Clinical Characteristics of Infants Under Two Years of Age with Early Sensitization to House Dust Mites
Abstract
1. Introduction
2. Materials and Methods
2.1. Study Population
2.2. Methods
2.3. Statistical Analysis
Ethical Considerations
3. Results
3.1. Clinical Characteristics of Infants Sensitized to HDMs
3.2. Laboratory Findings in HDM-Sensitized Infants
3.3. Comparison Between the HDM (+) and HDM (–) Groups
4. Discussion
5. Conclusions
Author Contributions
Funding
Institutional Review Board Statement
Informed Consent Statement
Data Availability Statement
Acknowledgments
Conflicts of Interest
Abbreviations
| HDM | House dust mite |
| sIgE | Specific immunoglobulin E |
References
- Miyamoto, T.; Oshima, S.; Ishizaki, T.; Sato, S.H. Allergenic Identity between the Common Floor Mite (Dermatophagoides Farinae Hughes, 1961) and House Dust as a Causative Antigen in Bronchial Asthma. J. Allergy 1968, 42, 14–28. [Google Scholar] [CrossRef]
- Sarsfield, J.K. Role of House-Dust Mites in Childhood Asthma. Arch. Dis. Child. 1974, 49, 711–715. [Google Scholar] [CrossRef] [PubMed][Green Version]
- Ree, H.I.; Jeon, S.H.; Lee, I.Y.; Hong, C.S.; Lee, D.K. Fauna and Geographical Distribution of House Dust Mites in Korea. Korean J. Parasitol. 1997, 35, 9–17. [Google Scholar] [CrossRef] [PubMed]
- Kim, J.; Hahm, M.I.; Lee, S.Y.; Kim, W.K.; Chae, Y.; Park, Y.M.; Han, M.Y.; Lee, K.J.; Kwon, H.J.; Jung, J.A.; et al. Sensitization to Aeroallergens in Korean Children: A Population-Based Study in 2010. J. Korean Med. Sci. 2011, 26, 1165–1172. [Google Scholar] [CrossRef]
- Jeong, K.Y.; Park, J.W.; Hong, C.S. House Dust Mite Allergy in Korea: The Most Important Inhalant Allergen in Current and Future. Allergy Asthma Immunol. Res. 2012, 4, 313–325. [Google Scholar] [CrossRef] [PubMed]
- Park, S.C.; Hwang, C.S.; Chung, H.J.; Purev, M.; Al Sharhan, S.S.; Cho, H.J.; Yoon, J.H.; Kim, C.H. Geographic and Demographic Variations of Inhalant Allergen Sensitization in Koreans and Non-Koreans. Allergol. Int. Off. J. Jpn. Soc. Allergol. 2019, 68, 68–76. [Google Scholar] [CrossRef]
- Dharmage, S.C.; Lowe, A.J.; Matheson, M.C.; Burgess, J.A.; Allen, K.J.; Abramson, M.J. Atopic Dermatitis and the Atopic March Revisited. Allergy 2014, 69, 17–27. [Google Scholar] [CrossRef]
- Gabryszewski, S.J.; Hill, D.A. One March, Many Paths: Insights into Allergic March Trajectories. Ann. Allergy Asthma Immunol. 2021, 127, 293–300. [Google Scholar] [CrossRef]
- Eapen, A.A.; Kim, H. The Phenotype of the Food-Allergic Patient. Immunol. Allergy Clin. N. Am. 2021, 41, 165–175. [Google Scholar]
- Calderón, M.A.; Linneberg, A.; Kleine-Tebbe, J.; De Blay, F.; Hernandez Fernandez de Rojas, D.; Virchow, J.C.; Demoly, P. Respiratory Allergy Caused by House Dust Mites: What Do We Really Know? J. Allergy Clin. Immunol. 2015, 136, 38–48. [Google Scholar] [CrossRef]
- Hammad, H.; Chieppa, M.; Perros, F.; Willart, M.A.; Germain, R.N.; Lambrecht, B.N. House Dust Mite Allergen Induces Asthma Via Toll-Like Receptor 4 Triggering of Airway Structural Cells. Nat. Med. 2009, 15, 410–416. [Google Scholar] [CrossRef]
