A Substance-Based Medical Device for Managing Hemorrhoidal Disease: Output from a Cross-Sectional Survey
Abstract
1. Introduction
2. Materials and Methods
2.1. Product
2.2. Survey Research Design
- Effectiveness of the device in the treatment of HD (both internal and external) and their symptoms, such as anal and perianal pain, burning and itching.
- Evaluation of satisfaction levels associated with its use.
- Safety and tolerability.
- Quality of life (QoL).
- Compliance with the dosage suggested by the product.
- Concomitant treatments.
- Conditions for which the product was used/prescribed.
- Improvement and timing of problem resolution.
- Clarity of information.
2.3. Sample Size
2.4. Ordinal Likert Scale Data Trasformation and Quantitative Analysis
2.5. Descriptive Analysis
3. Results
3.1. Participants in the Survey
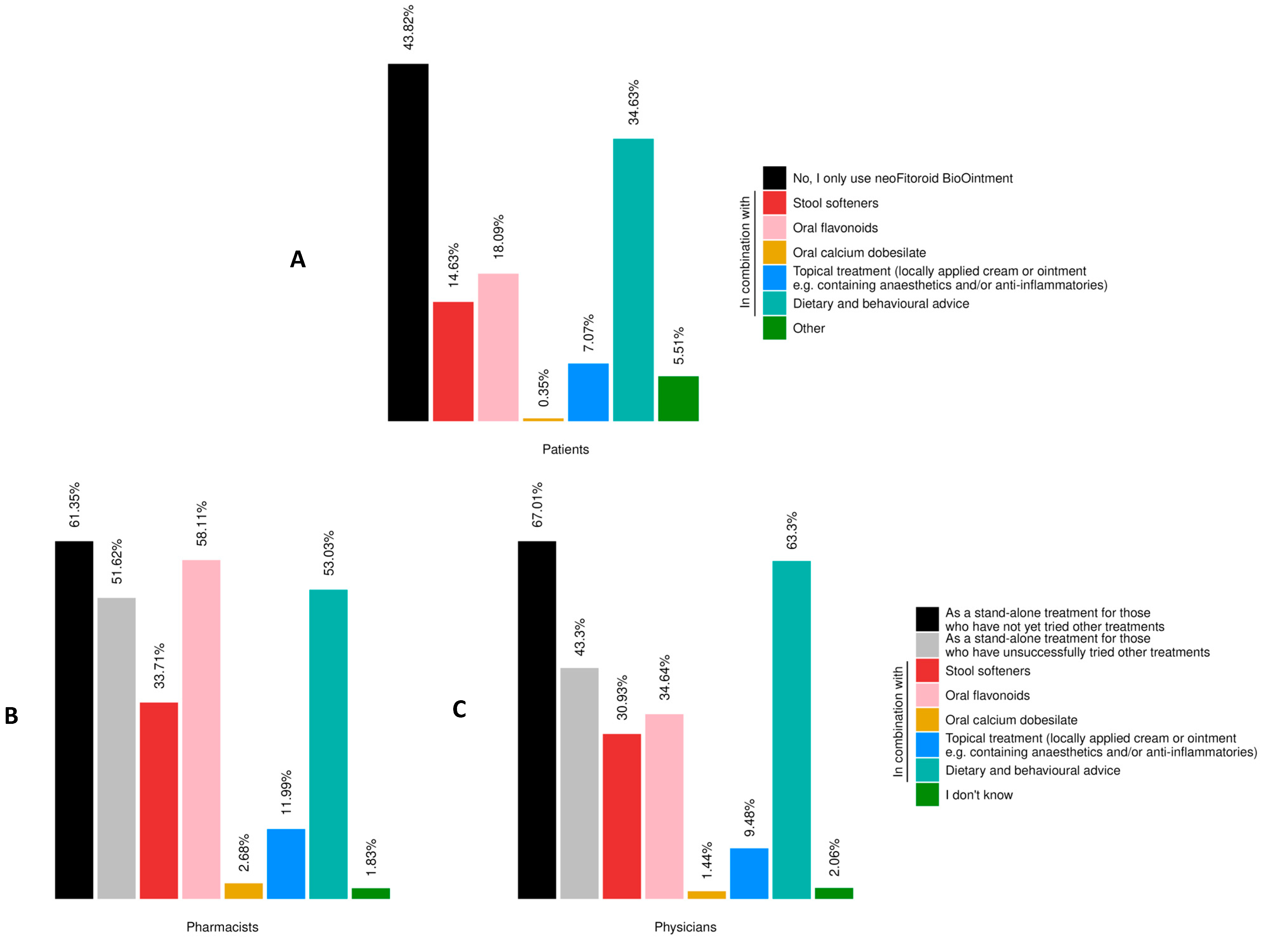
3.2. Condition of Use
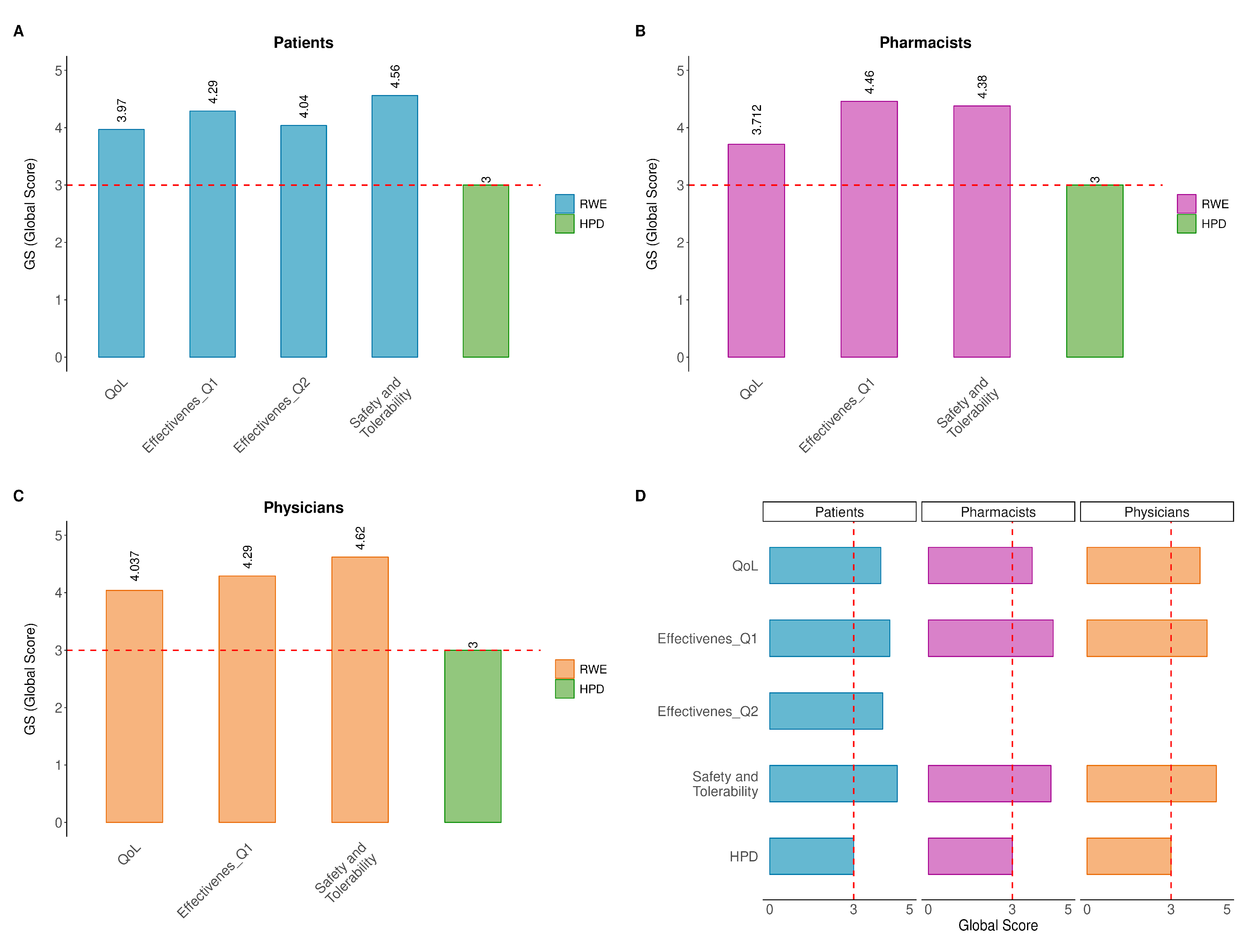
3.3. Effectiveness
3.4. Safety and Tolerability
3.5. Quality of Life
3.6. Concomitant Treatments
3.7. Quantitative Analyses
4. Discussion
5. Conclusions
Author Contributions
Funding
Institutional Review Board Statement
Informed Consent Statement
Data Availability Statement
Conflicts of Interest
References
- Wang, L.; Ni, J.; Hou, C.; Wu, D.; Sun, L.; Jiang, Q.; Cai, Z.; Fan, W. Time to Change? Present and Prospects of Hemorrhoidal Classification. Front. Med. 2023, 10, 1252468. [Google Scholar] [CrossRef]
- Gallo, G.; Martellucci, J.; Sturiale, A.; Clerico, G.; Milito, G.; Marino, F.; Cocorullo, G.; Giordano, P.; Mistrangelo, M.; Trompetto, M. Consensus Statement of the Italian Society of Colorectal Surgery (SICCR): Management and Treatment of Hemorrhoidal Disease. Tech. Coloproctology 2020, 24, 145–164. [Google Scholar] [CrossRef]
- Abramowitz, L.; Benabderrahmane, M.; Pospait, D.; Philip, J.; Laouénan, C. The Prevalence of Proctological Symptoms amongst Patients Who See General Practitioners in France. Eur. J. Gen. Pract. 2014, 20, 301–306. [Google Scholar] [CrossRef]
