The Importance of Hemostasis on Long-Term Cardiovascular Outcomes in STEMI Patients—A Prospective Pilot Study
Abstract
1. Introduction
2. Methods
2.1. Study Design and Population
2.2. Methods
2.3. Statistical Analysis
3. Results
3.1. Study Population
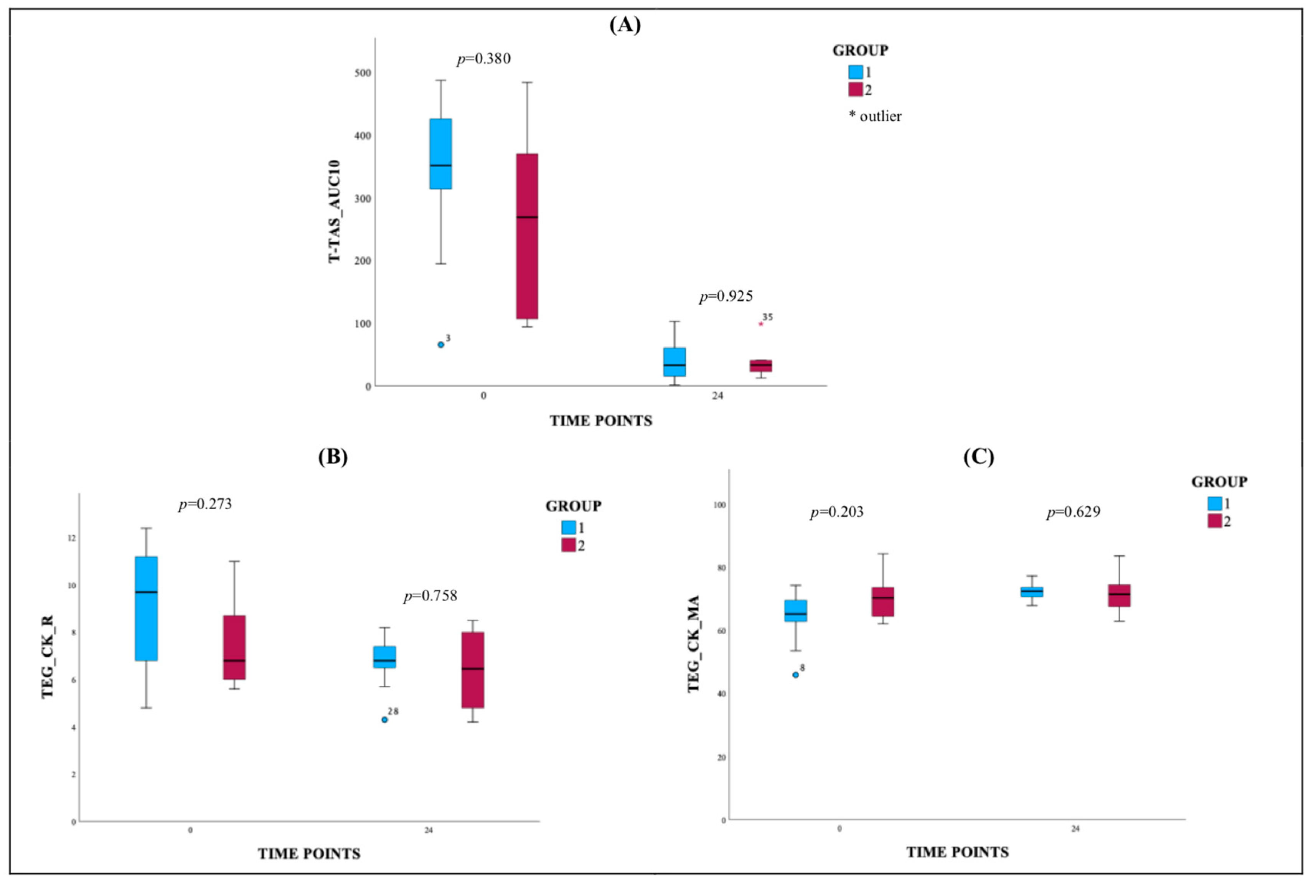
3.2. Pharmacodynamic
3.3. Laboratory Analysis
3.4. Correlations
3.5. Kaplan–Meier Survival Analysis
4. Discussion
Study Limitations
5. Conclusions
Author Contributions
Funding
Institutional Review Board Statement
Informed Consent Statement
Data Availability Statement
Acknowledgments
Conflicts of Interest
Abbreviations
| ACS | acute coronary syndrome |
| ADP | adenosine diphosphate |
| ALT | alanine transaminase |
| AMI | acute myocardial infarction |
| APTT | activated partial thromboplastin time |
| AST | aspartate transferase |
| AUC10 | area under the pressure–time curve for 10 min, PL chip for T-TAS® |
| BMI | body mass index |
| BNP | B-type natriuretic peptide |
| BUN | blood urea nitrogen |
| CABG | coronary artery bypass graft |
| CK | kaolin test |
| CRP | C-reactive protein |
| CYP3A | cytochrome P4503A |
| DAPT | dual antiplatelet therapy |
| ESC | European Society of Cardiology |
| HCT | hematocrit test |
| HDL | high-density lipoprotein |
| HGB | hemoglobin test |
| HPR | high platelet reactivity |
| hsTnI | high-sensitivity troponin I |
| K | kinetics |
| LDL | low-density lipoprotein |
| MA | maximum amplitude |
| MACE | major adverse cardiovascular events |
| MCH | mean corpuscular hemoglobin |
| MCHC | mean corpuscular hemoglobin concentration |
| MCV | mean corpuscular volume |
| MDRD | modification of diet in renal disease |
| MI | myocardial infarction |
| MPV | mean platelet volume |
| MRI | magnetic resonance imaging |
| NSTEMI | non-ST-elevation myocardial infarction |
| NYHA | New York Heart Association Classification |
| PCI | percutaneous coronary intervention |
| PCSK9 | proprotein convertase subtilisin/kexin type 9 |
| PCT | platelecrit |
| PDW | platelet distribution width |
| P-LCR | platelet–large cell ratio |
| PLT | platelet count |
| PT | prothrombin time |
| PT-INR | prothrombin time–international normalized ratio |
| R | reaction time |
| RBC | red blood cell |
| RDW-CV | red cell distribution width-coefficient of variation |
| RDW-SD | red cell distribution width-standard deviation |
| SD | standard deviation |
| SGLT2i | sodium-glucose co-transporter 2 inhibitors |
| STEMI | ST-segment elevation myocardial infarction |
| TEG | thromboelastography |
| T-TAS | Total Thrombus Formation Analysis System® |
| U | units |
| UA | unstable angina |
| WBC | white blood cell |
| vWF | von Willebrand factor |
References
