Effectiveness of a Multicomponent Program for Fibromyalgia Patients in a Primary Care Setting (FIBROCARE Program): A Pragmatic Randomized Controlled Trial
Abstract
1. Introduction
2. Materials and Methods
2.1. The FIBROCARE Program
2.2. Study Population
2.3. Recruitment, Data Collection, and Study Variables
2.4. Statistical Analysis
3. Results
3.1. Evolution of Outcomes over the Study Period
3.1.1. Quality of Life (SF-36)
Physical Component Summary Scale and Dimensions
Mental Component Summary Scale and Dimensions
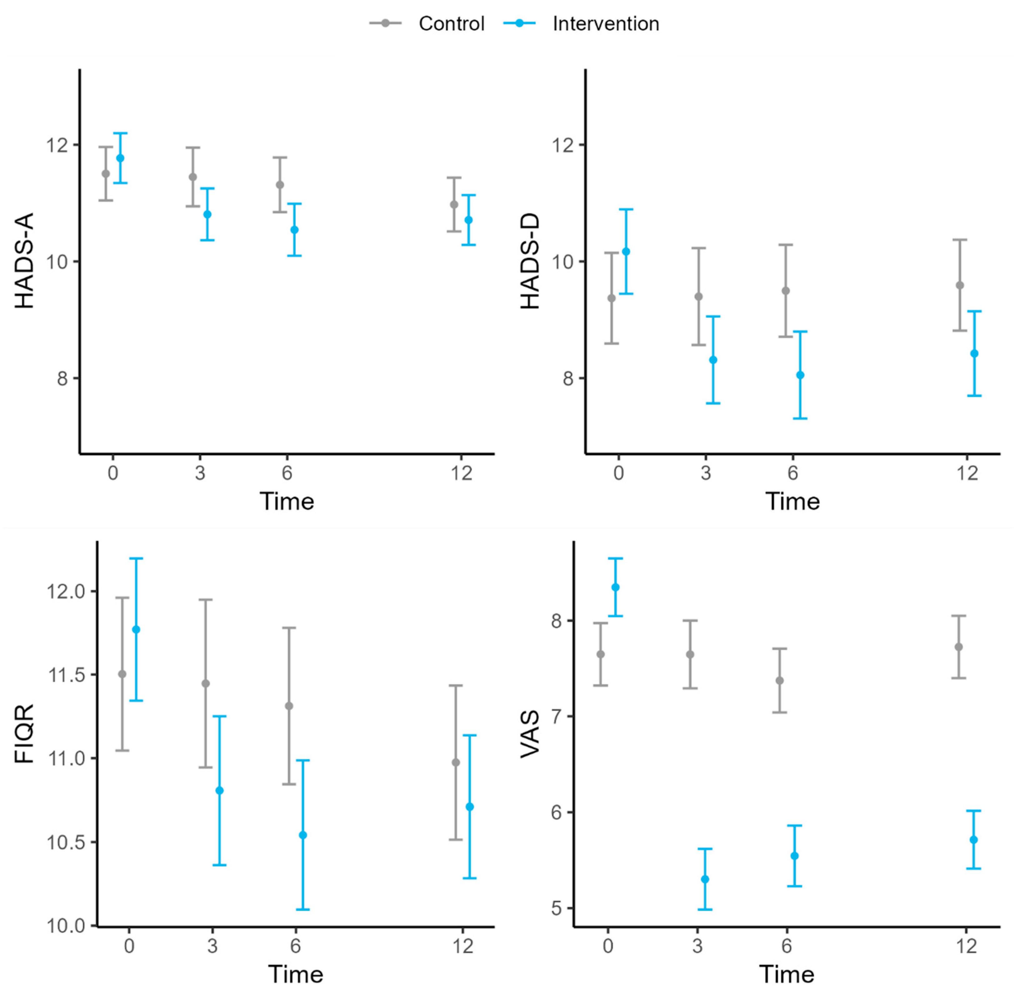
3.1.2. Impact of Fibromyalgia
3.1.3. Intensity of Pain
3.1.4. Anxiety and Depressive Symptoms
4. Discussion
Strengths and Limitations
5. Conclusions
Supplementary Materials
Author Contributions
Funding
Institutional Review Board Statement
Informed Consent Statement
Data Availability Statement
Acknowledgments
Conflicts of Interest
Abbreviations
References
- Jones, E.A.; Asaad, F.; Patel, N.; Jain, E.; Abd-Elsayed, A. Management of Fibromyalgia: An Update. Biomedicines 2024, 12, 1266. [Google Scholar] [CrossRef] [PubMed]
- Velasco-Furlong, L.; Gutiérrez-Hermoso, L.; Mateos-Pintado, B.; Castro, D.G.; Blanco-Rico, S.; Sanromán-Canelada, L.; López-Roig, S.; Pastor-Mira, M.Á.; Peñacoba-Puente, C. The 4 u’s rule of fibromyalgia: A proposed model for fatigue in a sample of women with fibromyalgia: A qualitative study. Int. J. Environ. Res. Public Health 2020, 17, 6224. [Google Scholar] [CrossRef] [PubMed]
- Jurado-Priego, L.N.; Cueto-Ureña, C.; Jesús Ramírez-Expósito, M.J.; Martínez-Martos, J.M. Fibromyalgia: A Review of the Pathophysiological Mechanisms and Multidisciplinary Treatment Strategies. Biomedicines 2024, 12, 1543. [Google Scholar] [CrossRef] [PubMed]
- Seoane-Mato, D.; Sánchez-Piedra, C.; Silva-Fernández, L.; Sivera, F.; Blanco, F.J.; Pérez Ruiz, F.; Juan-Mas, A.; Pego-Reigosa, J.M.; Narváez, J.; Quilis Martí, N.; et al. Prevalence of rheumatic diseases in adult population in Spain (EPISER 2016 study): Aims and methodology. Reumatol. Clin. 2019, 15, 90–96. [Google Scholar] [CrossRef]
- Wolfe, F.; Clauw, D.J.; Fitzcharles, M.A.; Goldenberg, D.L.; Häuser, W.; Katz, R.L.; Mease, P.J.; Russell, A.S.; Russell, I.J.; Walitt, B. 2016 Revisions to the 2010/2011 fibromyalgia diagnostic criteria. Semin. Arthritis Rheum. 2016, 46, 319–329. [Google Scholar] [CrossRef]
- Kang, J.H.; Choi, S.E.; Park, D.J.; Lee, S.S. Disentangling Diagnosis and Management of Fibromyalgia. J. Rheum. Dis. 2022, 29, 4–13. [Google Scholar] [CrossRef] [PubMed]