- Sporik, R.; Holgate, S.T.; Platts-Mills, T.A.E.; Cogswell, J.J. Exposure to House-Dust Mite Allergen (Der P I) and the Development of Asthma in Childhood. N. Engl. J. Med. 1990, 323, 502–507. [Google Scholar] [CrossRef]
- Brussee, J.E.; Smit, H.A.; van Strien, R.T.; Corver, K.; Kerkhof, M.; Wijga, A.H.; Aalberse, R.C.; Postma, D.; Gerritsen, J.; Grobbee, D.E.; et al. Allergen Exposure in Infancy and the Development of Sensitization, Wheeze, and Asthma at 4 Years. J. Allergy Clin. Immunol. 2005, 115, 946–952. [Google Scholar] [CrossRef]
- Celedón, J.C.; Milton, D.K.; Ramsey, C.D.; Litonjua, A.A.; Ryan, L.; Platts-Mills, T.A.; Gold, D.R. Exposure to Dust Mite Allergen and Endotoxin in Early Life and Asthma and Atopy in Childhood. J. Allergy Clin. Immunol. 2007, 120, 144–149. [Google Scholar] [CrossRef] [PubMed]
- Su, K.W.; Chiu, C.Y.; Tsai, M.H.; Liao, S.L.; Chen, L.C.; Hua, M.C.; Yao, T.C.; Huang, J.L.; Yeh, K.W. Asymptomatic Toddlers with House Dust Mite Sensitization at Risk of Asthma and Abnormal Lung Functions at Age 7 Years. World Allergy Organ. J. 2019, 12, 100056. [Google Scholar] [CrossRef] [PubMed]
- Illi, S.; von Mutius, E.; Lau, S.; Niggemann, B.; Grüber, C.; Wahn, U. Perennial Allergen Sensitisation Early in Life and Chronic Asthma in Children: A Birth Cohort Study. Lancet 2006, 368, 763–770. [Google Scholar] [CrossRef] [PubMed]
- Nam, H.S.; Siebers, R.; Lee, S.H.; Park, J.S.; Kim, Y.B.; Choi, Y.J.; Lee, S.H.; Crane, J. House dust mite allergens in domestic homes in Cheonan, Korea. Korean J. Parasitol. 2008, 46, 187–189. [Google Scholar] [CrossRef]
- Kim, Y.J.; Lee, M.Y.; Yang, A.R.; Sol, I.S.; Kwak, J.H.; Jung, H.L.; Shim, J.W.; Kim, D.S.; Shim, J.Y. Trends of Sensitization to Inhalant Allergens in Korean Children. Yonsei Med. J. 2020, 61, 855–861. [Google Scholar] [CrossRef]
- Immunocap Allergen Information; Thermo Fisher, Scientific: Waltham, MA, USA, 2025.
- Hamilton, R.G. Clinical Laboratory Assessment of Immediate-Type Hypersensitivity. Clevel. Clin. J. Med. 2011, 78, 585–592. [Google Scholar] [CrossRef]
- De Bilderling, G.; Mathot, M.; Agustsson, S.; Tuerlinckx, D.; Jamart, J.; Bodart, E. Early Skin Sensitization to Aeroallergens. Pediatr. Allergy Immunol. 2008, 19, 643–648. [Google Scholar] [CrossRef]
- Loo, E.X.; Sim, J.Z.; Goh, A.; Teoh, O.H.; Chan, Y.H.; Saw, S.M.; Kwek, K.; Gluckman, P.D.; Godfrey, K.M.; Van Bever, H.; et al. Predictors of allergen sensitization in Singapore children from birth to 3 years. Allergy Asthma Clin. Immunol. 2016, 24, 12–56. [Google Scholar] [CrossRef] [PubMed]
- Ying, X.; Qi, X.; Yin, Y.; Wang, H.; Zhang, H.; Jiang, H.; Yang, L.; Wu, J. Allergens sensitization among children with allergic diseases in Shanghai, China: Age and sex difference. Respir. Res. 2022, 23, 95. [Google Scholar] [CrossRef] [PubMed]
