Factors Affecting Health-Related Quality of Life in Patients After a Liver Transplant: A Cross-Sectional, Single-Centre, Large-Cohort Study
Abstract
1. Introduction
2. Material and Methods
2.1. Patients
2.2. Assessment of Health-Related Quality of Life
2.3. Assessment of Physical Activity
2.4. Assessment of Depressive Symptoms
2.5. Assessment of Chronic Fatigue
2.6. Assessment of Bone Mineral Density
2.7. Statistics
3. Results
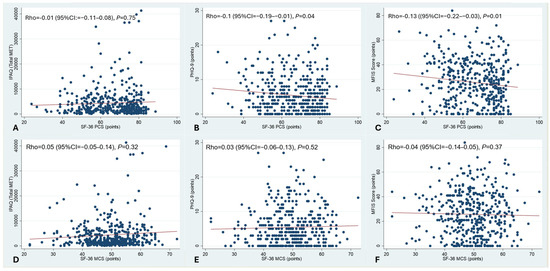
3.1. Correlation Between HRQoL and Physical Activity, Depression, and Chronic Fatigue
3.2. Correlation Between Physical Activity and Depression and Chronic Fatigue
3.3. Correlation Between Depression and Chronic Fatigue
3.4. Comparison of Male and Female Patients
3.5. Employment
3.6. Osteoporosis
4. Discussion
Supplementary Materials
Author Contributions
Funding
Institutional Review Board Statement
Informed Consent Statement
Data Availability Statement
Conflicts of Interest
References
- Dunn, M.A.; Rogal, S.S.; Duarte-Rojo, A.; Lai, J.C. Physical Function, Physical Activity, and Quality of Life After Liver Transplantation. Liver Transpl. 2020, 26, 702–708. [Google Scholar] [CrossRef] [PubMed]
- Nickel, R.; Wunsch, A.; Egle, U.T.; Lohse, A.W.; Otto, G. The relevance of anxiety, depression, and coping in patients after liver transplantation. Liver Transpl. 2002, 8, 63–71. [Google Scholar] [CrossRef] [PubMed]
- van den Berg-Emons, R.J.; van Ginneken, B.T.; Nooijen, C.F.; Metselaar, H.J.; Tilanus, H.W.; Kazemier, G.; Stam, H.J. Fatigue after liver transplantation: Effects of a rehabilitation program including exercise training and physical activity counseling. Phys. Ther. 2014, 94, 857–865. [Google Scholar] [CrossRef] [PubMed]
- van den Berg-Emons, R.; van Ginneken, B.; Wijffels, M.; Tilanus, H.; Metselaar, H.; Stam, H.; Kazemier, G. Fatigue is a major problem after liver transplantation. Liver Transpl. 2006, 12, 928–933. [Google Scholar] [CrossRef]
- van Ginneken, B.T.; van den Berg-Emons, R.J.; van der Windt, A.; Tilanus, H.W.; Metselaar, H.J.; Stam, H.J.; Kazemier, G. Persistent fatigue in liver transplant recipients: A two-year follow-up study. Clin. Transplant. 2010, 24, E10–E16. [Google Scholar] [CrossRef]
- van Son, J.; Stam, S.P.; Gomes-Neto, A.W.; Oste, M.C.J.; Blokzijl, H.; van den Berg, A.P.; Porte, R.J.; Bakker, S.J.L.; de Meijer, V.E. Post-transplant obesity impacts long-term survival after liver transplantation. Metabolism 2020, 106, 154204. [Google Scholar] [CrossRef]
- Saab, S.; Wiese, C.; Ibrahim, A.B.; Peralta, L.; Durazo, F.; Han, S.; Yersiz, H.; Farmer, D.G.; Ghobrial, R.M.; Goldstein, L.I.; et al. Employment and quality of life in liver transplant recipients. Liver Transpl. 2007, 13, 1330–1338. [Google Scholar] [CrossRef]
- Huda, A.; Newcomer, R.; Harrington, C.; Blegen, M.G.; Keeffe, E.B. High rate of unemployment after liver transplantation: Analysis of the United Network for Organ Sharing database. Liver Transpl. 2012, 18, 89–99. [Google Scholar] [CrossRef]