- Clauw, D.J.; D’Arcy, Y.; Gebke, K.; Semel, D.; Pauer, L.; Jones, K.D. Normalizing fibromyalgia as a chronic illness. Postgrad. Med. 2018, 130, 9–18. [Google Scholar] [CrossRef]
- Häuser, W.; Fitzcharles, M.A. Facts and myths pertaining to fibromyalgia. Dialogues Clin. Neurosci. 2018, 20, 53–62. [Google Scholar] [CrossRef]
- Kundakci, B.; Kaur, J.; Goh, S.L.; Hall, M.; Doherty, M.; Zhang, W.; Abhishek, A. Efficacy of nonpharmacological interventions for individual features of fibromyalgia: A systematic review and meta-analysis of randomised controlled trials. Pain 2022, 163, 1432–1445. [Google Scholar] [CrossRef]
- Majdoub, F.; Ben Nessib, D.; Ferjani, H.L.; Kaffel, D.; Triki, W.; Maatallah, K.; Hamdi, W. Non-pharmacological therapies in Fibromyalgia: New horizons for physicians, new hopes for patients. Musculoskelet. Care 2023, 21, 603–610. [Google Scholar] [CrossRef] [PubMed]
- Giorgi, V.; Bazzichi, L.; Batticciotto, A.; Pellegrino, G.; Di Franco, M.; Sirotti, S.; Atzeni, F.; Alciati, A.; Salaffi, F.; Sarzi Puttini, P. Fibromyalgia: One year in review 2023. Clin. Exp. Rheumatol. 2023, 41, 1205–1213. [Google Scholar] [CrossRef]
- Llàdser, A.N.; Montesó-Curto, P.; López, C.; Rosselló, L.; Lear, S.; Toussaint, L.; Casadó-Martín, L.C. Multidisciplinary rehabilitation treatments for patients with fibromyalgia: A systematic review. Eur. J. Phys. Rehabil. Med. 2022, 58, 76–84. [Google Scholar] [CrossRef] [PubMed]
- Macfarlane, G.J.; Kronisch, C.; Dean, L.E.; Atzeni, F.; Häuser, W.; Fluß, E.; Choy, E.; Kosek, E.; Amris, K.; Branco, J.; et al. EULAR revised recommendations for the management of fibromyalgia. Ann. Rheum. Dis. 2017, 76, 318–328. [Google Scholar] [CrossRef]
- Mascarenhas, R.O.; Souza, M.B.; Oliveira, M.X.; Lacerda, A.C.; Mendonça, V.A.; Henschke, N.; Oliveira, V.C. Association of Therapies with Reduced Pain and Improved Quality of Life in Patients with Fibromyalgia: A Systematic Review and Meta-analysis. JAMA Intern. Med. 2021, 181, 104–112. [Google Scholar] [CrossRef]
- Departament de Salut. Generalitat de Catalunya. Pla Operatiu d’Atenció a les Persones Afectades per les Síndromes de Sensibilització Central: Fibromiàlgia, Síndrome de Fatiga Crònica i Síndrome de Sensibilitat Química Múltiple. 2a ed. Barcelona: Direcció General de Planificació en Salut. 2017. Available online: https://scientiasalut.gencat.cat/handle/11351/5634 (accessed on 20 May 2024).