- Cengiz, T.B.; Gorgun, E. Hemorrhoids: A Range of Treatments. Cleve. Clin. J. Med. 2019, 86, 612–620. [Google Scholar] [CrossRef] [PubMed]
- Acheson, A.G.; Scholefield, J.H. Management of Haemorrhoids. BMJ 2008, 336, 380–383. [Google Scholar] [CrossRef]
- Lohsiriwat, V. Hemorrhoids: From Basic Pathophysiology to Clinical Management. World J. Gastroenterol. 2012, 18, 2009–2017. [Google Scholar] [CrossRef] [PubMed]
- Lee, M.-L.; Kao, Y.-W.; Yang, Y.-T.; Chen, M.-C.; Shia, B.-C.; Huang, S.-Y.; Lee, P.-S.; Chen, T.-H.; Huang, Y.-J.; Chiu, W.-C. The Bidirectional Association between Hemorrhoidal Disease and Varicose Veins: A Nationwide Population-Based Cohort Study. Int. J. Colorectal Dis. 2025, 40, 91. [Google Scholar] [CrossRef] [PubMed]
- Fišere, I.; Groma, V.; Svirskis, Š.; Strautmane, E.; Gardovskis, A. Evaluation of Clinical Manifestations of Hemorrhoidal Disease, Carried Out Surgeries and Prolapsed Anorectal Tissues: Associations with ABO Blood Groups of Patients. J. Clin. Med. 2023, 12, 5119. [Google Scholar] [CrossRef]
- Margetis, N. Pathophysiology of Internal Hemorrhoids. Ann. Gastroenterol. 2019, 32, 1–9. [Google Scholar] [CrossRef]
- Banov, L.; Knoepp, L.F.; Erdman, L.H.; Alia, R.T. Management of Hemorrhoidal Disease. J. S. C. Med. Assoc. 1975 1985, 81, 398–401. [Google Scholar]
- Mounsey, A.L.; Halladay, J.; Sadiq, T.S. Hemorrhoids. Am. Fam. Physician 2011, 84, 204–210. [Google Scholar]
- Alonso-Coello, P.; Lopez-Yarto, M. Laxatives and Topical Treatments for Hemorrhoids. In Cochrane Database of Systematic Reviews; The Cochrane Collaboration, Ed.; John Wiley & Sons, Ltd: Chichester, UK, 2003; p. 004649. [Google Scholar]
- Shafik, A. Role of Warm-Water Bath in Anorectal Conditions. J. Clin. Gastroenterol. 1993, 16, 304–308. [Google Scholar] [CrossRef] [PubMed]
- Schubert, M.C.; Sridhar, S.; Schade, R.R.; Wexner, S.D. What Every Gastroenterologist Needs to Know about Common Anorectal Disorders. World J. Gastroenterol. 2009, 15, 3201–3209. [Google Scholar] [CrossRef] [PubMed]
