Impact of Time-to-Treatment Initiation and First Inter-Cycle Delay in Patients with Hodgkin Lymphoma
Abstract
1. Introduction
2. Materials and Methods
2.1. Study Population
2.2. Statistical Analyses
3. Results
3.1. Patient Characteristics
3.2. DTI and IcD Results
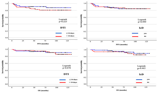
3.3. Survival Outcomes
4. Discussion
5. Conclusions
Author Contributions
Funding
Institutional Review Board Statement
Informed Consent Statement
Data Availability Statement
Conflicts of Interest
References
- Munir, F.; Hardit, V.; Sheikh, I.N.; AlQahtani, S.; He, J.; Cuglievan, B.; Hosing, C.; Tewari, P.; Khazal, S. Classical Hodgkin Lymphoma: From Past to Future-A Comprehensive Review of Pathophysiology and Therapeutic Advances. Int. J. Mol. Sci. 2023, 24, 95. [Google Scholar] [CrossRef] [PubMed]
- Sahin, T.K.; Sahin, E.A.; Gungor, H.N.; Guven, D.C.; Barista, I.; Akin, S. Fear of Cancer Recurrence and Associated Factors in Lymphoma Survivors and Their Family Caregivers: A Cross-Sectional Study. Cancer Med. 2025, 14, e70561. [Google Scholar] [CrossRef] [PubMed]
- Burton, C.; Allen, P.; Herrera, A.F. Paradigm Shifts in Hodgkin Lymphoma Treatment: From Frontline Therapies to Relapsed Disease. Am. Soc. Clin. Oncol. Educ. Book 2024, 44, e433502. [Google Scholar] [CrossRef]
- Tang, L.; Huang, Z.; Mei, H.; Hu, Y. Immunotherapy in hematologic malignancies: Achievements, challenges and future prospects. Signal. Transduct. Target. Ther. 2023, 8, 306. [Google Scholar] [CrossRef]
- Sahin, T.K.; Akin, S. Immune checkpoint blockade and CAR T-cell therapy in T-cell/histiocyte-rich large B-cell lymphoma: Challenges and opportunities. Heliyon 2024, 10, e38023. [Google Scholar] [CrossRef]
- Alig, S.; Macaulay, C.W.; Kurtz, D.M.; Duhrsen, U.; Huttmann, A.; Schmitz, C.; Jin, M.C.; Sworder, B.J.; Garofalo, A.; Shahrokh Esfahani, M.; et al. Short Diagnosis-to-Treatment Interval Is Associated with Higher Circulating Tumor DNA Levels in Diffuse Large B-Cell Lymphoma. J. Clin. Oncol. 2021, 39, 2605–2616. [Google Scholar] [CrossRef]
- Maurer, M.J.; Ghesquieres, H.; Link, B.K.; Jais, J.P.; Habermann, T.M.; Thompson, C.A.; Haioun, C.; Allmer, C.; Johnston, P.B.; Delarue, R.; et al. Diagnosis-to-Treatment Interval Is an Important Clinical Factor in Newly Diagnosed Diffuse Large B-Cell Lymphoma and Has Implication for Bias in Clinical Trials. J. Clin. Oncol. 2018, 36, 1603–1610. [Google Scholar] [CrossRef] [PubMed]
- Yoshida, M.; Nakaya, Y.; Shimizu, K.; Tatsumi, N.; Tsutsumi, M.; Fuseya, H.; Horiuchi, M.; Yoshimura, T.; Hayashi, Y.; Nakao, T.; et al. Importance of diagnosis-to-treatment interval in newly diagnosed patients with diffuse large B-cell lymphoma. Sci. Rep. 2021, 11, 2837. [Google Scholar] [CrossRef] [PubMed]
- Phipps, C.; Lee, Y.S.; Ying, H.; Nagarajan, C.; Grigoropoulos, N.; Chen, Y.; Tang, T.; Goh, A.Z.; Ghosh, A.; Ng, H.J.; et al. The impact of time from diagnosis to treatment in diffuse large B-cell lymphoma. Leuk. Lymphoma 2018, 59, 2336–2341. [Google Scholar] [CrossRef]
