Pain of Threatened Self: Explicit and Implicit Self-Esteem, Cortisol Responses to a Social Threat and Pain Perception
Abstract
1. Introduction
2. Materials and Methods
2.1. Participants
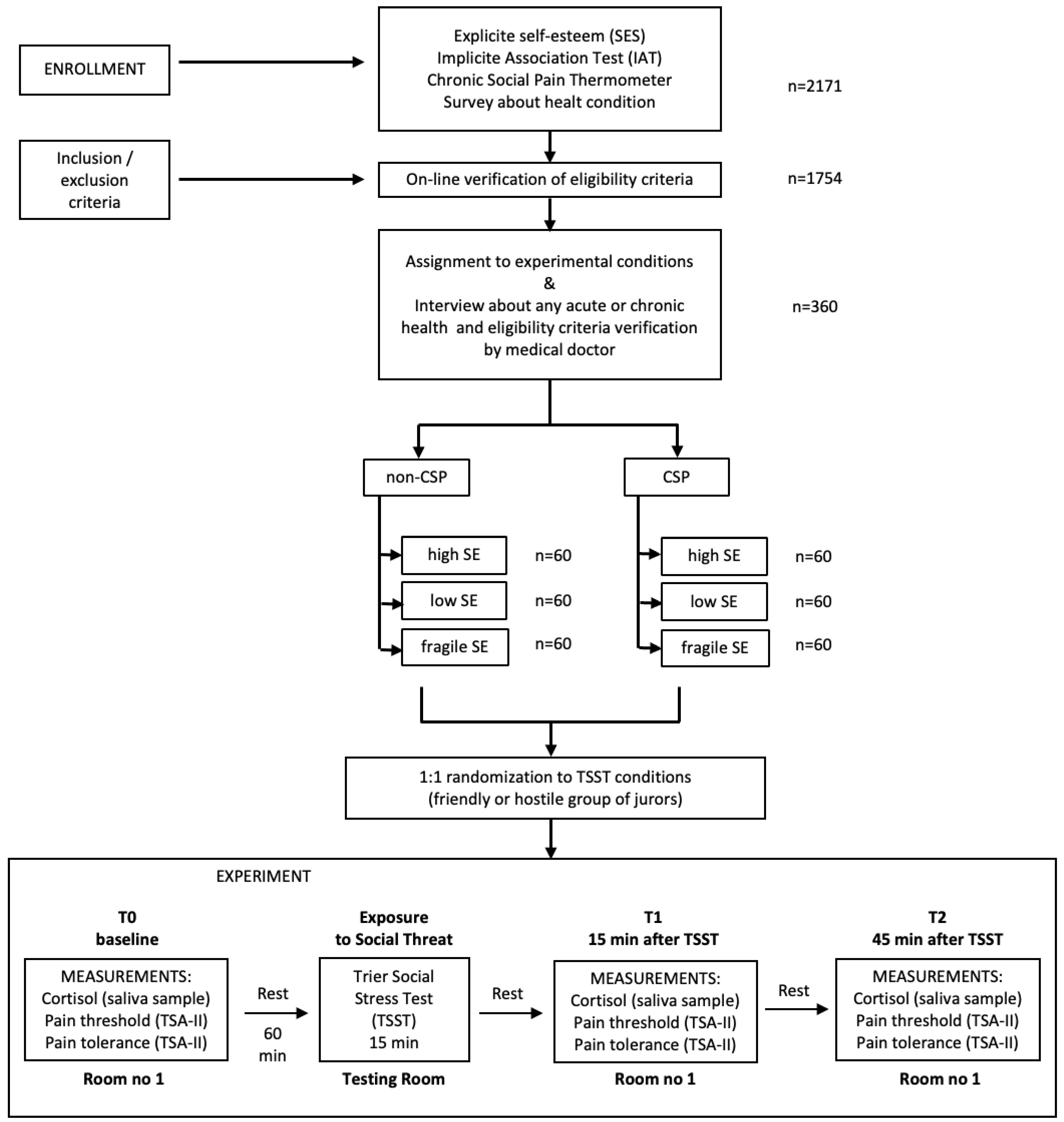
2.2. Study Design
2.3. Methods
2.4. Data Analysis
3. Results
4. Discussion
5. Conclusions
Author Contributions
Funding
Institutional Review Board Statement
Informed Consent Statement
Data Availability Statement
Conflicts of Interest
References
- Rüther, L.; Jahn, J.; Marksteiner, T. #influenced! The impact of social media influencing on self-esteem and the role of social comparison and resilience. Front. Psychol. 2023, 14, 1216195. [Google Scholar] [CrossRef] [PubMed]
- Bergagna, E.; Tartaglia, S. Self-esteem, Social comparison, and facebook use. Eur. J. Psychol. 2018, 14, 831–845. [Google Scholar] [CrossRef] [PubMed]
- Eisenberger, N. Understanding the moderators of physical and emotional pain: A neural systems-based approach. Psychol. Inq. 2008, 19, 189–195. [Google Scholar] [CrossRef]
- Raja, S.N.; Carr, D.B.; Cohen, M.; Finnerup, N.B.; Flor, H.; Gibson, S.; Keefe, F.J.; Mogil, J.S.; Ringkamp, M.; Sluka, K.A.; et al. The revised International Association for the Study of Pain definition of pain: Concepts, challenges, and compromises. Pain 2020, 161, 1976–1982. [Google Scholar] [CrossRef] [PubMed]
- Ford, M.B.; Collins, N.L. Self-esteem moderates neuroendocrine and psychological responses to interpersonal rejection. J. Pers. Soc. Psychol. 2010, 98, 405–419. [Google Scholar] [CrossRef] [PubMed]
- Wojtyna, E.; Popiołek, K. The pain of a heart being broken: Pain experience and use of analgesics by caregivers of patients with Alzheimer’s disease. BMC Psychiatry 2015, 15, 176. [Google Scholar] [CrossRef] [PubMed][Green Version]
- Yao, M.; Lei, Y.; Li, P.; Ye, Q.; Liu, Y.; Li, X.; Peng, W. Shared sensitivity to physical pain and social evaluation. J. Pain 2020, 21, 677–688. [Google Scholar] [CrossRef]
- Dickerson, S.S.; Kemeny, M.E. Acute stressors and cortisol response: A theoretical integration and synthesis of laboratory research. Psychol. Bull. 2004, 130, 355–391. [Google Scholar] [CrossRef]
- Stetler, C.A.; Guinn, V. Cumulative cortisol exposure increases during the academic term: Links to performance-related and social-evaluative stressors. Psychoneuroendocrinology 2020, 114, 104584. [Google Scholar] [CrossRef]
- Eisenberger, N.I.; Lieberman, M.D. Why rejection hurts: A common neural alarm system for physical and social pain. Trends Cogn. Sci. 2004, 8, 294–300. [Google Scholar] [CrossRef]
- Dickerson, S.S.; Gruenewald, T.L.; Kemeny, M.E. When the social self is threatened: Shame, physiology, and health. J. Pers. 2004, 72, 1192–1216. [Google Scholar] [CrossRef] [PubMed]