- Sheikh, P.; Lohsiriwat, V.; Shelygin, Y. Micronized Purified Flavonoid Fraction in Hemorrhoid Disease: A Systematic Review and Meta-Analysis. Adv. Ther. 2020, 37, 2792–2812. [Google Scholar] [CrossRef] [PubMed]
- Caetano, A.C.; Cunha, C.; Arroja, B.; Costa, D.; Rolanda, C. Role of a Micronized Purified Flavonoid Fraction as an Adjuvant Treatment to Rubber Band Ligation for the Treatment of Patients With Hemorrhoidal Disease: A Longitudinal Cohort Study. Ann. Coloproctology 2019, 35, 306–312. [Google Scholar] [CrossRef] [PubMed]
- Chiaretti, M.; Fegatelli, D.A.; Pappalardo, G.; Venti, M.D.S.; Chiaretti, A.I. Comparison of Centella with Flavonoids for Treatment of Symptoms in Hemorrhoidal Disease and After Surgical Intervention: A Randomized Clinical Trial. Sci. Rep. 2020, 10, 8009. [Google Scholar] [CrossRef] [PubMed]
- Godeberge, P.; Sheikh, P.; Lohsiriwat, V.; Jalife, A.; Shelygin, Y. Micronized Purified Flavonoid Fraction in the Treatment of Hemorrhoidal Disease. J. Comp. Eff. Res. 2021, 10, 801–813. [Google Scholar] [CrossRef]
- Gravina, A.G.; Pellegrino, R.; Facchiano, A.; Palladino, G.; Loguercio, C.; Federico, A. Evaluation of the Efficacy and Safety of a Compound of Micronized Flavonoids in Combination with Vitamin C and Extracts of Centella Asiatica, Vaccinium Myrtillus, and Vitis Vinifera for the Reduction of Hemorrhoidal Symptoms in Patients with Grade II and III Hemorrhoidal Disease: A Retrospective Real-Life Study. Front. Pharmacol. 2021, 12, 773320. [Google Scholar] [CrossRef]
- Razdar, S.; Panahi, Y.; Mohammadi, R.; Khedmat, L.; Khedmat, H. Evaluation of the Efficacy and Safety of an Innovative Flavonoid Lotion in Patients with Haemorrhoid: A Randomised Clinical Trial. BMJ Open Gastroenterol. 2023, 10, e001158. [Google Scholar] [CrossRef]
- Changazi, S.H.; Bhatti, S.; Choudary, A.; Rajput, M.N.A.; Iqbal, Z.; Ahmed, Q.A. Calcium Dobesilate Versus Flavonoids for the Treatment of Early Hemorrhoidal Disease: A Randomized Controlled Trial. Cureus 2020, 12, e9845. [Google Scholar] [CrossRef]