- Ware, J.E., Jr.; Sherbourne, C.D. The MOS 36-item short-form health survey (SF-36). I. Conceptual framework and item selection. Med. Care 1992, 30, 473–483. [Google Scholar] [CrossRef]
- Kim, Y.; Park, I.; Kang, M. Convergent validity of the international physical activity questionnaire (IPAQ): Meta-analysis. Public Health Nutr. 2013, 16, 440–452. [Google Scholar] [CrossRef]
- Bergier, J. Studies and measurements of physical activity of the society. Ann. Agric. Environ. Med. 2012, 19, 329–331. [Google Scholar] [PubMed]
- Kroenke, K.; Spitzer, R.L.; Williams, J.B. The PHQ-9: Validity of a brief depression severity measure. J. Gen. Intern. Med. 2001, 16, 606–613. [Google Scholar] [CrossRef] [PubMed]
- Gruszczak, A.; Bartosik-Psujek, H.; Pocinska, K.; Stelmasiak, Z. Validation analysis of selected psychometric features of Polish version of Modified Fatigue Impact Scale--preliminary findings. Neurol. Neurochir. Pol. 2009, 43, 148–154. [Google Scholar] [PubMed]
- Fisk, J.D.; Ritvo, P.G.; Ross, L.; Haase, D.A.; Marrie, T.J.; Schlech, W.F. Measuring the functional impact of fatigue: Initial validation of the fatigue impact scale. Clin. Infect. Dis. 1994, 18 (Suppl. 1), S79–S83. [Google Scholar] [CrossRef]
- Janik, M.K.; Wunsch, E.; Raszeja-Wyszomirska, J.; Moskwa, M.; Kruk, B.; Krawczyk, M.; Milkiewicz, P. Autoimmune hepatitis exerts a profound, negative effect on health-related quality of life: A prospective, single-centre study. Liver Int. 2019, 39, 215–221. [Google Scholar] [CrossRef]
- Raszeja-Wyszomirska, J.; Wunsch, E.; Krawczyk, M.; Rigopoulou, E.I.; Kostrzewa, K.; Norman, G.L.; Bogdanos, D.P.; Milkiewicz, P. Assessment of health related quality of life in polish patients with primary biliary cirrhosis. Clin. Res. Hepatol. Gastroenterol. 2016, 40, 471–479. [Google Scholar] [CrossRef]
- Wunsch, E.; Stadnik, A.; Kruk, B.; Szczepankiewicz, B.; Kotarska, K.; Krawczyk, M.; Gornicka, B.; Wojcicki, M.; Milkiewicz, P. Chronic Fatigue Persists in a Significant Proportion of Female Patients After Transplantation for Primary Sclerosing Cholangitis. Liver Transpl. 2021, 27, 1032–1040. [Google Scholar] [CrossRef]
- Yang, L.S.; Shan, L.L.; Saxena, A.; Morris, D.L. Liver transplantation: A systematic review of long-term quality of life. Liver Int. 2014, 34, 1298–1313. [Google Scholar] [CrossRef]
- Onghena, L.; Develtere, W.; Poppe, C.; Geerts, A.; Troisi, R.; Vanlander, A.; Berrevoet, F.; Rogiers, X.; Van Vlierberghe, H.; Verhelst, X. Quality of life after liver transplantation: State of the art. World J. Hepatol. 2016, 8, 749–756. [Google Scholar] [CrossRef]
- Drent, G.; De Geest, S.; Dobbels, F.; Kleibeuker, J.H.; Haagsma, E.B. Symptom experience, nonadherence and quality of life in adult liver transplant recipients. Neth. J. Med. 2009, 67, 161–168. [Google Scholar]
- Butt, Z.; Parikh, N.D.; Skaro, A.I.; Ladner, D.; Cella, D. Quality of life, risk assessment, and safety research in liver transplantation: New frontiers in health services and outcomes research. Curr. Opin. Organ. Transplant. 2012, 17, 241–247. [Google Scholar] [CrossRef] [PubMed]
