5.61) | 0.25 | 1.54 (0.31–7.79) | 0.6 | 1.27 (0.14–11.65) | 0.83 | |||
| Posterior colporrhaphy | 216 | 0.88 (0.50–1.53) | 0.64 | 219 | 0.88 (0.46–1.94) | 0.94 | 208 | 0.95 (0.36–2.52) | 0.92 |
| Repair of uterus or vaginal vault | |||||||||
| Vaginal hysterectomy | 216 | 1.02 (0.37–2.82) | 0.97 | 219 | 0.64 (0.14–2.94) | 0.57 | 208 | 1.47 (0.31–7.02) | 0.63 |
| Sacrospinous fixation | 216 | 1.89 (1.10–3.24) | 0.02 | 219 | 1.19 (0.60–2.39) | 0.62 | 208 | 0.44 (0.16–1.20) | 0.11 |
| Manchester Fothergill | 216 | 0.65 (0.36–1.18) | 0.16 | 219 | 0.99 (0.46–2.14) | 0.99 | 208 | 1.87 (0.71–4.90) | 0.21 |
| Active employment status | 200 | 0.82 (0.47–1.43) | 0.48 | 203 | 2.25 (1.04–4.86) | 0.04 | 195 | 2.46 (0.84–7.18) | 0.10 |
| Sexually active | 207 | 0.88 (0.48–1.60) | 0.68 | 210 | 1.06 (0.47–2.36) | 0.89 | 202 | 3.43 (0.76–15.47) | 0.11 |
| Anatomical Recurrence | Composite Recurrence | |||||
|---|---|---|---|---|---|---|
| n | OR (95%CI) | p-Value | n | OR (95%CI) | p-Value | |
| Age | 219 | 0.99 (0.94–1.05) | 0.88 | |||
| Assisted vaginal delivery | 209 | 0.59 (0.22–1.61) | 0.31 | |||
| POPQ stage 3 or 4 cystocele preoperatively | 216 | 2.33 (1.18–4.58) | 0.02 | |||
| Levator defect No levator defect (ref) Partial levator defect Complete levator defect | 181 | 2.98 (1.40–6.43) | 0.02 0.01 | |||
| Levator hiatal area (cm2) Hiatal area < 20 cm2 Hiatal area >25 cm2 | 171 | 0.41 (0.11–1.48) | 0.17 | |||
| Repair of uterus or vaginal vault Vaginal hysterectomy Sacrospinous fixation Manchester Fothergill | 216 | 1.69 (0.87–3.30) | 0.12 | |||
| Active employment status | 203 | 2.14 (0.78–5.88) | 0.14 | |||
Disclaimer/Publisher’s Note: The statements, opinions and data contained in all publications are solely those of the individual author(s) and contributor(s) and not of MDPI and/or the editor(s). MDPI and/or the editor(s) disclaim responsibility for any injury to people or property resulting from any ideas, methods, instructions or products referred to in the content. |
© 2025 by the authors. Licensee MDPI, Basel, Switzerland. This article is an open access article distributed under the terms and conditions of the Creative Commons Attribution (CC BY) license (https://creativecommons.org/licenses/by/4.0/).
Share and Cite
Kessels, I.; van Kuijk, S.; Vergeldt, T.; van Gestel, I.; Spaans, W.; Notten, K.; Kruitwagen, R.; Weemhoff, M. The External Validation of a Multivariable Prediction Model for Recurrent Pelvic Organ Prolapse After Native Tissue Repair: A Prospective Cohort Study. J. Clin. Med. 2025, 14, 531. https://doi.org/10.3390/jcm14020531
Kessels I, van Kuijk S, Vergeldt T, van Gestel I, Spaans W, Notten K, Kruitwagen R, Weemhoff M. The External Validation of a Multivariable Prediction Model for Recurrent Pelvic Organ Prolapse After Native Tissue Repair: A Prospective Cohort Study. Journal of Clinical Medicine. 2025; 14(2):531. https://doi.org/10.3390/jcm14020531
Chicago/Turabian StyleKessels, Imke, Sander van Kuijk, Tineke Vergeldt, Iris van Gestel, Wilbert Spaans, Kim Notten, Roy Kruitwagen, and Mirjam Weemhoff. 2025. "The External Validation of a Multivariable Prediction Model for Recurrent Pelvic Organ Prolapse After Native Tissue Repair: A Prospective Cohort Study" Journal of Clinical Medicine 14, no. 2: 531. https://doi.org/10.3390/jcm14020531
APA StyleKessels, I., van Kuijk, S., Vergeldt, T., van Gestel, I., Spaans, W., Notten, K., Kruitwagen, R., & Weemhoff, M. (2025). The External Validation of a Multivariable Prediction Model for Recurrent Pelvic Organ Prolapse After Native Tissue Repair: A Prospective Cohort Study. Journal of Clinical Medicine, 14(2), 531. https://doi.org/10.3390/jcm14020531