- Nikonova, A.; Guirguis, H.R.; Buckstein, R.; Cheung, M.C. Predictors of delay in diagnosis and treatment in diffuse large B-cell lymphoma and impact on survival. Br. J. Haematol. 2015, 168, 492–500. [Google Scholar] [CrossRef]
- Steventon, L.; Man, K.K.C.; Nicum, S.; Miller, R.E.; Peleg Hasson, S.; Shah, S.; Baser, M.; Kipps, E.; Forster, M.D.; Almossawi, O.; et al. The impact of inter-cycle treatment delays on overall survival in patients with advanced-stage ovarian cancer. Oncologist 2024, 29, e1532–e1539. [Google Scholar] [CrossRef]
- Steventon, L.; Kipps, E.; Man, K.K.; Roylance, R.; Forster, M.D.; Wong, I.C.; Baser, M.; Miller, R.E.; Nicum, S.; Shah, S.; et al. The impact of inter-cycle treatment delays on 5-year all-cause mortality in early-stage breast cancer: A retrospective cohort study. Eur. J. Cancer 2024, 210, 114301. [Google Scholar] [CrossRef] [PubMed]
- Shanbhag, S.; Ambinder, R.F. Hodgkin lymphoma: A review and update on recent progress. CA Cancer J. Clin. 2018, 68, 116–132. [Google Scholar] [CrossRef] [PubMed]
- Epperla, N.; Switchenko, J.; Bachanova, V.; Gerson, J.N.; Barta, S.K.; Gordon, M.J.; Danilov, A.V.; Grover, N.S.; Mathews, S.; Burkart, M.; et al. Impact of diagnosis to treatment interval in patients with newly diagnosed mantle cell lymphoma. Blood Adv. 2023, 7, 2287–2296. [Google Scholar] [CrossRef]
- Epperla, N. Impact of Diagnosis to Treatment Interval on Outcomes in Patients with Newly Diagnosed Marginal Zone Lymphoma—A US Multisite Study. Blood 2023, 142, 5159. [Google Scholar] [CrossRef]
- Xu, F.; Rimm, A.A.; Fu, P.; Krishnamurthi, S.S.; Cooper, G.S. The impact of delayed chemotherapy on its completion and survival outcomes in stage II colon cancer patients. PLoS ONE 2014, 9, e107993. [Google Scholar] [CrossRef]
- Hanna, T.P.; King, W.D.; Thibodeau, S.; Jalink, M.; Paulin, G.A.; Harvey-Jones, E.; O’Sullivan, D.E.; Booth, C.M.; Sullivan, R.; Aggarwal, A. Mortality due to cancer treatment delay: Systematic review and meta-analysis. BMJ 2020, 371, m4087. [Google Scholar] [CrossRef]
- Engert, A.; Ballova, V.; Haverkamp, H.; Pfistner, B.; Josting, A.; Duhmke, E.; Muller-Hermelink, K.; Diehl, V.; German Hodgkin’s Study, G. Hodgkin’s lymphoma in elderly patients: A comprehensive retrospective analysis from the German Hodgkin’s Study Group. J. Clin. Oncol. 2005, 23, 5052–5060. [Google Scholar] [CrossRef]
- Cheng, P.T.M.; Villa, D.; Gerrie, A.S.; Freeman, C.L.; Slack, G.W.; Gascoyne, R.D.; Farinha, P.; Craig, J.W.; Skinnider, B.; Wilson, D.; et al. The outcome of older adults with classic Hodgkin lymphoma in British Columbia. Blood Adv. 2022, 6, 5924–5932. [Google Scholar] [CrossRef]