- Jing, W.; Bi, C.; Fang, Z.; Qian, C.; Chen, J.; Yu, J.; Tian, G.; Ye, M.; Liu, Z. Neuropsychiatric sequelae after liver transplantation and their possible mechanism via the microbiota-gut-liver-brain axis. Biomed. Pharmacother. 2023, 163, 114855. [Google Scholar] [CrossRef] [PubMed]
- De Smet, S.; O’Donoghue, K.; Lormans, M.; Monbaliu, D.; Pengel, L. Does Exercise Training Improve Physical Fitness and Health in Adult Liver Transplant Recipients? A Systematic Review and Meta-analysis. Transplantation 2023, 107, e11–e26. [Google Scholar] [CrossRef]
- Rongies, W.; Stepniewska, S.; Lewandowska, M.; Smolis-Bak, E.; Dolecki, W.; Sierdzinski, J.; Trzepla, E.; Cholewinska, G.; Stankiewicz, W. Physical activity long-term after liver transplantation yields better quality of life. Ann. Transplant. 2011, 16, 126–131. [Google Scholar] [CrossRef]
- Dunn, M.A.; Josbeno, D.A.; Schmotzer, A.R.; Tevar, A.D.; DiMartini, A.F.; Landsittel, D.P.; Delitto, A. The gap between clinically assessed physical performance and objective physical activity in liver transplant candidates. Liver Transpl. 2016, 22, 1324–1332. [Google Scholar] [CrossRef]
- Singh, B.; Olds, T.; Curtis, R.; Dumuid, D.; Virgara, R.; Watson, A.; Szeto, K.; O’Connor, E.; Ferguson, T.; Eglitis, E.; et al. Effectiveness of physical activity interventions for improving depression, anxiety and distress: An overview of systematic reviews. Br. J. Sports Med. 2023, 57, 1203–1209. [Google Scholar] [CrossRef]
- Biyyala, D.; Joseph, R.; Varadharajan, N.; Krishnamoorthy, Y.; Menon, V. Incidence and prevalence of depressive, anxiety, and insomnia symptoms among adult liver transplant recipients: A systematic review and meta-analysis. Gen. Hosp. Psychiatry 2023, 80, 26–34. [Google Scholar] [CrossRef]
- Noetel, M.; Sanders, T.; Gallardo-Gomez, D.; Taylor, P.; Del Pozo Cruz, B.; van den Hoek, D.; Smith, J.J.; Mahoney, J.; Spathis, J.; Moresi, M.; et al. Effect of exercise for depression: Systematic review and network meta-analysis of randomised controlled trials. BMJ 2024, 384, e075847. [Google Scholar] [CrossRef]
- Fonseca, A.F.; Lahoz, R.; Proudfoot, C.; Corda, S.; Loefroth, E.; Jackson, J.; Cotton, S.; Studer, R. Burden and Quality of Life Among Female and Male Patients with Heart Failure in Europe: A Real-World Cross-Sectional Study. Patient Prefer. Adherence 2021, 15, 1693–1706. [Google Scholar] [CrossRef]
- Mundet, L.; Ribas, Y.; Arco, S.; Clave, P. Quality of Life Differences in Female and Male Patients with Fecal Incontinence. J. Neurogastroenterol. Motil. 2016, 22, 94–101. [Google Scholar] [CrossRef][Green Version]
- Boecking, B.; Biehl, R.; Brueggemann, P.; Mazurek, B. Health-Related Quality of Life, Depressive Symptoms, Anxiety, and Somatization Symptoms in Male and Female Patients with Chronic Tinnitus. J. Clin. Med. 2021, 10, 2798. [Google Scholar] [CrossRef] [PubMed]
- Chen, P.X.; Yan, L.N.; Wang, W.T. Health-related quality of life of 256 recipients after liver transplantation. World J. Gastroenterol. 2012, 18, 5114–5121. [Google Scholar] [CrossRef] [PubMed]