- Thygesen, K.; Alpert, J.S.; Jaffe, A.S.; Simoons, M.L.; Chaitman, B.R.; White, H.D.; Writing Group on the Joint ESC/ACCF/AHA/WHF Task Force for the Universal Definition of Myocardial Infarction. Third universal definition of myocardial infarction. Eur. Heart J. 2012, 33, 2551–2567. [Google Scholar] [CrossRef] [PubMed]
- Steg, P.G.; James, S.K.; Atar, D.; Badano, L.P.; Lundqvist, C.B.; Borger, M.A.; Di Mario, C.; Dickstein, K.; Ducrocq, G.; Fernandez-Aviles, F.; et al. ESC guidelines for the management of acute myocardial infarction in patients presenting with ST-segment elevation. Eur. Heart J. 2012, 33, 2569–2619. [Google Scholar] [CrossRef]
- Frantz, S.; Bauersachs, J.; Ertl, G. Post-infarct remodelling: Contribution of wound healing and inflammation. Cardiovasc. Res. 2009, 81, 474–481. [Google Scholar] [CrossRef]
- Qu, C.; Li, X.; Gao, H. The impact of systemic inflammation response index on the prognosis of patients with ST-segment elevation myocardial infarction undergoing percutaneous coronary intervention. Rev. Cardiovasc. Med. 2023, 24, 153. [Google Scholar] [CrossRef]
- Adamski, P.; Adamska, U.; Ostrowska, M.; Koziński, M.; Kubica, J. New directions for pharmacotherapy in the treatment of acute coronary syndrome. Expert Opin. Pharmacother. 2016, 17, 2291–2306. [Google Scholar] [CrossRef]
- Aradi, D.; Kirtane, A.; Bonello, L.; Gurbel, P.A.; Tantry, U.S.; Huber, K.; Freynhofer, M.K.; ten Berg, J.; Janssen, P.; Angiolillo, D.J.; et al. Bleeding and stent thrombosis on P2Y12-inhibitors: Collaborative analysis on the role of platelet reactivity for risk stratification after percutaneous coronary intervention. Eur. Heart J. 2015, 36, 1762–1771. [Google Scholar] [CrossRef]
- Davi, G.; Patrono, C. Platelet activation and atherothrombosis. N. Engl. J. Med. 2007, 357, 2482–2494. [Google Scholar] [CrossRef] [PubMed]
- Varga-Szabo, D.; Pleines, I.; Nieswandt, B. Cell adhesion mechanisms in platelets. Arterioscler. Thromb. Vasc. Biol. 2008, 28, 403–412. [Google Scholar] [CrossRef]
- Raju, N.C.; Eikelboom, J.W.; Hirsh, J. Platelet ADP-receptor antagonists for cardiovascular disease: Past, present and future. Nat. Clin. Pract. Cardiovasc. Med. 2008, 5, 766–780. [Google Scholar] [CrossRef] [PubMed]
- Falk, E.; Nakano, M.; Bentzon, J.F.; Finn, A.V.; Virmani, R. Update on acute coronary syndromes: The pathologists’ view. Eur. Heart J. 2013, 34, 719–728. [Google Scholar] [CrossRef]
- Scridon, A. Platelets and their role in hemostasis and thrombosis—From physiology to pathophysiology and therapeutic implications. Int. J. Mol. Sci. 2022, 23, 12772. [Google Scholar] [CrossRef]