- Evens, A.M.; McKenna, M.; Ryu Tiger, Y.K.; Upshaw, J.N. Hodgkin lymphoma treatment for older persons in the modern era. Hematol. Am. Soc. Hematol. Educ. Program 2023, 2023, 483–499. [Google Scholar] [CrossRef]
- Chambers, P.; Forster, M.D.; Patel, A.; Duncan, N.; Kipps, E.; Wong, I.C.K.; Jani, Y.; Wei, L. Development and validation of a risk score (Delay-7) to predict the occurrence of a treatment delay following cycle 1 chemotherapy. ESMO Open 2023, 8, 100743. [Google Scholar] [CrossRef] [PubMed]
- Milunovic, V.; Hude, I.; Rincic, G.; Galusic, D.; Grubesic, A.; Martinovic, M.; Popovic, N.; Divosevic, S.; Brcic, K.; Medugorac, M.; et al. Clinical Dilemmas in the Treatment of Elderly Patients Suffering from Hodgkin Lymphoma: A Review. Biomedicines 2022, 10, 2917. [Google Scholar] [CrossRef] [PubMed]
- Momotow, J.; Borchmann, S.; Eichenauer, D.A.; Engert, A.; Sasse, S. Hodgkin Lymphoma-Review on Pathogenesis, Diagnosis, Current and Future Treatment Approaches for Adult Patients. J. Clin. Med. 2021, 10, 1125. [Google Scholar] [CrossRef]
- Moccia, A.A.; Donaldson, J.; Chhanabhai, M.; Hoskins, P.J.; Klasa, R.J.; Savage, K.J.; Shenkier, T.N.; Slack, G.W.; Skinnider, B.; Gascoyne, R.D.; et al. International Prognostic Score in advanced-stage Hodgkin’s lymphoma: Altered utility in the modern era. J. Clin. Oncol. 2012, 30, 3383–3388. [Google Scholar] [CrossRef] [PubMed]
- Palumbo, A.; Avet-Loiseau, H.; Oliva, S.; Lokhorst, H.M.; Goldschmidt, H.; Rosinol, L.; Richardson, P.; Caltagirone, S.; Lahuerta, J.J.; Facon, T.; et al. Revised International Staging System for Multiple Myeloma: A Report From International Myeloma Working Group. J. Clin. Oncol. 2015, 33, 2863–2869. [Google Scholar] [CrossRef]
- Yoo, C.; Yoon, D.H.; Suh, C. Serum beta-2 microglobulin in malignant lymphomas: An old but powerful prognostic factor. Blood Res. 2014, 49, 148–153. [Google Scholar] [CrossRef]
- Dimopoulos, M.A.; Cabanillas, F.; Lee, J.J.; Swan, F.; Fuller, L.; Allen, P.K.; Hagemeister, F.B. Prognostic role of serum beta 2-microglobulin in Hodgkin’s disease. J. Clin. Oncol. 1993, 11, 1108–1111. [Google Scholar] [CrossRef]
- Vassilakopoulos, T.P.; Arapaki, M.; Diamantopoulos, P.T.; Liaskas, A.; Panitsas, F.; Siakantaris, M.P.; Dimou, M.; Kokoris, S.I.; Sachanas, S.; Belia, M.; et al. Prognostic Impact of Serum beta(2)-Microglobulin Levels in Hodgkin Lymphoma Treated with ABVD or Equivalent Regimens: A Comprehensive Analysis of 915 Patients. Cancers 2024, 16, 238. [Google Scholar] [CrossRef]

| Characteristics | ||
|---|---|---|
| Age at diagnosis * | 34 (18–74) | |
| Gender | Male, n (%) | 85 (62%) |
| Female, n (%) | 52 (38%) | |
| IcD, day * | 0 (0–6) | |
| DTI, day * | 14 (7–27) | |
| Hemoglobin, g/dL ** | 12.7 ± 2.1 | |
| Leucocytes, 109/L * | 8.6 (6.7–11.9) | |
| Lymphocytes, ×109/L * | 1.6 (1.1–2) | |
| Beta-2 microglobulin, ng/mL * | 1700 (1379–2230) | |
| ESR, mm/h * | 34 (15–63) | |
| Albumin, g/dL * | 4.2 (3.6–4.4) | |
| Bulky disease, n (%) | 21 (15.3%) | |