- Adams, P.C.; Ghent, C.N.; Grant, D.R.; Wall, W.J. Employment after liver transplantation. Hepatology 1995, 21, 140–144. [Google Scholar] [CrossRef]
- Cowling, T.; Jennings, L.W.; Goldstein, R.M.; Sanchez, E.Q.; Chinnakotla, S.; Klintmalm, G.B.; Levy, M.F. Societal reintegration after liver transplantation: Findings in alcohol-related and non-alcohol-related transplant recipients. Ann. Surg. 2004, 239, 93–98. [Google Scholar] [CrossRef]
- Moyzes, D.; Walter, M.; Rose, M.; Neuhaus, P.; Klapp, B.F. Return to work 5 years after liver transplantation. Transplant. Proc. 2001, 33, 2878–2880. [Google Scholar] [CrossRef]
- Rongey, C.; Bambha, K.; Vanness, D.; Pedersen, R.A.; Malinchoc, M.; Therneau, T.M.; Dickson, E.R.; Kim, W.R. Employment and health insurance in long-term liver transplant recipients. Am. J. Transplant. 2005, 5, 1901–1908. [Google Scholar] [CrossRef]
- Sahota, A.; Zaghla, H.; Adkins, R.; Ramji, A.; Lewis, S.; Moser, J.; Sher, L.S.; Fong, T.L. Predictors of employment after liver transplantation. Clin. Transplant. 2006, 20, 490–495. [Google Scholar] [CrossRef]



| Feature | Group I (n = 77) | Group II (n = 145) | Group III (n = 198) | p Value |
|---|---|---|---|---|
| Age (years) | 49 (21–70) | 54 (21–80) | 54 (21–74) | 0.14 |
| Male gender (n, %) | 45 (58.4%) | 81 (56.3%) | 113 (56.8%) | 0.88 |
| BMI (kg/m2) | 25.2 (18.2–35.5) | 26.5 (17.9–41.9) | 26.1 (15.6–39.0) | 0.14 |
| Aetiology (n, %) | 0.04 | |||
| Alcohol-related | 18 (23.4%) | 31 (21.4%) | 24 (12.2%) | |
| Autoimmune | 30 (39.0%) | 41 (28.3%) | 65 (33.0%) | |
| Viral | 8 (10.3%) | 39 (26.9%) | 49 (24.8%) | |
| Other | 21 (27.3%) | 34 (23.4%) | 59 (30.0%) | |
| Biochemistry | ||||
| Hb (g/dL) | 13.4 (9.2–17.6) | 13.9 (8.1–17.6) | 14.0 (8.6–19.2) | 0.03 |
| Platelets (tys/μL) | 174 (109–404) | 180 (104–402) | 179 (100–429) | 0.93 |
| AST (IU/L) | 25 (12–319) | 25 (2–505) | 26 (11–555) | 0.49 |
| ALT (IU/L) | 28 (10–834) | 26 (10–180) | 26 (5–293) | 0.92 |
| Bilirubin (mg/dL) | 0.7 (0.2–5.9) | 0.6 (0.2–6.0) | 0.6 (0.2–9.6) | 0.17 |
| Albumin (g/dL) | 4.5 (1.9–5.2) | 4.6 (0.7–5.4) | 4.6 (0.9–5.8) | 0.04 |
| INR | 1.0 (0.3–2.4) | 1.0 (0.9–2.5) | 1.1 (0.7–2.9) | 0.14 |
| Glucose (mg/dL) | 99 (71–245) | 100 (64–212) | 101 (68–307) | 0.15 |
| Vitamin D3 (ng/mL) | 23.1 (7.7–84.7) | 20.4 (3.0–59.3) | 22.0 (3.8–58.0) | 0.53 |
| Immunosuppression TAC based (%) | 71 (92%) | 132 (91%) | 182 (92%) | 0.96 |
| Bone density (n, %) | 0.67 | |||
| Normal | 45 (58.4%) | 73 (50.3%) | 97 (48.7%) | |
| Osteopenia | 28 (36.4) | 64 (44.1%) | 92 (46.2%) | |
| Osteoporosis | 4 (5.2%) | 8 (5.5%) | 10 (5.0%) |
| Feature | Group I (n = 77) | Group II (n = 145) | Group III (n = 198) | p Value |
|---|---|---|---|---|
| SF-36 PCS (points) | 70 (31.25–83.75) | 67.5 (23.75–88.75) | 68.75 (26.5–85.0) | 0.99 |
| SF-36 MCS (points) | 50 (31.25–68.75) | 48.75 (26.0–63.75) | 50 (21.8–72.5) | 0.06 |
| IPAQ Total MET | 2316 (132–3978) | 2799 (49.5–41,328) | 2376 (99–37,116) | 0.65 |