- Doost Hosseiny, A.; Moloi, S.; Chandrasekhar, J.; Farshid, A. Mortality pattern and cause of death in a long-term follow-up of patients with STEMI treated with primary PCI. Open Heart 2016, 3, e000405. [Google Scholar] [CrossRef]
- Ilnicka, N.; Zuziak, P.; Sadlik, M.; Matyja, D.; Abod, L. The wind of change—PCSK9 inhibitors in hypolipidemic treatment. The Polish perspective. J. Educ. Health Sport 2023, 15, 134–150. [Google Scholar] [CrossRef]
- Zijlstra, L.E.; Mooijaart, S.P.; Jukema, J.W. PCSK9 inhibition in high-risk patients. Aging 2019, 11, 10791–10792. [Google Scholar] [CrossRef] [PubMed]
- Valley, T.S.; Iwashyna, T.J.; Cooke, C.R.; Sinha, S.S.; Ryan, A.M.; Yeh, R.W.; Nallamothu, B.K. Intensive care use and mortality among patients with ST elevation myocardial infarction: Retrospective cohort study. BMJ 2019, 365, l1927. [Google Scholar] [CrossRef]
- Kanic, V.; Suran, D.; Krajnc, I.; Kompara, G. ST-elevation myocardial infarction in a real world population—An observational retrospective study with a sex perspective. Eur. J. Intern. Med. 2019, 66, 81–84. [Google Scholar] [CrossRef] [PubMed]
- Klancik, V.; Pesl, L.; Neuberg, M.; Tousek, P.; Kocka, V. Long-term follow-up in patients with ST-segment elevation myocardial infarction who underwent primary percutaneous coronary intervention. Eur. Heart J. Suppl. 2022, 24 (Suppl. B), B16–B22. [Google Scholar] [CrossRef]
- Spadafora, L.; Betti, M.; D’Ascenzo, F.; De Ferrari, G.; De Filippo, O.; Gaudio, C.; Collet, C.; Sabouret, P.; Agostoni, P.; Zivelonghi, C.; et al. Impact of in-hospital bleeding on postdischarge therapies and prognosis in acute coronary syndromes. J. Cardiovasc. Pharmacol. 2025, 85, 322–328. [Google Scholar] [CrossRef] [PubMed]
- Yamashita, Y.; Shiomi, H.; Morimoto, T.; Yaku, H.; Furukawa, Y.; Nakagawa, Y.; Ando, K.; Kadota, K.; Abe, M.; Nagao, K. Cardiac and noncardiac causes of long-term mortality in ST-segment-elevation acute myocardial infarction patients who underwent primary percutaneous coronary intervention. Circ. Cardiovasc. Qual. Outcomes 2017, 10, e002. [Google Scholar] [CrossRef]
- Fabris, E.; Korjian, S.; Coller, B.S.; Ten Berg, J.M.; Granger, C.B.; Gibson, C.M.; van ‘t Hof, A.W.J. Pre-hospital antiplatelet therapy for STEMI patients undergoing primary percutaneous coronary intervention: What we know and what lies ahead. Thromb. Haemost. 2021, 121, 1562–1573. [Google Scholar] [CrossRef]
- Hermanides, R.S.; Kilic, S.; van ‘t Hof, A.W.J. Optimal pharmacological therapy in ST-elevation myocardial infarction—A review: A review of antithrombotic therapies in STEMI. Neth. Heart J. 2018, 26, 296–310. [Google Scholar] [CrossRef]