- MacDonald, G.; Leary, M.R. Why does social exclusion hurt? The relationship between social and physical pain. Psychol. Bull. 2005, 131, 202–223. [Google Scholar] [CrossRef] [PubMed]
- Andrews, J.; D’Agular, C.; Pruessner, J.C. The combined dexamethasone/TSST paradigm—A new method for psychoneuroendocrinology. PLoS ONE 2012, 7, e38994. [Google Scholar] [CrossRef] [PubMed]
- Dickerson, S.S.; Mycek, P.J.; Zaldivar, F. Negative social evaluation, but not mere social presence, elicits cortisol responses to a laboratory stressor task. Health Psychol. 2008, 27, 116–121. [Google Scholar] [CrossRef]
- Gruenewald, T.L.; Kemeny, M.E.; Aziz, N.; Fahey, J.L. Acute threat to the social self: Shame, social self-esteem, and cortisol activity. Psychosom. Med. 2004, 66, 915–924. [Google Scholar] [CrossRef]
- Cohen, S.; Janicki-Deverts, D.; Miller, G.E. Psychological stress and disease. JAMA 2007, 298, 1685–1687. [Google Scholar] [CrossRef] [PubMed]
- Costantini, D.; Marasco, V.; Moller, A.P. A meta-analysis of glucocorticoids as modulators of oxidative stress in vertebrates. Adv. Exp. Soc. Psychol. 2011, 181, 447–456. [Google Scholar] [CrossRef] [PubMed]
- Xin, Y.; Wu, J.; Yao, Z.; Guan, Q.; Aleman, A.; Luo, Y. The relationship between personality and the response to acute psychological stress. Sci. Rep. 2017, 7, 16906. [Google Scholar] [CrossRef] [PubMed]
- Smrdu, M.; Kuder, A.; Turk, E.; Čelik, T.; Šet, J.; Kralj-Fišer, S. COVID-19 pandemic and lockdown: Associations with personality and stress components. Psychol. Rep. 2023, 126, 727–758. [Google Scholar] [CrossRef]
- Ogihara, Y. Temporal changes in individualism and their ramification in Japan: Rising individualism and conflicts with persisting collectivism. Front. Psychol. 2017, 8, 695. [Google Scholar] [CrossRef]
- Trzesniewski, K.H.; Donnellan, M.B.; Robins, R.W. Development of self-esteem. In Self-Esteem; Zeigler-Hill, V., Ed.; Psychology Press: London, UK; New York, NY, USA, 2013; pp. 60–79. [Google Scholar]
- Murray, S.L.; Holmes, J.G.; Collins, N.L. Optimizing assurance: The risk regulation system in relationships. Psychol. Bull. 2006, 132, 641–666. [Google Scholar] [CrossRef] [PubMed]
- Baldwin, M.W.; Baccus, J.R.; Fitzsimmons, G.M. Self-esteem and the dual processing of interpersonal contingencies. Self Identity 2004, 3, 81–93. [Google Scholar] [CrossRef]
- Bellavia, G.; Murray, S. Did I do that? Self-esteem-related differences in reaction to a romantic partner’s mood. Pers. Relatsh. 2003, 10, 77–95. [Google Scholar] [CrossRef]