| B symptoms, n (%) | 65 (47.4%) | |
| Stage, n (%) | 1 | 14 (10.2%) |
| 2 | 59 (43.1%) | |
| 3 | 30 (21.9%) | |
| 4 | 34 (24.8%) | |
| Hasenclever score for patients with stage 3–4, n (%) (N = 64) | 0 | 4 (6.3%) |
| 1 | 13 (20.3%) | |
| 2 | 17 (26.6%) | |
| 3 | 14 (21.9%) | |
| 4 | 13 (20.3%) | |
| 5 | 3 (4.6%) | |
| Risk status for patients with stage 1–2, n (%) (N = 73) | Favorable | 54 (74%) |
| Unfavorable | 19 (26%) | |
| HR (95% CI) | p-Value | |
|---|---|---|
| Age | 0.951 (0.908–0.996) | 0.034 |
| Gender (Male vs. Female) | 1.941 (0.672–5.603) | 0.220 |
| Hemoglobin, g/dL | 0.969 (0.722–1.301) | 0.835 |
| Lymphocytes, ×109/L | 0.759 (0.345–1.668) | 0.492 |
| Beta-2 microglobulin, ng/mL | 1.001 (1.000–1.002) | 0.018 |
| Albumin, g/dL | 0.859 (0.289–2.551) | 0.784 |
| ESR, mm/h | 0.992 (0.974–1.011) | 0.43 |
| HR (95% CI) | p-Value | |
|---|---|---|
| Age | 1.061 (1.000–1.125) | 0.049 |
| Hemoglobin, g/dL | 0.921 (0.567–1.496) | 0.740 |
| Leucocyte ×109/L | 0.855 (0.652–1.12) | 0.256 |
| Lymphocytes, ×109/L | 0.987 (0.289–3.371) | 0.984 |
| Beta-2 microglobulin, ng/mL | 1.001 (1.000–1.001) | 0.037 |
| Albumin, g/dL | 0.577 (0.191–1.742) | 0.329 |
| ESR, mm/h | 1.01 (0.977–1.043) | 0.562 |
Disclaimer/Publisher’s Note: The statements, opinions and data contained in all publications are solely those of the individual author(s) and contributor(s) and not of MDPI and/or the editor(s). MDPI and/or the editor(s) disclaim responsibility for any injury to people or property resulting from any ideas, methods, instructions or products referred to in the content. |
© 2025 by the authors. Licensee MDPI, Basel, Switzerland. This article is an open access article distributed under the terms and conditions of the Creative Commons Attribution (CC BY) license (https://creativecommons.org/licenses/by/4.0/).
Share and Cite
Donmez, D.; Evlendi, Y.; Sahin, T.K.; Barista, I.; Akin, S. Impact of Time-to-Treatment Initiation and First Inter-Cycle Delay in Patients with Hodgkin Lymphoma. J. Clin. Med. 2025, 14, 4085. https://doi.org/10.3390/jcm14124085
Donmez D, Evlendi Y, Sahin TK, Barista I, Akin S. Impact of Time-to-Treatment Initiation and First Inter-Cycle Delay in Patients with Hodgkin Lymphoma. Journal of Clinical Medicine. 2025; 14(12):4085. https://doi.org/10.3390/jcm14124085
Chicago/Turabian StyleDonmez, Deniz, Yasemin Evlendi, Taha Koray Sahin, Ibrahim Barista, and Serkan Akin. 2025. "Impact of Time-to-Treatment Initiation and First Inter-Cycle Delay in Patients with Hodgkin Lymphoma" Journal of Clinical Medicine 14, no. 12: 4085. https://doi.org/10.3390/jcm14124085
APA StyleDonmez, D., Evlendi, Y., Sahin, T. K., Barista, I., & Akin, S. (2025). Impact of Time-to-Treatment Initiation and First Inter-Cycle Delay in Patients with Hodgkin Lymphoma. Journal of Clinical Medicine, 14(12), 4085. https://doi.org/10.3390/jcm14124085