- Mustafa, S.; Akbar, M.; Khan, M.A.; Sunita, K.; Parveen, S.; Pawar, J.S.; Massey, S.; Agarwal, N.R.; Husain, S.A. Plant Metabolite Diosmin as the Therapeutic Agent in Human Diseases. Curr. Res. Pharmacol. Drug Discov. 2022, 3, 100122. [Google Scholar] [CrossRef]
- Kunc, N.; Frlan, A.; Baričevič, D.; Kočevar Glavač, N.; Kokalj Ladan, M. Essential Oil and Hydrosol Composition of Immortelle (Helichrysumitalicum). Plants 2022, 11, 2573. [Google Scholar] [CrossRef] [PubMed]
- Zheljazkov, V.D.; Semerdjieva, I.; Yankova-Tsvetkova, E.; Astatkie, T.; Stanev, S.; Dincheva, I.; Kačániová, M. Chemical Profile and Antimicrobial Activity of the Essential Oils of Helichrysum Arenarium (L.) Moench. and Helichrysum Italicum (Roth.) G. Don. Plants 2022, 11, 951. [Google Scholar] [CrossRef] [PubMed]
- Available online: https://www.aboca.com/product/neofitoroid-bioointment/ (accessed on 21 July 2025).
- Mariangela, P.; Silvio, L.; Lorenzo, G.; Laura, V.; Gilberto, P. Prospective Interventional Study to Evaluate the Effect of a Medical Device Made of Substances in Reducing Signs and Symptoms in Patients with Hemorrhoidal Disease. Ann. Clin. Lab. Res. 2021, 9, 345. [Google Scholar]
- Regulation (EU) 2017/745 of the European Parliament and of the Council of 5 April 2017 on Medical Devices, Amending Directive 2001/83/EC, Regulation (EC) No 178/2002 and Regulation (EC) No 1223/2009 and Repealing Council Directives 90/385/EEC and 93/42/EEC (Text with EEA Relevance) Text with EEA Relevance [Internet]. Available online: http://data.europa.eu/eli/reg/2017/745/2023-03-20 (accessed on 10 July 2025).
- Cioeta, R.; Cossu, A.; Giovagnoni, E.; Rigoni, M.; Muti, P. A New Platform for Post-Marketing Surveillance and Real-World Evidence Data Collection for Substance-Based Medical Devices. Front. Drug Saf. Regul. 2022, 2, 992359. [Google Scholar] [CrossRef]