- Caballol Angelats, R.; Gonçalves, A.Q.; Aguilar Martín, C.; Sancho Sol, M.C.; González Serra, G.; Casajuana, M.; Carrasco-Querol, N.; Fernández-Sáez, J.; Dalmau Llorca, M.R.; Abellana, R.; et al. Effectiveness, cost-utility, and benefits of a multicomponent therapy to improve the quality of life of patients with fibromyalgia in primary care. Medicine 2019, 98, e17289. [Google Scholar] [CrossRef] [PubMed]
- Arfuch, V.M.; Caballol Angelats, R.; Aguilar Martín, C.; Gonçalves, A.Q.; Carrasco-Querol, N.; González Serra, G.; Sancho Sol, M.C.; Fusté Anguera, I.; Friberg, E.; Berenguera, A. Patients’ Lived Experience in a Multicomponent Intervention for Fibromyalgia Syndrome in Primary Care: A Qualitative Interview Study. Int. J. Environ. Res. Public Health 2022, 19, 13322. [Google Scholar] [CrossRef] [PubMed]
- Arfuch, V.M.; Queiroga Gonçalves, A.; Caballol Angelats, R.; Aguilar Martín, C.; Carrasco-Querol, N.; Sancho Sol, M.C.; González Serra, G.; Fusté Anguera, I.; Berenguera, A. Patients’ appraisals about a multicomponent intervention for fibromyalgia syndrome in primary care: A focus group study. Int. J. Qual. Stud. Health Well-Being 2021, 16, 2005760. [Google Scholar] [CrossRef]
- Caballol Angelats, R.; Aguilar Martín, C.; Carrasco-Querol, N.; Abellana, R.; González Serra, G.; Gràcia Benaiges, D.; Sancho Sol, M.C.; Fusté Anguera, I.; Chavarria Jordana, S.; Berenguera, A.; et al. Usefulness of a Multicomponent Group Intervention Program for Fibromyalgia Patients in Primary Care: A Qualitative Study of Health Professionals. Healthcare 2023, 12, 17. [Google Scholar] [CrossRef] [PubMed]
- Alonso, J.; Prieto, L.; Antó, J.M. The Spanish version of the SF-36 Health Survey (the SF-36 health questionnaire): An instrument for measuring clinical results. Med. Clin. (Barc.) 1995, 104, 771–776. [Google Scholar]
- Bennett, R.M.; Friend, R.; Jones, K.D.; Ward, R.; Han, B.K.; Ross, R.L. The Revised Fibromyalgia Impact Questionnaire (FIQR): Validation and psychometric properties. Arthritis Res. Ther. 2009, 11, R120. [Google Scholar] [CrossRef] [PubMed]
- Salgueiro, M.; García-Leiva, J.M.; Ballesteros, J.; Hidalgo, J.; Molina, R.; Calandre, E.P. Validation of a Spanish version of the Revised Fibromyalgia Impact Questionnaire (FIQR). Health Qual. Life Outcomes 2013, 11, 132. [Google Scholar] [CrossRef]
- Marques, A.P.; Assumpção, A.; Matsutani, L.A.; Pereira, C.A.; Lage, L. Pain in fibromyalgia and discrimination power of the instruments: Visual Analog Scale, Dolorimetry and the McGill Pain Questionnaire. Acta Reumatol. Port. 2008, 33, 345–351. [Google Scholar] [PubMed]
- Crawford, B.K.; Piault, E.C.; Lai, C.; Bennett, R.M. Assessing fibromyalgia-related fatigue: Content validity and psychometric performance of the Fatigue Visual Analog Scale in adult patients with fibromyalgia. Clin. Exp. Rheumatol. 2011, 29, S34–S43. [Google Scholar] [PubMed]
- Vallejo, M.A.; Rivera, J.; Esteve-Vives, J.; Rodríguez-Muñoz, M.F.; Grupo ICAF. Use of the Hospital Anxiety and Depression Scale (HADS) to evaluate anxiety and depression in fibromyalgia patients. Rev. Psiquiatr. Salud Ment. 2012, 5, 107–114. [Google Scholar] [CrossRef]
- Cabrera, V.; Martín-Aragón, M.; Terol, M.C.; Núñez, R.; Pastor, M.A. Hospital Anxiety and depression Scale (HADS) in fibromyalgia: Sensitivity and specific analysis. Ter. Psicol. 2015, 33, 181–193. [Google Scholar] [CrossRef]
- Laird, N.M.; Ware, J.H. Random-effects models for longitudinal data. Biometrics 1982, 38, 963–974. [Google Scholar] [CrossRef]
- Schulz, K.F.; Altman, D.G.; Moher, D. CONSORT 2010 Statement: Updated guidelines for reporting parallel group randomised trials. BMJ 2010, 340, c332. [Google Scholar] [CrossRef]
- Vilagut, G.; Ferrer, M.; Rajmil, L.; Rebollo, P.; Permanyer-Miralda, G.; Quintana, J.M.; Santed, R.; Valderas, J.M.; Ribera, A.; Domingo-Salvany, A.; et al. The Spanish version of the Short Form 36 Health Survey: A decade of experience and new developments. Gac. Sanit. 2005, 19, 135–150. [Google Scholar] [CrossRef] [PubMed]