- Kojima, R.; Shinohara, R.; Kushima, M.; Horiuchi, S.; Otawa, S.; Miyake, K.; Yokomichi, H.; Akiyama, Y.; Ooka, T.; Yamagata, Z. The Japan Environment and Children’s Study Group. Exposure to House Dust Mite Allergen and Endotoxin in Early Life and Sensitization and Allergic Rhinitis: The JECS. Int. J. Environ. Res. Public Health 2022, 19, 14796. [Google Scholar] [CrossRef]
- Lau, S.; Illi, S.; Sommerfeld, C.; Niggemann, B.; Bergmann, R.; von Mutius, E.; Wahn, U. Early Exposure to House-Dust Mite and Cat Allergens and Development of Childhood Asthma: A Cohort Study. Lancet 2000, 356, 1392–1397. [Google Scholar] [CrossRef]
- Casas, L.; Sunyer, J.; Tischer, C.; Gehring, U.; Wickman, M.; Garcia-Esteban, R.; Lehmann, I.; Kull, I.; Reich, A.; Lau, S.; et al. Early-Life House Dust Mite Allergens, Childhood Mite Sensitization, and Respiratory Outcomes. Allergy 2015, 70, 820–827. [Google Scholar] [CrossRef]
- Dean, T.; Venter, C.; Pereira, B.; Arshad, S.H.; Grundy, J.; Clayton, C.B.; Higgins, B. Patterns of Sensitization to Food and Aeroallergens in the First 3 Years of Life. J. Allergy Clin. Immunol. 2007, 120, 1166–1171. [Google Scholar] [CrossRef] [PubMed]
- Holt, P.G.; Jones, C.A. The Development of the Immune System During Pregnancy and Early Life. Allergy 2000, 55, 688–697. [Google Scholar] [CrossRef]
- Wahn, U.; Bergmann, R.; Kulig, M.; Forster, J.; Bauer, C.P. The Natural Course of Sensitisation and Atopic Disease in Infancy and Childhood. Pediatr. Allergy Immunol. 1997, 8 (Suppl. 10), 16–20. [Google Scholar]
- Maciag, M.C.; Phipatanakul, W. Update on Indoor Allergens and Their Impact on Pediatric Asthma. Ann. Allergy Asthma Immunol. 2022, 128, 652–658. [Google Scholar] [CrossRef]
- Cork, M.J.; Danby, S.G.; Vasilopoulos, Y.; Hadgraft, J.; Lane, M.E.; Moustafa, M.; Guy, R.H.; Macgowan, A.L.; Tazi-Ahnini, R.; Ward, S.J. Epidermal Barrier Dysfunction in Atopic Dermatitis. J. Investig. Dermatol. 2009, 129, 1892–1908. [Google Scholar] [CrossRef]
- Flohr, C.; England, K.; Radulovic, S.; McLean, W.H.; Campbel, L.E.; Barker, J.; Perkin, M.; Lack, G. Filaggrin Loss-of-Function Mutations Are Associated with Early-Onset Eczema, Eczema Severity and Transepidermal Water Loss at 3 Months of Age. Br. J. Dermatol. 2010, 163, 1333–1336. [Google Scholar] [CrossRef] [PubMed]
- Leung, D.Y.M. Atopic Dermatitis: New Insights and Opportunities for Therapeutic Intervention. J. Allergy Clin. Immunol. 2000, 105, 860–876. [Google Scholar] [CrossRef] [PubMed]
- Lack, G. Epidemiologic Risks for Food Allergy. J. Allergy Clin. Immunol. 2008, 121, 1331–1336. [Google Scholar] [CrossRef] [PubMed]
- Alduraywish, S.A.; Lodge, C.J.; Campbell, B.; Allen, K.J.; Erbas, B.; Lowe, A.J.; Dharmage, S.C. The March from Early Life Food Sensitization to Allergic Disease: A Systematic Review and Meta-Analyses of Birth Cohort Studies. Allergy 2016, 71, 77–89. [Google Scholar] [CrossRef]
- Davis, K.L.; Claudio-Etienne, E.; Frischmeyer-Guerrerio, P.A. Atopic Dermatitis and Food Allergy: More Than Sensitization. Mucosal Immunol. 2024, 17, 1128–1140. [Google Scholar] [CrossRef]