- Willeit, P.; Lowe, G.D.O.; Rumley, A.; Eiriksdottir, G.; Lowe, G.; Gudnason, V.; Di Angelantonio, E.; Stoll, M. Hemostatic factors and risk of coronary heart disease in general populations: New prospective study and updated meta-analyses. PLoS ONE 2013, 8, e55175. [Google Scholar] [CrossRef]
- Baaten, C.C.F.M.J.; Nagy, M.; Bergmeier, W.; Spronk, H.M.H.; van der Meijden, P.E.J. Platelet biology and function: Plaque erosion vs. rupture. Eur. Heart J. 2024, 45, 18–31. [Google Scholar] [CrossRef]
- Gauer, J.S.; Duval, C.; Xu, R.G.; Macrae, F.L.; McPherson, H.R.; Tiede, C.; Tomlinson, D.; Watson, S.P.; Ariëns, R.A.S. Fibrin-glycoprotein VI interaction increases platelet procoagulant activity and impacts clot structure. J. Thromb. Haemost. 2023, 21, 667–681. [Google Scholar] [CrossRef] [PubMed]
- Westein, E.; van der Meer, A.D.; Kuijpers, M.J.; Frimat, J.P.; van den Berg, A.; Heemskerk, J.W. Atherosclerotic geometries exacerbate pathological thrombus formation post-stenosis in a von Willebrand factor-dependent manner. Proc. Natl. Acad. Sci. USA 2013, 110, 1357–1362. [Google Scholar] [CrossRef]
- Eitel, I.; de Waha, S.; Wöhrle, J.; Fuernau, G.; Lurz, P.; Pauschinger, M.; Desch, S.; Schuler, G.; Thiele, H. Comprehensive prognosis assessment by CMR imaging after ST-segment elevation myocardial infarction. J. Am. Coll. Cardiol. 2014, 64, 1217–1226. [Google Scholar] [CrossRef] [PubMed]
- Shah, B.; Baber, U.; Pocock, S.J.; Krucoff, M.; Aquino, M.; Henry, T.; Gibson, C.M.; Moliterno, D.; Steg, P.G.; Stuckey, T.; et al. White blood cell count and major adverse cardiovascular events after percutaneous coronary intervention in the contemporary era: Insights from the PARIS Study. Circ. Cardiovasc. Interv. 2017, 10, e004981. [Google Scholar] [CrossRef] [PubMed]
- Palmerini, T.; Brener, S.J.; Genereux, P.; Maehara, A.; Della Riva, D.; Mariani, A.; Witzenbichler, B.; Godlewski, J.; Parise, H.; Dambrink, J.H.; et al. Relation between white blood cell count and final infarct size in patients with ST-segment elevation acute myocardial infarction undergoing primary percutaneous coronary intervention (from the INFUSE AMI trial). Am. Heart J. 2013, 112, 1860–1866. [Google Scholar] [CrossRef]
- Rott, D.; Klempfner, R.; Goldenberg, I.; Leibowitz, D. Cholesterol levels decrease soon after acute myocardial infarction. Isr. Med. Assoc. J. 2015, 17, 370–373. [Google Scholar]
- Gruber, A.; Smith, R.; Barker, B.; Sithole, J.; Thomson, G.; Idris, I. Serum urea and total cholesterol independently predict re-hospitalisation with a cardiac-related event following an acute ST-elevation myocardial infarction. Eur. J. Intern. Med. 2007, 18, 531–534. [Google Scholar] [CrossRef]
- Bulnes, J.F.; González, L.; Velásquez, L.; Orellana, M.P.; Venturelli, P.M.; Martínez, G. Role of inflammation and evidence for the use of colchicine in patients with acute coronary syndrome. Front. Cardiovasc. Med. 2024, 11, 1356023. [Google Scholar] [CrossRef] [PubMed]