- Ortega-Martínez, A.R.; Grande-Gascón, M.L.; Calero-García, M.J. Influence of socio-affective factors on quality of life in women diagnosed with fibromyalgia. Front. Psychol. 2023, 14, 1229076. [Google Scholar] [CrossRef]
- Lazaridou, A.; Koulouris, A.; Dorado, K.; Chai, P.; Edwards, R.R.; Schreiber, K.L. The impact of a daily yoga program for women with fibromyalgia. Int. J. Yoga 2019, 12, 206–217. [Google Scholar] [CrossRef]
- Oliveira, J.P.R.; Berardinelli, L.M.M.; Cavaliere, M.L.A.; Rosa, R.C.A.; Costa, L.P.D.; Barbosa, J.S.O. The routines of women with fibromyalgia and an interdisciplinary challenge to promote self-care. Rev. Gaúcha Enferm. 2019, 40, e20180411. [Google Scholar] [CrossRef]
- Kaltsas, G.; Tsiveriotis, K. Fibromyalgia 2003. In Endotext [Internet]; Feingold, K.R., Anawalt, B., Blackman, M.R., Eds.; MDText.com, Inc.: South Dartmouth, MA, USA, 2000. [Google Scholar]
- Chen, A.T. The Relationship Between Health Management and Information Behavior Over Time: A Study of the Illness Journeys of People Living With Fibromyalgia. J. Med. Internet Res. 2016, 18, e269. [Google Scholar] [CrossRef] [PubMed]
- Zhang, K.D.; Wang, L.Y.; Zhang, Z.H.; Zhang, D.X.; Lin, X.W.; Meng, T.; Qi, F. Effect of Exercise Interventions on Health-Related Quality of Life in Patients with Fibromyalgia Syndrome: A Systematic Review and Network Meta-Analysis. J. Pain. Res. 2022, 15, 3639–3656. [Google Scholar] [CrossRef]
- Cojocaru, C.M.; Popa, C.O.; Schenk, A.; Suciu, B.A.; Szasz, S. Cognitive-behavioral therapy and acceptance and commitment therapy for anxiety and depression in patients with fibromyalgia: A systematic review and meta-analysis. Med. Pharm. Rep. 2023, 97, 26–34. [Google Scholar] [CrossRef] [PubMed]
- Pearson, J.; Whale, K.; Walsh, N.E.; Derham, S.; Russell, J.; Cramp, F. Fibromyalgia Self-Management: Mapping the behaviour change techniques used in a practice-based programme. Musculoskeletal Care 2020, 18, 372–382. [Google Scholar] [CrossRef]
- Saracoglu, I.; Akin, E.; Aydin Dincer, G.B. Efficacy of adding pain neuroscience education to a multimodal treatment in fibromyalgia: A systematic review and meta-analysis. Int. J. Rheum. Dis. 2022, 25, 394–404. [Google Scholar] [CrossRef] [PubMed]
- Turcotte, K.; Oelke, N.D.; Whitaker, G.; Holtzman, S.; O’Connor, B.; Pearson, N.; Teo, M. Multi-disciplinary community-based group intervention for fibromyalgia: A pilot randomized controlled trial. Rheumatol. Int. 2023, 43, 2201–2210. [Google Scholar] [CrossRef]
- Serrat, M.; Sanabria-Mazo, J.P.; Almirall, M.; Musté, M.; Feliu-Soler, A.; Méndez-Ulrich, J.L.; Sanz, A.; Luciano, J.V. Effectiveness of a Multicomponent Treatment Based on Pain Neuroscience Education, Therapeutic Exercise, Cognitive Behavioral Therapy, and Mindfulness in Patients With Fibromyalgia (FIBROWALK Study): A Randomized Controlled Trial. Phys. Ther. 2021, 101, pzab200. [Google Scholar] [CrossRef] [PubMed]
- Martín, J.; Torre, F.; Aguirre, U.; González, N.; Padierna, A.; Matellanes, B.; Quintana, J.M. Evaluation of the Interdisciplinary PSYMEPHY Treatment on Patients with Fibromyalgia: A Randomized Control Trial. Pain. Med. 2014, 15, 682–691. [Google Scholar] [CrossRef] [PubMed]
- Cedraschi, C.; Desmeules, J.; Rapiti, E.; Baumgartner, E.; Cohen, P.; Finckh, A.; Allaz, A.F.; Vischer, T.L. Fibromyalgia: A randomised, controlled trial of a treatment programme based on self management. Ann. Rheum. Dis. 2004, 63, 290–296. [Google Scholar] [CrossRef] [PubMed]
- Wilson, N.; Beasley, M.J.; Pope, C.; Dulake, D.; Moir, L.J.; Hollick, R.J.; Macfarlane, G.J. UK healthcare services for people with fibromyalgia: Results from two web-based national surveys (the PACFiND study). BMC Health Serv. Res. 2022, 22, 989. [Google Scholar] [CrossRef]
- Goldenberg, D.L.; Burckhardt, C.; Crofford, L. Management of fibromyalgia syndrome. JAMA 2004, 292, 2388–2395. [Google Scholar] [CrossRef] [PubMed]
- Gencat, Institut Català de la Salut. Educació sanitària [online]. Available online: https://ics.gencat.cat/ca/Ciutadania/que-oferim/tractament/educacio-sanitaria/ (accessed on 20 May 2024).