- Dandenau, S.D.; Baldwin, M.W. The inhibition of socially rejecting information among people with high versus low self-esteem: The role of attentional bias and the effects of bias reduction training. J. Soc. Clin. Psychol. 2004, 23, 584–602. [Google Scholar] [CrossRef]
- Sommer, K.L.; Williams, K.D.; Ciarocco, N.J.; Baumeister, R.F. When silence speaks louder than words: Exploration into the intrapsychic and interpersonal consequences of social ostracism. Basic. Appl. Soc. Psychol. 2001, 23, 225–243. [Google Scholar] [CrossRef]
- Crocker, J.; Knight, K.M. Contingencies of self-worth. Curr. Dir. Psychol. Sci. 2005, 14, 200–203. [Google Scholar] [CrossRef] [PubMed]
- Kernis, M.H.; Waschull, S.B. The interactive roles of stability and level of self-esteem: Research and theory. Adv. Exp. Soc. Psychol. 1995, 27, 93–141. [Google Scholar] [CrossRef]
- Seery, M.D.; Blascovich, J.; Weisbuch, M.; Vick, B.S. The relationship between self-esteem level, self-esteem stability, and cardiovascular reactions to performance feedback. J. Pers. Soc. Psychol. 2004, 87, 133–145. [Google Scholar] [CrossRef] [PubMed][Green Version]
- Bosson, J.K.; Swann, W.B.; Pennebaker, J.W. Stalking the perfect measure of implicit self-esteem: The blind men and the elephant revisited? J. Pers. Soc. Psychol. 2000, 79, 631–643. [Google Scholar] [CrossRef]
- Mar, R.A.; DeYoung, C.G.; Higgins, D.M.; Peterson, J.B. Self-liking and self-competence separate self-evaluation from self-deception: Association with personality, ability, and achievement. J. Pers. 2006, 74, 1047–1078. [Google Scholar] [CrossRef]
- Greenwald, A.G.; Banaji, M.R. Implicit social cognition: Attitudes, self-esteem, and stereotypes. Psychol. Rev. 1995, 102, 4–27. [Google Scholar] [CrossRef] [PubMed]
- Bosson, J.K.; Brown, R.P.; Zeigler-Hill, V.; Swann, W.B. Self-enhancement tendencies among people with high explicit self-esteem: The moderating role of implicit self-esteem. Self Identity 2003, 2, 169–187. [Google Scholar] [CrossRef]
- Zeigler-Hill, V.; Clark, C.B.; Beckman, T.E. Fragile self-esteem and the interpersonal circumplex: Are feelings of self-worth associated with interpersonal style? Self Identity 2011, 10, 509–536. [Google Scholar] [CrossRef]
- Bosson, J.K.; Lakey, C.E.; Campbell, W.K.; Zeigler-Hill, V.; Jordan, C.H.; Kernis, M.H. Untangling the links between narcissism and self-esteem: A theoretical and empirical review. Soc. Cogn. Affect. Neurosci. 2008, 2, 1415–1439. [Google Scholar] [CrossRef]
- Campbell, W.K.; Rudich, E.; Sedikides, C. Narcissism, self-esteem, and the positivity of self-views: Two portraits of self-love. PSPB 2002, 28, 358–368. [Google Scholar] [CrossRef]
- Jordan, C.H.; Zeigler-Hill, V. The perils and pitfalls of (some) high self-esteem. In Self-Esteem; Zeigler-Hill, V., Ed.; Psychology Press: London, UK; New York, NY, USA, 2013; pp. 80–98. [Google Scholar]