- Everett, B.; MacFadyen, J.; Thuren, T.; Libby, P.; Glynn, R.J.; Ridker, P.M. Inhibition of Interleukin-1β and reduction in atherothrombotic cardiovascular events in the CANTOS trial. JACC 2020, 76, 1660–1670. [Google Scholar] [CrossRef]
- Tardif, J.-C.; Kouz, S.; Waters, D.D.; Bertrand, O.F.; Diaz, R.; Maggioni, A.P.; Pinto, F.J.; Ibrahim, R.; Gamra, H.; Kiwan, G.S.; et al. Efficacy and safety of low-dose colchicine after myocardial infarction. N. Engl. J. Med. 2019, 381, 2497–2505. [Google Scholar] [CrossRef]
- Ibáñez, B.; James, S.; Agewall, S.; Antunes, M.J.; Bucciarelli-Ducci, C.; Bueno, H.; Caforio, A.L.P.; Crea, F.; Goudevenos, J.A.; Halvorsen, S.; et al. 2017 ESC Guidelines for the management of acute myocardial infarction in patients presenting with ST-segment elevation. Eur. Heart J. 2018, 39, 119–177. [Google Scholar] [CrossRef]
- Serebruany, V.L.; Cherepanov, V.; Tomek, A.; Kim, M.H. Among antithrombotic agents, prasugrel, but not ticagrelor, is associated with reduced 30-day mortality in patients with ST-elevated myocardial infarction. Int. J. Cardiol. 2015, 195, 104–110. [Google Scholar] [CrossRef] [PubMed]
- Vaduganathan, M.; Docherty, K.F.; Claggett, B.L.; Jhund, P.S.; A de Boer, R.; Hernandez, A.F.; E Inzucchi, S.; Kosiborod, M.N.; Lam, C.S.P.; Martinez, F.; et al. SGLT2 inhibitors in patients with heart failure: A comprehensive meta-analysis of five randomised controlled trials. Lancet 2022, 400, 757–767. [Google Scholar] [CrossRef] [PubMed]






| Inclusion criteria |
| Men or non-pregnant women, aged 18–80 years |
| Provision of informed consent prior to any study-specific procedures |
| Exclusion criteria |
| Treatment with ticlopidine, clopidogrel, prasugrel, or ticagrelor within 14 days before the study enrolment |
| Current treatment with oral anticoagulant or chronic therapy with low-molecular-weight heparin |
| Active bleeding |
| History of intracranial hemorrhage |
| Recent gastrointestinal bleeding (within 30 days) |
| History of coagulation disorders |
| Platelet count less than <100 × 103/mcL |
| Hemoglobin concentration less than 10.0 g/dL |
| History of moderate or severe hepatic impairment |
| History of major surgery or severe trauma (within 3 months) |
| Kidney disease requiring dialysis |
| Respiratory failure |
| History of severe chronic heart failure (NYHA class III or IV) |
| Concomitant therapy with strong CYP3A inhibitors (ketoconazole, itraconazole, voriconazole, telithromycin, clarithromycin, nefazadone, ritonavir, saquinavir, nelfinavir, indinavir, atazanavir) or strong CYP3A inducers (rifampicin, phenytoin, carbamazepine, dexamethasone, phenobarbital) within 14 days and during study treatment |