- Zheng, T.; Yu, J.; Oh, M.H.; Zhu, Z. The Atopic March: Progression from Atopic Dermatitis to Allergic Rhinitis and Asthma. Allergy Asthma Immunol. Res. 2011, 3, 67–73. [Google Scholar] [CrossRef]
- Boralevi, F.; Hubiche, T.; Léauté-Labrèze, C.; Saubusse, E.; Fayon, M.; Roul, S.; Maurice-Tison, S.; Taïeb, A. Epicutaneous Aeroallergen Sensitization in Atopic Dermatitis Infants—Determining the Role of Epidermal Barrier Impairment. Allergy 2008, 63, 205–210. [Google Scholar] [CrossRef]
- Kimura, M.; Meguro, T.; Ito, Y.; Tokunaga, F.; Hashiguchi, A.; Seto, S. Close Positive Correlation between the Lymphocyte Response to Hen Egg White and House Dust Mites in Infants with Atopic Dermatitis. Int. Arch. Allergy Immunol. 2015, 166, 161–169. [Google Scholar] [CrossRef]
- Christiansen, E.S.; Kjaer, H.F.; Eller, E.; Bindslev-Jensen, C.; Høst, A.; Mortz, C.G.; Halken, S. Early-Life Sensitization to Hen’s Egg Predicts Asthma and Rhinoconjunctivitis at 14 Years of Age. Pediatr. Allergy Immunol. 2017, 28, 776–783. [Google Scholar] [CrossRef]
- Klain, A.; Senatore, A.A.; Licari, A.; Galletta, F.; Bettini, I.; Tomei, L.; Manti, S.; Mori, F.; Miraglia Del Giudice, M.; Indolfi, C. The Prevention of House Dust Mite Allergies in Pediatric Asthma. Children 2024, 11, 469. [Google Scholar] [CrossRef]
- Pham, D.L.; Le, K.-M.; Truong, D.D.K.; Le, H.T.T.; Trinh, T.H.K. Environmental Allergen Reduction in Asthma Management: An Overview. Front. Allergy 2023, 4, 1229238. [Google Scholar] [CrossRef] [PubMed]
- Di Bona, D.; Carlucci, P.; Spataro, F.; Paoletti, G.; Cognet-Sicé, J.; Scurati, S.; Canonica, G.W. IR (Index of Reactivity)-House Dust Mite Sublingual Immunotherapy Liquid Formulation for Allergic Rhinoconjunctivitis: Systematic Review and Meta-Analysis of Randomized and Nonrandomized Studies. J. Allergy Clin. Immunol. Glob. 2024, 3, 100208. [Google Scholar] [CrossRef] [PubMed]
- Schuster, A.; Caimmi, D.; Nolte, H.; Novakova, S.; Mikler, J.; Foss-Skiftesvik, M.H.; Østerdal, A.S.; Emeryk, A.; Gagnon, R.; Pfaar, O. Efficacy and Safety of SQ House Dust Mite Sublingual Immunotherapy-Tablet (12 SQ-HDM) in Children with Allergic Rhinitis/Rhinoconjunctivitis with or without Asthma (MT-12): A Randomised, Double-Blind, Placebo-Controlled, Phase III Trial. Lancet Reg. Health Eur. 2024, 48, 101136. [Google Scholar] [CrossRef] [PubMed]


| N (%) or Mean ± SD | ||
|---|---|---|
| Infants < 24 Months (N = 96) | Infants < 12 Months (N = 11) | |
| Age (months) | 17.2 ± 4.3 | 10.3 ± 0.9 |
| Male | 63 (64.6%) | 8 (72.7%) |
| Doctor-diagnosed allergic disease | ||
| Atopic dermatitis | 71 (74.0%) | 10 (90.9%) |
| Food allergy | 55 (57.3%) | 11 (100%) |
| Anaphylaxis | 10 (10.4%) | 2 (18.2%) |
| Asthma | 23 (24.2%) | 3 (27.3%) |
| Allergic rhinitis | 30 (31.2%) | 2 (18.2%) |
| Recurrent wheezing (≥4 times) | 31 (32.3%) | 4 (36.4%) |
| Characteristics | N (%) or Mean ± SD | |
|---|---|---|
| Infants < 24 Months (N = 96) | Infants < 12 Months (N = 11) | |
| Total IgE (kU/L) | 415.0 ± 674.1 | 368.2 ± 718.9 |
| HDM sIgE (kU/L) | 12.4 ± 23.6 | 13.3 ± 29.5 |