- Geraghty, A.W.A.; Maund, E.; Newell, D.; Santer, M.; Everitt, H.; Price, C.; Pincus, T.; Moore, M.; Little, P.; West, R.; et al. Self-management for chronic widespread pain including fibromyalgia: A systematic review and meta-analysis. PLoS ONE 2021, 16, e0254642. [Google Scholar] [CrossRef]
- Gómez-de-Regil, L. Psychoeducation for Patients with Fibromyalgia: A Systematic Review. Healthcare 2021, 9, 737. [Google Scholar] [CrossRef] [PubMed]
- Galvez-Sánchez, C.M.; Montoro, C.I. Psychoeducation for Fibromyalgia Syndrome: A Systematic Review of Emotional, Clinical and Functional Related-Outcomes. Behav. Sci. 2023, 13, 415. [Google Scholar] [CrossRef] [PubMed]
- Sosa-Reina, M.D.; Nunez-Nagy, S.; Gallego-Izquierdo, T.; Pecos-Martín, D.; Monserrat, J.; Álvarez-Mon, M. Effectiveness of Therapeutic Exercise in Fibromyalgia Syndrome: A Systematic Review and Meta-Analysis of Randomized Clinical Trials. Biomed. Res. Int. 2017, 2017, 2356346. [Google Scholar] [CrossRef]
- Bidonde, J.; Busch, A.J.; Schachter, C.L.; Webber, S.C.; Musselman, K.E.; Overend, T.J.; Góes, S.M.; Dal Bello-Haas, V.; Boden, C. Mixed exercise training for adults with fibromyalgia. Cochrane Database Syst. Rev. 2019, 5, CD013340. [Google Scholar] [CrossRef] [PubMed]
- Pei, J.H.; Ma, T.; Nan, R.L.; Chen, H.X.; Zhang, Y.B.; Gou, L.; Dou, X.M. Mindfulness-Based Cognitive Therapy for Treating Chronic Pain A Systematic Review and Meta-analysis. Psychol. Health Med. 2021, 26, 333–346. [Google Scholar] [CrossRef] [PubMed]
- Maruish, M.E. User’s Manual for the SF-36v2 Health Survey, 3rd ed.; QualityMetric Incorporated: Johnston, RI, USA, 2011. [Google Scholar]




| All Patients | Control | Intervention | p Value | |
|---|---|---|---|---|
| N = 302 | N = 140 | N = 162 | ||
| Sex (woman), n (%) | 293 (97.0) | 135 (96.4) | 158 (97.5) | 0.738 |
| Age, mean (SD) | 61.5 (10.7) | 62.6 (11.0) | 60.6 (10.3) | 0.105 |
| Civil status, n (%) | 0.138 | |||
| Married | 211 (76.2) | 92 (70.8) | 119 (81.0) | |
| Divorced | 36 (13.0) | 19 (14.6) | 17 (11.6) | |
| Single | 13 (4.69) | 7 (5.38) | 6 (4.08) | |
| Widowed | 17 (6.14) | 12 (9.23) | 5 (3.40) | |
| Education, n (%) | 0.003 | |||
| None | 54 (19.6) | 17 (13.1) | 37 (25.3) | |
| Primary | 138 (50.0) | 67 (51.5) | 71 (48.6) | |
| Secondary | 64 (23.2) | 30 (23.1) | 34 (23.3) | |
| Higher/university | 20 (7.25) | 16 (12.3) | 4 (2.74) | |
| Employment status, n (%) | 0.252 | |||
| Employed (active) | 106 (38.3) | 47 (36.2) | 59 (40.1) | |
| Unemployed | 29 (10.5) | 16 (12.3) | 13 (8.84) | |
| Retired | 71 (25.6) | 39 (30.0) | 32 (21.8) | |
| Disabled | 25 (9.03) | 8 (6.15) | 17 (11.6) | |
| Homemaker | 46 (16.6) | 20 (15.4) | 26 (17.7) | |
| Living alone, n (%) | 25 (8.28) | 19 (13.6) | 6 (3.70) | 0.004 |
| Years since FM diagnosis, mean (SD) | 7.05 (5.98) | 7.33 (5.79) | 6.80 (6.14) | 0.445 |
| No. of symptoms (SD) | 4.30 (2.26) | 4.42 (2.34) | 4.20 (2.19) | 0.407 |