| Variable | STEMI Patients (n = 19) | ||
|---|---|---|---|
| Group 1 (n = 13) [%] | Group 2 (n = 6) [%] | p-Value | |
| Male | 61.5 | 83.3 | 0.605 |
| Age in years | 62.6 * | 63.5 * | 0.454 |
| BMI in kg/m2 | 27.9 * | 27.5 * | 0.792 |
| Hypertension | 61.5 | 61.5 | 0.620 |
| Active bleeding | 0 | 0 | - |
| History of transient ischemic attack | 0 | 0 | - |
| Chronic kidney disease | 0 | 0 | - |
| Hyperlipidaemia | 45.5 | 0 | 0.487 |
| Current smoker | 80.0 | 83.3 | 1.000 |
| History of smoking | 23.1 | 0 | 0.517 |
| Diabetes | 33.3 | 0 | 0.509 |
| Total cholesterol [mg/dL] | 232.9 * | 215.7 * | 0.483 |
| Cholesterol HDL [mg/dL] | 55.4 * | 47.2 * | 0.114 |
| Triglycerides [mg/dL] | 103.1 * | 113.2 * | 0.693 |
| Direct LDL cholesterol [mg/dL] | 161.9 * | 151.3 * | 0.599 |
| antigen-HCV | negative | negative | |
| antigen-HBs | negative | negative | |
| ALT [U/L] | 28.4 * | 23.0 * | 0.655 |
| AST [U/L] | 39.0 * | 24.0 * | 0.653 |
| Data | STEMI Patient [mean ± SD] | |||||
|---|---|---|---|---|---|---|
| 0 h | 24 h | |||||
| Group 1 (n = 13) | Group 2 (n = 6) | p-Value | Group 1 (n = 13) | Group 2 (n = 6) | p-Value | |
| TEG_CK_R [min] | 9.0000 ± 2.80 | 7.4833 ± 2.03 | 0.273 | 6.7846 ± 0.98 | 6.4000 ± 1.73 | 0.758 |
| TEG_CK_K [min] | 2.4077 ± 0.68 | 2.0500 ± 0.94 | 0.201 | 1.7385 ± 0.29 | 1.7667 ± 0.44 | 0.532 |
| TEG_CK_MA [mm] | 64.4231 ± 7.89 | 70.8500 ± 7.84 | 0.203 | 72.4769 ± 2.62 | 71.9167 ± 7.04 | 0.629 |
| T-TAS_AUC10 | 339.0538 ± 123.03 | 265.6000 ± 157.25 | 0.380 | 41.1750 ± 33.16 | 40.1833 ± 30.53 | 0.925 |
| STEMI Patient [mean ± SD] | p-Value a | p-Value b | ||||||||||
|---|---|---|---|---|---|---|---|---|---|---|---|---|
| 0 h | 24 h | Follow Up | ||||||||||
| Biochemical Data | Reference Range | Group 1 (n = 13) | Group 2 (n = 6) | p-Value | Group 1 (n = 13) | Group 2 (n = 6) | p-Value | Group 1 (n = 13) | Group 2 (n = 6) | p-Value | ||
| WBC [103/μL] | 4.23–9.07 | 11.46 ± 2.54 | 11.24 ± 4.72 | 0.430 | 10.74 ± 2.83 | 13.27 ± 7.60 | 0.629 | 9.49 ± 1.58 | 7.88 ± 2.72 | 0.108 | 0.002 | 0.015 |
| RBC [106/μL] | 4.63–6.08 | 4.71 ± 0.48 | 4.66 ± 0.51 | 0.861 | 4.35 ± 0.38 | 4.62 ± 0.37 | 0.532 | 4.07 ± 0.42 | 4.33 ± 0.39 | 0.421 | <0.001 | 0.165 |
| HGB [g/dL] | 13.7–17.5 | 14.5 ± 1.38 | 14.5 ± 1.65 | 0.965 | 13.4 ± 1.01 | 14.1 ± 1.22 | 0.054 | 12.4 ± 1.17 | 13.4 ± 1.04 | 0.145 | <0.001 | 0.091 |
| HCT [%] | 40.01–51.0 | 42.93 ± 4.03 | 42.92 ± 5.14 | 0.661 | 39.57 ± 2.95 | 42.10 ± 3.47 | 0.041 | 37.37 ± 3.21 | 39.67 ± 3.34 | 0.315 | <0.001 | 0.022 |