- Aschbacher, K.; O’Donovan, A.; Wolkowitz, O.M.; Dhabhar, F.S.; Su, Y.; Epel, E. Good stress, bad stress and oxidative stress: Insights from anticipatory cortisol reactivity. Psychoneuroendocrinology 2013, 38, 1698–1708. [Google Scholar] [CrossRef] [PubMed]
- Noushad, S.; Ahmed, S.; Ansari, B.; Mustafa, U.H.; Saleem, Y.; Hazrat, H. Physiological biomarkers of chronic stress: A systematic review. Int. J. Health Sci. 2021, 15, 46–59. [Google Scholar]
- Drabant, E.M.; Kuo, J.R.; Ramel, W.; Blechert, J.; Edge, M.D.; Cooper, J.R.; Goldin, P.R.; Hariri, A.R.; Gross, J.J. Experimental, autonomic, and neural responses during threat anticipation vary as a function of threat intensity and neuroticism. Neuroimage 2011, 55, 401–410. [Google Scholar] [CrossRef] [PubMed]
- Van Loey, N.E.E.; Van Son, M.J.M. Psychopathology and psychological problems in patients with burn scars. Am. J. Clin. Dermatol. 2003, 4, 245–272. [Google Scholar] [CrossRef]
- Tinsae, T.; Shumet, S.; Takelle, G.M.; Rtbey, G.; Fentahun, S.; Getinet, W. Perceived and self-stigma in people with epilepsy in East Africa: Systematic review and meta-analysis. Seizure 2024, 117, 261–270. [Google Scholar] [CrossRef]
- Pinto-Ribeiro, F.; Moreira, V.; Pêgo, J.M.; Leão, P.; Almeida, A.; Sousa, N. Antinociception induced by chronic glucocorticoid treatment is correlated to local modulation of spinal neurotransmitter content. Mol. Pain 2009, 5, 41. [Google Scholar] [CrossRef] [PubMed]
- Miller, G.E.; Chen, E.; Zhou, E.S. If it goes up, must it come down? Chronic stress and the hypothalamic-pituitary-adrenocortical axis in humans. Psychol. Bull. 2007, 133, 25–45. [Google Scholar] [CrossRef] [PubMed]
- Fries, E.; Dettenborn, L.; Kirschbaum, C. The cortisol awakening response (CAR): Facts and future directions. Int. J. Psychophysiol. 2009, 72, 67–73. [Google Scholar] [CrossRef] [PubMed]
- Van Houdenhove, B.; Luyten, P.; Egle, U.T. Stress as a key concept in chronic widespread pain and fatigue disorders. J. Musculoskelet. Pain 2009, 17, 390–399. [Google Scholar] [CrossRef]
- Fabian, L.A.; McGuire, L.; Page, G.G.; Goodin, B.R.; Edwards, R.R.; Haythornthwaite, J. The association of the cortisol awakening response with experimental pain ratings. Psychoneuroendocrinology 2009, 34, 1247–1251. [Google Scholar] [CrossRef]
- Eisenberger, N.I.; Inagaki, T.K.; Muscatell, K.A.; Byrne Halton, K.E.; Leary, M.R. The neural sociometer: Brain mechanisms underlying state self-esteem. J. Cogn. Neurosci. 2011, 23, 3448–3455. [Google Scholar] [CrossRef] [PubMed]