| No. of comorbidities, mean (SD) | 1.27 (1.20) | 1.36 (1.22) | 1.20 (1.17) | 0.269 |
| No. of triggering factors, mean (SD) | 1.19 (0.80) | 1.23 (0.70) | 1.16 (0.88) | 0.457 |
| No. of factors responsible for maintenance, mean (SD) | 1.10 (0.78) | 1.16 (0.74) | 1.04 (0.81) | 0.154 |
| No. of sessions, mean (SD) | - | - | 9.70 (2.32) | - |
| SF-36 PCS, mean (SD) | 29.17 (7.79) | 28.32 (7.22) | 29.94 (8.19) | 0.056 |
| SF-36 MCS, mean (SD) | 35.44 (10.07) | 36.47(10.31) | 34.50(9.81) | 0.103 |
| FIQR, mean (SD) | 66.20 (18.6) | 67.36 (17.56) | 67.27 (19.55) | 0.328 |
| VAS, mean (SD) | 8.03 (1.79) | 7.65 (1.78) | 8.35 (1.74) | 0.001 |
| HADS-A, mean (SD) | 11.6 (2.93) | 11.5 (2.95) | 11.7 (2.91) | 0.535 |
| HADS-D, mean (SD) | 9.79 (4.54) | 9.41 (4.53) | 10.1 (4.53) | 0.180 |
| PCS | Physical Functioning | Role Physical | Bodily Pain | General Health | ||
|---|---|---|---|---|---|---|
| Variable | Estimate (SE) | Estimate (SE) | Estimate (SE) | Estimate (SE) | Estimate (SE) | |
| Intercept | 31.62 (1.0) * | 42.93 (2.89) * | 33.07 (1.16) * | 30.45 (0.87) * | 32.63 (1.03) * | |
| Group | Control | 1 | 1 | 1 | 1 | 1 |
| Intervention | 1.62 (0.94) | 1.19 (1.07) | −0.12 (1.12) | 0.17 (0.86) | 1.22 (0.98) | |
| Time | Basal | 1 | 1 | 1 | 1 | 1 |
| 3 mo | 1.15 (0.70) | 0.19 (0.79) | 1.17 (0.96) | 0.99 (0.79) | 0.83 (0.83) | |
| 6 mo | 1.1 (0.71) | 0.11 (0.75) | 0.50 (0.91) | 1.36 (0.75) | 1.06 (0.78) | |
| 12 mo | 0.57 (0.71) | −0.99 (0.74) | 1.28 (0.90) | 0.66 (0.73) | 1.09 (0.77) | |
| No. symptoms | −0.77 (0.16) * | −0.74 (0.19) * | −0.74 (0.19) * | −0.52 (0.14) * | −0.71 (0.17) * | |
| Age (years) | - | −0.15 (0.04)* | - | - | - | |
| Interaction | Intervention: 3 mo | 2.50 (0.94) * | 3.30(1.06) * | 3.38 (1.29) * | 3.84 (1.06) * | 2.47 (1.11) * |
| Intervention: 6 mo | 2.38 (0.98) * | 3.10 (1.03) * | 4.42 (1.25) * | 1.50 (1.02) | 1.99 (1.07) | |
| Intervention: 12 mo | 2.55 (0.97) * | 3.62 (1.00) * | 2.55 (1.22) * | 3.17 (0.99) * | 1.68 (1.05) * | |
| SD random intercept | 5.54 | 6.94 | 6.19 | 4.27 | 5.63 | |
| SD residual | 5.91 | 6.09 | 7.42 | 6.08 | 6.37 | |
| Autocorrelation | 0.55 | - | - | - | - | |
| Baseline | 3 Months | 6 Months | 12 Months | |
|---|---|---|---|---|
| SF-36 PCS | −1.62 (−3.47, 0.23) | −4.13 (−6.08, −2.17) * | −4.00 (−5.90, −2.10) * | −4.17 (−6.02,−2.33) * |
| Physical Functioning | −1.19 (−3.30, 0.92) | −4.49 (−6.72, −2.27) * | −4.29 (−6.45, −2.13) * | −4.81 (−6.92, −2.69) * |
| Role Physical | 0.12 (−2.08, 2.33) | −3.26 (−5.63, −0.89) * | −4.30 (−6.58, −2.02) * | −2.43 (−4.64, −0.23) * |
| Bodily Pain | −0.17 (−1.86, 1.52) | −4.01 (−5.84, −2.17) * | −1.67 (−3.42, 0.09) | −3.34 (−5.04, −1.65) * |
| General Health | −1.22 (−3.16, 0.72) | −3.69 (−5.77, −1.62) * | −3.21 (−5.21, −1.21) * | −2.90 (−4.84, −0.96) * |
| SF-36 MCS | 1.91 (−0.28, 4.11) | −2.58 (−4.92, −0.23) * | −1.55 (−3.81, 0.71) | −1.78 (−3.98, 0.42) |
| Vitality | −0.18 (−2.40, 2.03) | −5.37(−7.71, −3.02) * | −2.94 (−5.22, −0.66) * | −3.77 (−5.98, −1.55) * |