| Egg white sensitization | 69 (75.0%) | 10 (90.9%) |
| Cow’s milk sIgE sensitization | 54 (62.8%) | 9 (81.8%) |
| Multiple food sensitization (≥3 food allergens) | 48 (51.1%) | 8 (72.7%) |
| Variables | N (%) | p-Value | |
|---|---|---|---|
| HDM (+) Group (N = 96) | HDM (−) Group (N = 96) | ||
| Physician-diagnosed allergic diseases | |||
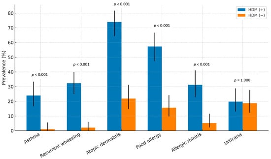
| Atopic dermatitis | 71 (74.0) | 21 (21.9) | <0.001 |
| Food allergy | 55 (57.3) | 15 (15.6) | <0.001 |
| Anaphylaxis | 10 (10.4) | 3 (3.1) | 0.096 |
| Asthma | 23 (24.2) | 1 (1.0) | <0.001 |
| Allergic rhinitis | 30 (31.2) | 5 (5.2) | <0.001 |
| Urticaria | 19 (19.8) | 18 (18.8) | 1.000 |
| Recurrent wheezing (≥4 times) | 31 (32.3) | 2 (2.1) | <0.001 |
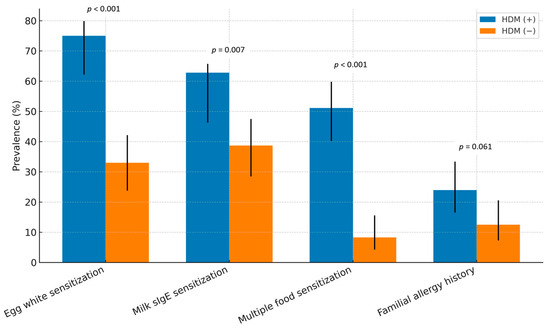
| Family history of allergic diseases | 23 (23.9) | 12 (12.5) | 0.062 |
| Egg white sensitization | 69 (75.0) | 31 (33.0) | <0.001 |
| Milk sIgE sensitization | 54 (62.8) | 36 (38.7) | 0.007 |
| Multiple food sensitization (≥3 food allergens) | 48 (51.1) | 8 (8.3) | <0.001 |
| Variables | Mean ± SD | p-Value | |
|---|---|---|---|
| HDM (+) Group (N = 96) | HDM (−) Group (N = 96) | ||
| Log (total IgE + 1) | 2.17 ± 0.64 | 1.57 ± 0.66 | ≤0.001 |
| Egg white sIgE (kU/L) | 16.13 ± 29.65 | 1.15 ± 3.30 | ≤0.001 |
| Cow’s milk sIgE (kU/L) | 6.08 ± 16.20 | 0.67 ± 1.36 | 0.001 |
| Coefficient (p-Value) | |||
|---|---|---|---|
| Total IgE | Egg White sIgE | Cow’s Milk sIgE | |
| HDM sIgE | 0.326 (0.002) | 0.312 (0.002) | 0.215 (0.047) |
Disclaimer/Publisher’s Note: The statements, opinions and data contained in all publications are solely those of the individual author(s) and contributor(s) and not of MDPI and/or the editor(s). MDPI and/or the editor(s) disclaim responsibility for any injury to people or property resulting from any ideas, methods, instructions or products referred to in the content. |
© 2025 by the authors. Licensee MDPI, Basel, Switzerland. This article is an open access article distributed under the terms and conditions of the Creative Commons Attribution (CC BY) license (https://creativecommons.org/licenses/by/4.0/).
Share and Cite
Jeong, H.-I.; Jeon, Y.H. Clinical Characteristics of Infants Under Two Years of Age with Early Sensitization to House Dust Mites. J. Clin. Med. 2025, 14, 6587. https://doi.org/10.3390/jcm14186587
Jeong H-I, Jeon YH. Clinical Characteristics of Infants Under Two Years of Age with Early Sensitization to House Dust Mites. Journal of Clinical Medicine. 2025; 14(18):6587. https://doi.org/10.3390/jcm14186587
Chicago/Turabian StyleJeong, Hye-In, and You Hoon Jeon. 2025. "Clinical Characteristics of Infants Under Two Years of Age with Early Sensitization to House Dust Mites" Journal of Clinical Medicine 14, no. 18: 6587. https://doi.org/10.3390/jcm14186587
APA StyleJeong, H.-I., & Jeon, Y. H. (2025). Clinical Characteristics of Infants Under Two Years of Age with Early Sensitization to House Dust Mites. Journal of Clinical Medicine, 14(18), 6587. https://doi.org/10.3390/jcm14186587