- Gyurak, A.; Hooker, C.I.; Miyakawa, A.; Verosky, S.; Luerssen, A.; Ayduk, Ö.N. Individual differences in neural responses to social rejection: The joint effect of self-esteem and attentional control. Soc. Cogn. Affect. Neurosci. 2012, 7, 322–331. [Google Scholar] [CrossRef] [PubMed]
- Onoda, K.; Okamoto, Y.; Nakashima, K.; Nittono, H.; Yoshimura, S.; Yamawaki, S.; Yamaguchi, S.; Ura, M. Does low self-esteem enhance social pain? The relationship between trait self-esteem and anterior cingulate cortex activation induced by ostracism. Soc. Cogn. Affect. Neurosci. 2010, 5, 385–391. [Google Scholar] [CrossRef] [PubMed]
- Somerville, L.H.; Kelley, W.M.; Heatherton, T.F. Self-esteem modulates medial prefrontal cortical responses to evaluative social feedback. Cereb. Cortex 2010, 20, 3005–3013. [Google Scholar] [CrossRef]
- Burklund, L.; Eisenberger, N.I.; Lieberman, M.D. The face of rejection: Rejection sensitivity moderates dorsal anterior cingulate cortex activity to disapproving facial expression. Soc. Neurosci. 2007, 2, 238–253. [Google Scholar] [CrossRef]
- Kross, E.; Egner, T.; Ochsner, K.; Hirsch, J.; Downey, G. Neural dynamics of rejection sensitivity. J. Cogn. Neurosci. 2007, 19, 945–956. [Google Scholar] [CrossRef] [PubMed]
- Eisenberger, N.I.; Lieberman, M.D.; Williams, K.D. Does rejection hurt? An fMRI study of social exclusion. Science 2003, 302, 290–292. [Google Scholar] [CrossRef] [PubMed]
- DeWall, C.N.; MacDonald, G.; Webster, G.D.; Masten, C.L.; Baumaeister, R.F.; Powell, C.; Combs, D.; Schurtz, D.R.; Stillman, T.F.; Tice, D.M.; et al. Acetaminophen reduces social pain: Behavioral and neural evidence. Psychol. Sci. 2010, 21, 931–937. [Google Scholar] [CrossRef] [PubMed]
- Masten, C.L.; Eisenberger, N.I.; Borofsky, L.A.; Pfeifer, J.H.; McNealy, K.; Mazziota, J.C.; Dapretto, M. Neural correlates of social exclusion during adolescence: Understanding the distress of peer rejection. Soc. Cogn. Affect. Neurosci. 2009, 4, 143–157. [Google Scholar] [CrossRef] [PubMed]
- DeWall, C.N.; Baumeister, R.F. Alone but feeling no pain: Effects of social exclusion on physical pain tolerance and pain threshold, affective forecasting, and interpersonal empathy. J. Pers. Soc. Psychol. 2006, 91, 1–15. [Google Scholar] [CrossRef] [PubMed]
- Rosenberg, M. Society and the Adolescent Self-Image; Princeton University Press: Princeton, NJ, USA, 1965. [Google Scholar]
- Łaguna, M.; Lachowicz-Tabaczek, K.; Dzwonkowska, I. Skala samooceny SES Morrisa Rosenberga—Polska adaptacja metody. Psychol. Społ. 2007, 2, 164–176. [Google Scholar]
- Greenwald, A.G.; Nosek, B.A.; Banaji, M.R. Understanding and using the Implicit Association Test: An improved scoring algorithm. J. Pers. Soc. Psychol. 2003, 85, 197–216. [Google Scholar] [CrossRef] [PubMed]