| Social Functioning | 0.22 (−2.59, 3.03) | −0.74 (−3.74, 2.26) | −2.67 (−5.57, 0.22) | −3.83 (−6.64, −1.02) * |
| Role Emotional | 1.95 (−1.21, 5.11) | −4.98 (−8.35, −1.60) * | −3.87 (−7.12, −0.62) * | −3.42 (−6.58, −0.26) * |
| Mental Health | 1.35 (−0.16, 2.85) | −1.87 (−3.50, −0.23) * | −0.57 (−2.14, 0.99) | −0.36 (−1.87, 1.15) |
| FIQR | 1.68 (−2.74, 6.10) | 17.68 (13.03, 22.33) * | 12.46 (7.93, 16.99) * | 14.9 (10.47,19.33) * |
| VAS | −0.70 (−1.15; −0.26) * | 2.34 (1.87; 2.82) * | 1.83 (1.37; 2.29) * | 2.01 (1.57; 2.46) * |
| HADS-A | −0.27 (−0.89, 0.36) | 0.64 (−0.03, 1.31) | 0.77 (0.12, 1.42) * | 0.26 (−0.36, 0.89) |
| HADS-D | −0.80 (−1.86, 0.26) | 1.09 (−0.03, 2.20) | 1.44 (0.36, 2.53) * | 1.17 (0.11, 2.23) * |
| MCS | Vitality | Social Functioning | Role Emotional | Mental Health | ||
|---|---|---|---|---|---|---|
| Variable | Estimate (SE) | Estimate (SE) | Estimate (SE) | Estimate (SE) | Estimate (SE) | |
| Intercept | 37.28 (1.29) * | 36.1 (1.18) * | 35.28 (1.51) * | 35.42 (1.69) * | 36.28 (0.65) * | |
| Group | Control | 1 | 1 | 1 | 1 | 1 |
| Intervention | −1.91 (1.12) | 0.18 (1.1) | −0.22 (1.43) | −1.95 (1.60) | −1.35 (0.76) | |
| Time | Basal | 1 | 1 | 1 | 1 | 1 |
| 3 mo | 0.72 (0.92) | 0.75 (0.86) | 4.11 (1.17) * | −0.43 (1.33) | −0.21 (0.72) | |
| 6 mo | 0.08 (0.87) | 0.89 (0.91) | 1.84 (1.11) | −0.91 (1.25) | −0.06 (0.68) | |
| 12 mo | 0.01 (0.85) | 0.36 (0.93) | 0.31 (1.09) | −1.15 (1.23) | 0.73 (0.67) | |
| No. symptoms | −0.51 (0.19) * | −0.51 (0.19) * | −0.93 (0.25) * | −0.59 (0.27) * | - | |
| Years since FM diagnosis | 0.20 (0.07) * | - | - | - | 0.15 (0.04) * | |
| Interaction | Intervention: 3 mo | 4.49 (1.23) * | 5.18 (1.15) * | 0.96 (1.57) | 6.93 (1.78) * | 3.21 (0.97) * |
| Intervention: 6 mo | 3.46 (1.19) * | 2.76 (1.2) * | 2.90 (1.52) | 5.82 (1.72) * | 1.92 (0.94) * | |
| Intervention: 12 mo | 3.69 (1.16) * | 3.58 (1.27) * | 4.05 (1.48) * | 5.37 (1.68) * | 1.71 (0.92) | |
| SD random intercept | 6.54 | 5.85 | 8.36 | 9.36 | 3.52 | |
| SD residual | 7.07 | 7.75 | 9.04 | 10.21 | 5.59 | |
| Autocorrelation | - | 0.66 | - | - | - | |
| FIQR | VAS | HADS-A | HADS-D | ||
|---|---|---|---|---|---|
| Variable | Estimate (SE) | Estimate (SE) | Estimate (SE) | Estimate (SE) | |
| Intercept | 58.84 (2.42) * | 7.65 (0.17) * | 10.57 (0.33) * | 7.75 (0.60) * | |
| Group | Control | 1 | 1 | 1 | 1 |
| Intervention | −1.68 (2.24) | 0.70 (0.22) * | 0.27 (0.32) | 0.80 (0.54) | |
| Time | Basal | 1 | 1 | 1 | 1 |
| 3 mo | −3.47 (1.60) * | −0.002 (0.19) | −0.06 (0.27) | 0.03 (0.38) | |
| 6 mo | −2.50 (1.64) | −0.28 (0.20) | −0.19 (0.25) | 0.13 (0.35) | |
| 12 mo | 0.60 (1.64) | 0.08 (0.21) | −0.53 (0.25) * | 0.22 (0.35) | |
| No. symptoms | 1.93 (0.40) * | - | 0.22 (0.05) * | 0.38 (0.10) * | |
| Interaction | Intervention: 3 mo | −1.60 (2.15) * | −3.05 (0.25) * | −0.90 (0.36) * | −1.88 (0.50) * |