- Cioeta, R.; Muti, P.; Rigoni, M.; Morlando, L.; Siragusa, F.; Cossu, A.; Giovagnoni, E. Effectiveness and Tolerability of Poliprotect, a Natural Mucosal Protective Agent for Gastroesophageal Reflux Disease and Dyspepsia: Surveys from Patients, Physicians, and Pharmacists. Front. Drug Saf. Regul. 2022, 2, 969831. [Google Scholar] [CrossRef]
- Johanson, J.F.; Sonnenberg, A. The Prevalence of Hemorrhoids and Chronic Constipation. Gastroenterology 1990, 98, 380–386. [Google Scholar] [CrossRef]
- Picciariello, A.; Rinaldi, M.; Grossi, U.; Verre, L.; De Fazio, M.; Dezi, A.; Tomasicchio, G.; Altomare, D.F.; Gallo, G. Management and Treatment of External Hemorrhoidal Thrombosis. Front. Surg. 2022, 9, 898850. [Google Scholar] [CrossRef]
- Van Tol, R.R.; Kleijnen, J.; Watson, A.J.M.; Jongen, J.; Altomare, D.F.; Qvist, N.; Higuero, T.; Muris, J.W.M.; Breukink, S.O. European Society of ColoProctology: Guideline for Haemorrhoidal Disease. Colorectal Dis. 2020, 22, 650–662. [Google Scholar] [CrossRef]
- Lohsiriwat, V.; Sheikh, P.; Bandolon, R.; Ren, D.-L.; Roslani, A.C.; Schaible, K.; Freitag, A.; Martin, M.; Yaltirik, P.; Godeberge, P. Recurrence Rates and Pharmacological Treatment for Hemorrhoidal Disease: A Systematic Review. Adv. Ther. 2023, 40, 117–132. [Google Scholar] [CrossRef]
- Jaksa, A.; Arena, P.J.; Hanisch, M.; Marsico, M. Use of Real-World Evidence in Health Technology Reassessments Across 6 Health Technology Assessment Agencies. Value Health 2025, 28, 898–906. [Google Scholar] [CrossRef]
- Hankosky, E.R.; Desai, K.; Chinthammit, C.; Grabner, M.; Stockbower, G.; He, X.; Mojdami, D.; Wenziger, C.; Gibble, T.H. Real-World Use and Effectiveness of Tirzepatide among People without Evidence of Type 2 Diabetes in the United States. Diabetes Metab. 2025, 51, 101636. [Google Scholar] [CrossRef]
- Hou, M.; Tang, S.; Zhang, F.; Fu, S.; Ding, H.; Cha, Y.; Ma, X.; Shi, Y.; Cai, Y. Chemical Exposure in Females of Childbearing Age Associated with Sex Hormones: Evidence from an Untargeted Exposomic Approach. Environ. Int. 2025, 197, 109362. [Google Scholar] [CrossRef]