| IPAQ Total sitting time (minutes/week) | 2100 (21–5040) | 2520 (420–5040) | 2100 (14–5880) | 0.81 |
| PHQ-9 (points) | 4 (0–27) | 4 (0–25) | 4 (0–27) | 0.84 |
| MFIS Physical (points) | 12 (0–33) | 12 (0–32) | 11 (0–36) | 0.72 |
| MFIS Cognitive (points) | 10 (0–34) | 10 (0–30) | 10 (0–40) | 0.97 |
| MFIS Psychosocial (points) | 2 (0–8) | 2 (0–8) | 2 (0–8) | 0.70 |
| MFIS Total (points) | 26 (0–62) | 24 (0–67) | 24 (0–84) | 0.97 |
| Study Group (n = 420) | Control Group (n = 275) | p Value | |
|---|---|---|---|
| Age (years) | 53 (21–80) | 52 (20–88) | 0.23 |
| Male gender (n, %) | 239 (56.9%) | 138 (50.2%) | 0.10 |
| BMI (kg/m2) | 26.0 (15.6–41.9) | 26.0 (17.2–42.9) | 0.67 |
| Employment (n, %) | <0.0001 | ||
| No | 229 (54.4%) | 81 (29.5%) | |
| Yes | 191 (45.6%) | 194 (70.5%) | |
| Health status (n, %) | 0.009 | ||
| Poor | 12 (2.8%) | 8 (2.9%) | |
| Mild impairment | 103 (24.5%) | 41 (14.9%) | |
| Good | 305 (72.7%) | 226 (82.2%) | |
| Health-related quality of life | |||
| SF-36 PF (points) | 85.0 (0.0–100.0) | 95.0 (0.0–100.0) | <0.0001 |
| SF-36 RP (points) | 75.0 (0.0–100.0) | 81.5 (0.0–100.0) | 0.02 |
| SF-36 BP (points) | 30.0 (0.0–90.0) | 20.0 (0.0–90.0) | 0.96 |
| SF-36 GH (points) | 55.0 (5.0–95.0) | 55.0 (25.0–90.0) | 0.89 |
| SF-36 VT (points) | 45.0 (20.0–75.0) | 45.0 (20.0–80.0) | 0.12 |
| SF-36 SF (points) | 50.0 (0.0–87.5) | 50.0 (12.5–87.5) | 0.67 |
| SF-36 RE (points) | 91.7 (0.0–100.0) | 100.0 (0.0–100.0) | 0.07 |
| SF-36 MH (points) | 60.0 (25.0–100.0) | 65.0 (30.0–90.0) | 0.007 |
| SF-36 PCS (points) | 68.7 (23.7–88.7) | 72.5 (23.7–91.2) | <0.0001 |
| SF-36 MCS (points) | 50.0 (21.9–72.5) | 51.2 (21.7–72.5) | 0.03 |
| PHQ-9 (points) | 4 (0–27) | 3 (0–27) | 0.30 |
| PHQ-9 category | 0.4 | ||
| Mild to moderate | 222 (52.8%) | 159 (57.8%) | |
| Moderately severe | 168 (40.1%) | 97 (35.3%) | |
| Severe | 30 (7.1%) | 19 (6.9%) | |
| MFIS Physical (points) | 12 (0–36) | 10 (0–36) | 0.09 |
| MFIS Cognitive (points) | 10 (0–40) | 10.0 (0–40) | 0.86 |
| MFIS Psychosocial (points) | 2 (0–8) | 2.0 (0–8) | 0.63 |
| MFIS Score (points) | 25 (0–84) | 23 (0–84) | 0.28 |
| Physical activity | |||
| Physical activity | <0.0001 | ||
| No | 165 (39.2%) | 57 (20.7%) | |
| Yes | 160 (38.0%) | 176 (64.0%) | |
| Time to time | 96 (22.8%) | 42 (15.3%) | |
| Total MET | 2409 (49–41,328) | 3012 (120–62,712) | 0.02 |
| Total sitting time (minutes/week) | 2100 (14–5880) | 2100 (420–5040) | 0.13 |
| Feature | Males (n = 239) | Females (n = 181) | p Value |
|---|---|---|---|
| Age (years) | 52.5 (21–80) | 54 (21–74) | 0.30 |
| BMI (kg/m2) | 26.7 (17.2–41.9) | 25.0 (15.6–40.0) | 0.004 |
| SF-36 PCS (points) | 70.0 (23.7–85.0) | 67.5 (26.6–88.7) | 0.72 |
| SF-36 MCS (points) | 50.0 (26.9–68.7) | 50.0 (21.9–72.5) | 0.79 |
| IPAQ Total MET | 2550 (66–41,328) | 2376 (49–36,582) | 0.45 |
| IPAQ Total sitting time (minutes/week) | 2520 (14–5580) | 2100 (21–5880) | 0.12 |
| PHQ-9 (points) | 3 (0–27) | 5 (0–25) | <0.0001 |
| MFIS Physical (points) | 9 (0–36) | 16 (0–34) | <0.0001 |