| Intervention: 6 mo | −10.78 (2.26) * | −2.53 (0.28) * | −1.04 (0.35) * | −2.24 (0.49) * | |
| Intervention: 12 mo | −13.22 (2.25) * | −2.71 (0.28) * | −0.53 (0.34) | −1.97 (0.47) * | |
| SD random intercept | 13.8 | 0.86 | 1.77 | 3.66 | |
| SD residual | 13.7 | 1.75 | 2.09 | 2.89 | |
| Autocorrelation | 0.58 | 0.69 | - | - | |
Disclaimer/Publisher’s Note: The statements, opinions and data contained in all publications are solely those of the individual author(s) and contributor(s) and not of MDPI and/or the editor(s). MDPI and/or the editor(s) disclaim responsibility for any injury to people or property resulting from any ideas, methods, instructions or products referred to in the content. |
© 2024 by the authors. Licensee MDPI, Basel, Switzerland. This article is an open access article distributed under the terms and conditions of the Creative Commons Attribution (CC BY) license (https://creativecommons.org/licenses/by/4.0/).
Share and Cite
Caballol Angelats, R.; Gonçalves, A.Q.; Abellana, R.; Carrasco-Querol, N.; Pàmies Corts, A.; González Serra, G.; Gràcia Benaiges, D.; Sancho Sol, M.C.; Fusté Anguera, I.; Chavarria Jordana, S.; et al. Effectiveness of a Multicomponent Program for Fibromyalgia Patients in a Primary Care Setting (FIBROCARE Program): A Pragmatic Randomized Controlled Trial. J. Clin. Med. 2025, 14, 161. https://doi.org/10.3390/jcm14010161
Caballol Angelats R, Gonçalves AQ, Abellana R, Carrasco-Querol N, Pàmies Corts A, González Serra G, Gràcia Benaiges D, Sancho Sol MC, Fusté Anguera I, Chavarria Jordana S, et al. Effectiveness of a Multicomponent Program for Fibromyalgia Patients in a Primary Care Setting (FIBROCARE Program): A Pragmatic Randomized Controlled Trial. Journal of Clinical Medicine. 2025; 14(1):161. https://doi.org/10.3390/jcm14010161
Chicago/Turabian StyleCaballol Angelats, Rosa, Alessandra Queiroga Gonçalves, Rosa Abellana, Noèlia Carrasco-Querol, Anna Pàmies Corts, Gemma González Serra, Dolors Gràcia Benaiges, Maria Cinta Sancho Sol, Immaculada Fusté Anguera, Susana Chavarria Jordana, and et al. 2025. "Effectiveness of a Multicomponent Program for Fibromyalgia Patients in a Primary Care Setting (FIBROCARE Program): A Pragmatic Randomized Controlled Trial" Journal of Clinical Medicine 14, no. 1: 161. https://doi.org/10.3390/jcm14010161
APA StyleCaballol Angelats, R., Gonçalves, A. Q., Abellana, R., Carrasco-Querol, N., Pàmies Corts, A., González Serra, G., Gràcia Benaiges, D., Sancho Sol, M. C., Fusté Anguera, I., Chavarria Jordana, S., Cuevas Baticón, B., Batlle Escolies, G., Fibla Reverté, M., Espuny Vallés, N., Buera Pitarque, N., Martí Cavallé, M., Suazo, N. P., Estivill Bargalló, J., López Guerrero, M. À., ... Aguilar Martín, C. (2025). Effectiveness of a Multicomponent Program for Fibromyalgia Patients in a Primary Care Setting (FIBROCARE Program): A Pragmatic Randomized Controlled Trial. Journal of Clinical Medicine, 14(1), 161. https://doi.org/10.3390/jcm14010161