- Kirschbaum, C.; Pirke, K.M.; Hellhammer, D.H. The ‘Trier Social Stress Test’—A tool for investigating psychobiological stress responses in a laboratory setting. Neuropsychobiology 1993, 28, 76–81. [Google Scholar] [CrossRef]
- Pruessner, J.C.; Hellhammer, D.H.; Kirschbaum, C. Low self-esteem, induced failure and the adrenocortical stress response. Pers. Individ. Differ. 1999, 27, 477–489. [Google Scholar] [CrossRef]
- Pieritz, K.; Schäfer, S.J.; Strahler, J.; Rief, W.; Euteneuer, F. Chronic stress moderates the impact of social exclusion on pain tolerance: An experimental investigation. J. Pain Res. 2017, 10, 1155–1162. [Google Scholar] [CrossRef]
- Hood, C.O.; Badour, C.L. The effects of posttraumatic stress and trauma-focused disclosure on experimental pain sensitivity among trauma-exposed women. J. Trauma. Stress 2020, 33, 1071–1081. [Google Scholar] [CrossRef] [PubMed]
- Defrin, R.; Ginzburg, K.; Solomon, Z.; Polad, E.; Bloch, M.; Govezensky, M.; Schreiber, S. Quantitative testing of pain perception in subjects with PTSD—Implications for the mechanism of the coexistence between PTSD and chronic pain. Pain 2008, 138, 450–459. [Google Scholar] [CrossRef] [PubMed]
- Guzman Torres, E.; Krause-Utz, A.; Sack, M. Predictors of complex PTSD: The role of trauma characteristics, dissociation, and comorbid psychopathology. Borderline Personal. Disord. Emot. Dysregul. 2023, 10, 1. [Google Scholar] [CrossRef]
- Godfrey, K.M.; Herbert, M.; Strachan, E.; Mostoufi, S.; Crofford, L.J.; Buchwald, D.; Poeschla, B.; Succop, A.; Afari, N. Dexamethasone-suppressed salivary cortisol and pain sensitivity in female twins. Clin. J. Pain 2017, 33, 246–253. [Google Scholar] [CrossRef] [PubMed]
- Kernis, M.H.; Lakey, C.E.; Heppner, W.L. Secure versus fragile high self-esteem as a predictor of verbal defensiveness: Converging findings across three different markers. J. Pers. 2008, 76, 477–512. [Google Scholar] [CrossRef] [PubMed]
- Wojtyna, E.; Pasek, M.; Nowakowska, A.; Goździalska, A.; Jochymek, M. Self at Risk: Self-Esteem and Quality of Life in Cancer Patients Undergoing Surgical Treatment and Experiencing Bodily Deformities. Healthcare 2023, 11, 2203. [Google Scholar] [CrossRef] [PubMed]
- Sandstrom, M.J.; Jordan, R. Defensive self-esteem and aggression in childhood. J. Res. Pers. 2008, 42, 506–514. [Google Scholar] [CrossRef]
- Eaton, J.; Struters, C.W.; Shomrony, A.; Santinelli, A.G. When apologies fail: The moderating effects of explicity and implicity self-esteem on apology and forgiveness. Self Identity 2007, 6, 209–222. [Google Scholar] [CrossRef]