| MCV [fl] | 79.0–92.2 | 91.3 ± 3.60 | 92.1 ± 3.37 | 0.599 | 91.1 ± 3.14 | 91.3 ± 4.48 | 0.910 | 91.9 ± 4.15 | 88.0 ± 2.52 | 0.161 | 0.236 | 0.223 |
| MCH [pg] | 25.7–32.2 | 30.8 ± 0.93 | 31.1 ± 1.51 | 0.508 | 30.7 ± 0.85 | 30.7 ± 1.69 | 0.910 | 30.6 ± 1.09 | 30.8 ± 1.62 | 0.745 | 0.035 | 0.143 |
| MCHC [g/dL] | 32.3–36.5 | 33.8 ± 0.72 | 33.8 ± 1.12 | 0.757 | 33.8 ± 0.65 | 33.6 ± 0.44 | 0.533 | 33.3 ± 0.81 | 33.7 ± 0.91 | 0.512 | 0.003 | 0.801 |
| PLT [103/μL] | 132–370 | 251.0 ± 45.56 | 234.7 ± 40.17 | 0.273 | 231.9 ± 42.65 | 228.4 ± 37.54 | 0.650 | 236.5 ± 59.27 | 244.0 ± 39.02 | 0.763 | 0.050 | 0.819 |
| RDW-SD [fl] | 35.1–43.9 | 45.6 ± 3.89 | 47.2 ± 4.34 | 0.661 | 46.4 ± 3.66 | 47.3 ± 4.59 | 0.610 | 45.6 ± 3.89 | 46.6 ± 3.58 | 0.513 | 0.641 | 0.449 |
| RDW-CV [%] | 11.6–14.4 | 13.8 ± 0.73 | 14.2 ± 0.82 | 0.482 | 14.0 ± 0.73 | 14.2 ± 0.94 | 0.865 | 13.8 ± 0.71 | 13.9 ± 0.65 | 0.762 | 0.497 | 0.019 |
| PDW [fl] | 9.8–16.1 | 13.3 ± 1.94 | 13.6 ± 1.94 | 0.605 | 13.3 ± 2.50 | 13.1 ± 1.74 | 0.777 | 14.5 ± 3.25 | 12.9 ± 1.57 | 0.451 | 0.195 | 0.076 |
| MPV [fl] | 9.4–12.6 | 10.9 ± 0.89 | 11.1 ± 0.91 | 0.778 | 11.1 ± 1.05 | 11.0 ± 0.65 | 0.909 | 11.4 ± 1.17 | 10.9 ± 0.78 | 0.421 | 0.301 | 0.846 |
| P-LCR [%] | 19.2–47.0 | 32.6 ± 7.33 | 32.9 ± 6.64 | 0.888 | 33.3 ± 8.60 | 33.0 ± 5.62 | 0.955 | 35.2 ± 8.01 | 31.8 ± 7.05 | 0.482 | 0.417 | 0.449 |
| PCT [%] | 0.16–0.35 | 0.28 ± 0.04 | 0.26 ± 0.04 | 0.258 | 0.25 ± 0.04 | 0.25 ± 0.04 | 0.528 | 0.27 ± 0.06 | 0.27 ± 0.04 | 0.762 | 0.016 | 0.368 |
| CRP | <5.00 | 8.9 ± 10.15 | 15.9 ± 23.13 | 1.000 | 44.1 ± 4.59 | 38.9 ± 28.90 | 0.643 | 29.5 ± 1.69 | 14.3 ± 6.31 | 0.083 | --- | 0.264 |
| MDRD [mL/min] | >60 | 81.4 ± 14.43 | 74.2 ± 20.64 | 0.380 | 97.5 ± 15.19 | 84.4 ± 15.81 | 0.156 | 93.5 ± 14.75 | 84.2 ± 19.82 | 0.366 | 0.015 | 0.021 |
| BUN [mg/dL] | 8.4–25.7 | 15.6 ± 4.85 | 19.1 ± 9.02 | 0.625 | 13.2 ± 3.39 | 21.5 ± 7.31 | 0.077 | 18.3 | 19.6 | 0.317 | --- | --- |
| Creatinine [mg/dL] | 0.70–1.30 | 0.87 ± 0.09 | 1.02 ± 0.20 | 0.103 | 0.75 ± 0.08 | 0.88 ± 0.09 | 0.014 | 0.84 ± 0.21 | 0.91 ± 0.18 | 0.317 | 0.067 | 0.057 |
| BNP | 100–500 high risk of HF | 50.9 ± 35.49 | 160.8 ± 196.01 | 0.439 | 241.1 ± 111.54 | 246.9 ± 15.63 | 0.564 | 111.5 ± 6.51 | - | - | --- | --- |
| hsTnI [ng/L] | <34.2 | 637.9 ± 1309.12 | 16,743.2 ± 25,761.01 | 0.861 | 24,954.8 ± 20,592.28 | 16,073.2 ± 18,167.80 | 0.327 | 8123.9 ± 9422.47 | 3414.2 ± 3546.96 | 0.448 | 0.018 | 0.174 |
| APPT [s] | 26.4–37.5 | 159.2 ± 170.33 | 100.8 ± 115.89 | 0.461 | 30.2 ± 3.19 | 30.0 ± 3.57 | 1.000 | 30.0 ± 4.53 | 28.6 ± 1.41 | 1.000 | 0.135 | --- |
| PT [s] | 9.4–13.8 | 14.7 ± 1.58 | 13.5 ± 0.98 | 0.072 | 13.1 ± 1.03 | 12.1 ± 0.64 | 0.093 | 13.1 ± 0.95 | 12.4 ± 0.35 | 0.248 | 0.060 | --- |