| MFIS Cognitive (points) | 7 (0–40) | 13 (0–39) | <0.0001 |
| MFIS Psychosocial (points) | 2 (0–8) | 3 (0–8) | <0.0001 |
| MFIS Score (points) | 20 (0–84) | 32 (0–72) | <0.0001 |
| Feature | Unemployed (n = 229) | Employed (n = 191) | p Value |
|---|---|---|---|
| Male gender (n, %) | 115 (50%) | 124 (65%) | 0.004 |
| Age (years) | 54.3 ± 12.0 | 45.7 ± 11.9 | <0.0001 |
| BMI (kg/m2) | 26.9 ± 4.7 | 25.8 ± 4.4 | 0.02 |
| SF-36 PCS (points) | 65.0 ± 13.0 | 67.3 ± 11.8 | 0.06 |
| SF-36 MCS (points) | 49.6 ± 7.6 | 49.4 ± 8.3 | 0.77 |
| IPAQ Total MET | 2140 (66–36,582) | 2826 (49–41,328) | 0.008 |
| IPAQ Total sitting time (minutes/week) | 2434.6 ± 1068.7 | 2533.0 ± 1099.3 | 0.36 |
| PHQ-9 (points) | 6.2 ± 5.8 | 4.4 ± 4.4 | <0.0001 |
| MFIS Physical (points) | 13.9 ± 8.5 | 9.9 ± 7.5 | <0.0001 |
| MFIS Cognitive (points) | 12.7 ± 8.8 | 8.9 ± 7.3 | <0.0001 |
| MFIS Psychosocial (points) | 3.0 ± 2.2 | 2.1 ± 1.8 | <0.0001 |
| MFIS Score (points) | 29.6 ± 18.2 | 20.9 ± 15.4 | <0.0001 |
Disclaimer/Publisher’s Note: The statements, opinions and data contained in all publications are solely those of the individual author(s) and contributor(s) and not of MDPI and/or the editor(s). MDPI and/or the editor(s) disclaim responsibility for any injury to people or property resulting from any ideas, methods, instructions or products referred to in the content. |
© 2025 by the authors. Licensee MDPI, Basel, Switzerland. This article is an open access article distributed under the terms and conditions of the Creative Commons Attribution (CC BY) license (https://creativecommons.org/licenses/by/4.0/).
Share and Cite
Kotarska, K.; Wunsch, E.; Przedlacki, J.; Wójcicki, M.; Raszeja-Wyszomirska, J.; Małyszko, J.; Milkiewicz, P. Factors Affecting Health-Related Quality of Life in Patients After a Liver Transplant: A Cross-Sectional, Single-Centre, Large-Cohort Study. J. Clin. Med. 2025, 14, 4507. https://doi.org/10.3390/jcm14134507
Kotarska K, Wunsch E, Przedlacki J, Wójcicki M, Raszeja-Wyszomirska J, Małyszko J, Milkiewicz P. Factors Affecting Health-Related Quality of Life in Patients After a Liver Transplant: A Cross-Sectional, Single-Centre, Large-Cohort Study. Journal of Clinical Medicine. 2025; 14(13):4507. https://doi.org/10.3390/jcm14134507
Chicago/Turabian StyleKotarska, Katarzyna, Ewa Wunsch, Jerzy Przedlacki, Maciej Wójcicki, Joanna Raszeja-Wyszomirska, Jolanta Małyszko, and Piotr Milkiewicz. 2025. "Factors Affecting Health-Related Quality of Life in Patients After a Liver Transplant: A Cross-Sectional, Single-Centre, Large-Cohort Study" Journal of Clinical Medicine 14, no. 13: 4507. https://doi.org/10.3390/jcm14134507
APA StyleKotarska, K., Wunsch, E., Przedlacki, J., Wójcicki, M., Raszeja-Wyszomirska, J., Małyszko, J., & Milkiewicz, P. (2025). Factors Affecting Health-Related Quality of Life in Patients After a Liver Transplant: A Cross-Sectional, Single-Centre, Large-Cohort Study. Journal of Clinical Medicine, 14(13), 4507. https://doi.org/10.3390/jcm14134507