| Group | Mean | SD | N |
|---|---|---|---|
| Patients | 4.215 | 0.268 | 4 |
| Pharmacists | 4.184 | 0.292 | 3 |
| Physicians | 4.316 | 0.411 | 3 |
Disclaimer/Publisher’s Note: The statements, opinions and data contained in all publications are solely those of the individual author(s) and contributor(s) and not of MDPI and/or the editor(s). MDPI and/or the editor(s) disclaim responsibility for any injury to people or property resulting from any ideas, methods, instructions or products referred to in the content. |
© 2025 by the authors. Licensee MDPI, Basel, Switzerland. This article is an open access article distributed under the terms and conditions of the Creative Commons Attribution (CC BY) license (https://creativecommons.org/licenses/by/4.0/).
Share and Cite
Cioeta, R.; Muti, P.; Rigoni, M.; La Salvia, R.; Gabriele, E.; Cossu, A.; Giovagnoni, E. A Substance-Based Medical Device for Managing Hemorrhoidal Disease: Output from a Cross-Sectional Survey. J. Clin. Med. 2025, 14, 6069. https://doi.org/10.3390/jcm14176069
Cioeta R, Muti P, Rigoni M, La Salvia R, Gabriele E, Cossu A, Giovagnoni E. A Substance-Based Medical Device for Managing Hemorrhoidal Disease: Output from a Cross-Sectional Survey. Journal of Clinical Medicine. 2025; 14(17):6069. https://doi.org/10.3390/jcm14176069
Chicago/Turabian StyleCioeta, Roberto, Paola Muti, Marta Rigoni, Roberta La Salvia, Elena Gabriele, Andrea Cossu, and Emiliano Giovagnoni. 2025. "A Substance-Based Medical Device for Managing Hemorrhoidal Disease: Output from a Cross-Sectional Survey" Journal of Clinical Medicine 14, no. 17: 6069. https://doi.org/10.3390/jcm14176069
APA StyleCioeta, R., Muti, P., Rigoni, M., La Salvia, R., Gabriele, E., Cossu, A., & Giovagnoni, E. (2025). A Substance-Based Medical Device for Managing Hemorrhoidal Disease: Output from a Cross-Sectional Survey. Journal of Clinical Medicine, 14(17), 6069. https://doi.org/10.3390/jcm14176069