| PT INR index | 0.9–1.2 | 1.2 ± 0.14 | 1.1 ± 0.12 | 0.292 | 1.1 ± 0.09 | 1.0 ± 0.05 | 0.180 | 1.1 ± 0.12 | 1.0 ± 0.04 | 0.564 | 0.060 | --- |
| Prothrombin index [%] | 70.0–130.0 | 83.8 ± 9.34 | 90.5 ± 8.47 | 0.292 | 91.3 ± 8.99 | 96.8 ± 4.38 | 0.180 | 92.3 ± 9.49 | 96.7 ± 3.53 | 0.564 | 0.060 | --- |
| Chloride [mmol/L] | 98.0–110.0 | 105.5 ± 4.42 | 107.2 ± 3.90 | 0.568 | 105.2 ± 4.53 | 104.3 ± 2.25 | 0.668 | 107.6 ± 2.21 | 107.8 ± 2.20 | 0.762 | 0.093 | 0.050 |
| Potassium [mmol/L] | 3.5–5.0 | 4.0 ± 0.41 | 4.2 ± 0.75 | 0.692 | 4.1 ± 0.36 | 4.2 ± 0.23 | 0.392 | 4.5 ± 0.65 | 4.5 ± 0.22 | 0.223 | 0.014 | 0.268 |
| Sodium [mmol/L] | 136.0–145.0 | 141.6 ± 5.43 | 143.9 ± 5.67 | 0.334 | 137.9 ± 2.76 | 138.6 ± 1.76 | 0.734 | 140.4 ± 3.19 | 140.2 ± 0.99 | 0.651 | 0.097 | 0.041 |
| Time [Day] | STEMI Group | |
|---|---|---|
| Survival Rate [%] | Standard Error | |
| 8 | 94.7 | 0.051 |
| 43 | 89.5 | 0.070 |
| 77 | 84.2 | 0.084 |
| 145 | 78.9 | 0.094 |
| 465 | 73.7 | 0.101 |
| 623 | 68.4 | 0.107 |
Disclaimer/Publisher’s Note: The statements, opinions and data contained in all publications are solely those of the individual author(s) and contributor(s) and not of MDPI and/or the editor(s). MDPI and/or the editor(s) disclaim responsibility for any injury to people or property resulting from any ideas, methods, instructions or products referred to in the content. |
© 2025 by the authors. Licensee MDPI, Basel, Switzerland. This article is an open access article distributed under the terms and conditions of the Creative Commons Attribution (CC BY) license (https://creativecommons.org/licenses/by/4.0/).
Share and Cite
Karczmarska-Wódzka, A.; Wszelaki, P.; Pstrągowski, K.; Sikora, J. The Importance of Hemostasis on Long-Term Cardiovascular Outcomes in STEMI Patients—A Prospective Pilot Study. J. Clin. Med. 2025, 14, 5500. https://doi.org/10.3390/jcm14155500
Karczmarska-Wódzka A, Wszelaki P, Pstrągowski K, Sikora J. The Importance of Hemostasis on Long-Term Cardiovascular Outcomes in STEMI Patients—A Prospective Pilot Study. Journal of Clinical Medicine. 2025; 14(15):5500. https://doi.org/10.3390/jcm14155500
Chicago/Turabian StyleKarczmarska-Wódzka, Aleksandra, Patrycja Wszelaki, Krzysztof Pstrągowski, and Joanna Sikora. 2025. "The Importance of Hemostasis on Long-Term Cardiovascular Outcomes in STEMI Patients—A Prospective Pilot Study" Journal of Clinical Medicine 14, no. 15: 5500. https://doi.org/10.3390/jcm14155500
APA StyleKarczmarska-Wódzka, A., Wszelaki, P., Pstrągowski, K., & Sikora, J. (2025). The Importance of Hemostasis on Long-Term Cardiovascular Outcomes in STEMI Patients—A Prospective Pilot Study. Journal of Clinical Medicine, 14(15), 5500. https://doi.org/10.3390/jcm14155500