- Mijas, M.; Blukacz, M.; Koziara, K.; Kasperek, K.; Pliczko, M.P.; Galbarczyk, A.; Jasieńska, G. Dysregulated by stigma: Cortisol responses to repeated psychosocial stress in gay and heterosexual men. Psychoneuroendocrinology 2021, 131, 105325. [Google Scholar] [CrossRef]
- Banozic, A.; Miljkovic, A.; Bras, M.; Puljak, L.; Kolcic, I.; Hayward, C.; Polasek, O. Neuroticism and pain catastrophizing aggravate response to pain in healthy adults: An experimental study. Korean J. Pain 2018, 31, 16–26. [Google Scholar] [CrossRef]
- Bar-Shalita, T.; Cermak, S.A. Multi-sensory Responsiveness and personality traits predict daily pain sensitivity. Front. Integr. Neurosci. 2020, 13, 77. [Google Scholar] [CrossRef] [PubMed]
- Nestler, E.J.; Waxman, S.G. Resilience to stress and resilience to pain: Lessons from molecular neurobiology and genetics. Trends Mol. Med. 2020, 26, 924–935. [Google Scholar] [CrossRef]
- Tanner, J.J.; Johnson, A.J.; Terry, E.L.; Cardoso, J.; Garvan, C.; Staud, R.; Deutsch, G.; Deshpande, H.; Lai, S.; Addison, A.; et al. Resilience, pain, and the brain: Relationships differ by sociodemographics. J. Neurosci. Res. 2021, 99, 1207–1235. [Google Scholar] [CrossRef]
- Neff, K.D. Self-compassion: Theory, method, research, and intervention. Annu. Rev. Psychol. 2023, 74, 193–218. [Google Scholar] [CrossRef]
- Bean, D.J.; Dryland, A.; Rashid, U.; Tuck, N.L. The determinants and effects of chronic pain stigma: A mixed methods study and the development of a model. J. Pain 2022, 23, 1749–1764. [Google Scholar] [CrossRef] [PubMed]
- McCracken, L.M. Psychological flexibility, chronic pain, and health. Annu. Rev. Psychol. 2024, 75, 601–624. [Google Scholar] [CrossRef] [PubMed]
- Scott, W.; McCracken, L.M.; Trost, Z. A psychological flexibility conceptualisation of the experience of injustice among individuals with chronic pain. Br. J. Pain 2014, 8, 62–71. [Google Scholar] [CrossRef]
- Erfan, A.; Aghaei, A.; Golparvar, M. Effectiveness of group emotional schema therapy on psychological distress, severity and frequency of symptoms in women with irritable bowel syndrome. Adv. Biomed. Res. 2024, 13, 11. [Google Scholar] [CrossRef]



| Characteristics | CSP Group (n = 180) | Non-CSP Group (n = 180) | p-Value |
|---|---|---|---|
| Age [M (SD)] | 28.16 (4.30) | 27.82 (5.03) | 0.918 |
| Gender [n (%)] | |||
| men | 82 (45.6) | 83 (46.1) | 0.964 |
| women | 94 (52.2) | 97 (53.9) | 0.659 |
| others | 4 (2.2) | - | - |
| Psychosexual orientation [n (%)] | |||
| Non-heterosexual | 121 (67.2) | 46 (25.6) | <0.001 |
| Education [n (%)] | |||
| primary | 8 (4.5) | 6 (3.3) | 0.562 |
| vocational | 36 (20.0) | 33 (18.3) | 0.801 |
| secondary | 60 (33.3) | 52 (28.9) | 0.047 |
| higher | 76 (42.2) | 89 (49.5) | 0.035 |
| Place of residence | |||
| city size > 100 k [n (%)] | 141 (78.3) | 150 (83.3) | 0.042 |
| Self-esteem | |||
| global (explicit) [M (SD)] | 28.72 (8.95) | 34.82 (6.18) | 0.026 |
| high [n (%)] | 48 (26.7) | 70 (38.9) | <0.001 |
| low [n (%)] | 31 (17.2) | 32 (17.8) | 0.949 |
| fragile [n (%)] | 101 (56.1) | 78 (43.3) | <0.001 |
| Cortisol level (nmol/L) [median (IQR)] | |||
| T0 (baseline) | 16.47 (15.48) | 12.62 (10.11) | 0.012 |
| T1 (15 min after TSST) | 24.59 (21.83) | 17.45 (20.34) | <0.001 |
| T2 (45 min after TSST) | 18.25 (13.27) | 14.21 (12.08)) | 0.009 |
| Group | Self-Esteem | Pain Threshold (T0) | Pain Tolerance | ||
|---|---|---|---|---|---|
| T0 | T1 | T2 | |||
| non-CSP | low | 45.82 (4.18) | 47.80 (4.24) | 47.12 (5.07) | 47.29 (4.87) |
| high | 46.47 (4.29) | 48.37 (4.41) | 47.74 (5.22) | 48.32 (5.04) | |
| fragile | 46.86 (5.06) | 48.38 (4.45) | 48.75 (5.87) | 48.51 (5.43) | |
| CSP | low | 45.08 (5.26) | 47.96 (4,12) | 47.04 (5.12) | 47.21 (5.01) |
| high | 46.73 (5.01) | 48.10 (4.09) | 47.63 (5.04) | 47.80 (4.92) | |
| fragile | 46.94 (6.12) | 48.40 (5.08) | 49.98 (5.18) | 49.84 (5.09) | |
Disclaimer/Publisher’s Note: The statements, opinions and data contained in all publications are solely those of the individual author(s) and contributor(s) and not of MDPI and/or the editor(s). MDPI and/or the editor(s) disclaim responsibility for any injury to people or property resulting from any ideas, methods, instructions or products referred to in the content. |
© 2024 by the authors. Licensee MDPI, Basel, Switzerland. This article is an open access article distributed under the terms and conditions of the Creative Commons Attribution (CC BY) license (https://creativecommons.org/licenses/by/4.0/).
Share and Cite
Wojtyna, E.; Hyla, M.; Hachuła, A. Pain of Threatened Self: Explicit and Implicit Self-Esteem, Cortisol Responses to a Social Threat and Pain Perception. J. Clin. Med. 2024, 13, 2705. https://doi.org/10.3390/jcm13092705
Wojtyna E, Hyla M, Hachuła A. Pain of Threatened Self: Explicit and Implicit Self-Esteem, Cortisol Responses to a Social Threat and Pain Perception. Journal of Clinical Medicine. 2024; 13(9):2705. https://doi.org/10.3390/jcm13092705
Chicago/Turabian StyleWojtyna, Ewa, Magdalena Hyla, and Aleksandra Hachuła. 2024. "Pain of Threatened Self: Explicit and Implicit Self-Esteem, Cortisol Responses to a Social Threat and Pain Perception" Journal of Clinical Medicine 13, no. 9: 2705. https://doi.org/10.3390/jcm13092705
APA StyleWojtyna, E., Hyla, M., & Hachuła, A. (2024). Pain of Threatened Self: Explicit and Implicit Self-Esteem, Cortisol Responses to a Social Threat and Pain Perception. Journal of Clinical Medicine, 13(9), 2705. https://doi.org/10.3390/jcm13092705

