The sFlt-1/PlGF Ratio at 12, 24, and 32 Weeks Gestation in Twin Pregnancies as a Predictor of Late Preterm Birth and Perinatal Event Secondary to Prematurity
Abstract
1. Introduction
2. Materials and Methods
2.1. Study Design
2.2. Inclusion and Exclusion Criteria
2.3. Outcome Data
2.4. Statistical Analysis
2.5. Ethics
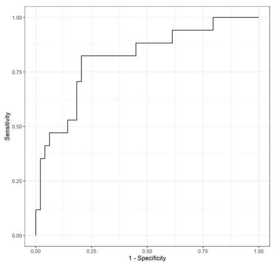
3. Results
4. Discussion
5. Conclusions
Author Contributions
Funding
Institutional Review Board Statement
Informed Consent Statement
Data Availability Statement
Conflicts of Interest
Abbreviations
| ART | Assisted reproductive technology |
| AUC-ROC curve | Area Under the Curve–Receiver Operating Characteristic |
| BMI | Body mass index |
| CI | Confidence Interval |
| FGR | Fetal growth restriction |
| IQR | Interquartile range |
| NPV | negative predictive value |
| OR | Odds Ratio |
| PlGF | Placental growth factor |
| PPV | positive predictive value |
| PROM | Premature rupture of membranes |
| SD | standard deviation |
| sFlt-1 | Soluble fms-like tyrosine kinase 1 |
References
- Romero, R.; Dey, S.K.; Fisher, S.J. Preterm labor: One syndrome, many causes. Science 2014, 345, 760–765. [Google Scholar] [CrossRef] [PubMed]
- McCormick, M.C. The contribution of low birth weight to infant mortality and childhood morbidity. N. Engl. J. Med. 1985, 312, 82–90. [Google Scholar] [CrossRef] [PubMed]
- Goldenberg, R.L.; Culhane, J.F.; Iams, J.D.; Romero, R. Epidemiology and causes of preterm birth. Lancet 2008, 371, 75–84. [Google Scholar] [CrossRef] [PubMed]
- Romero, R.; Espinoza, J.; Kusanovic, J.P.; Gotsch, F.; Hassan, S.; Erez, O.; Chaiworapongsa, T.; Mazor, M. The preterm parturition syndrome. BJOG 2006, 113 (Suppl. S3), 17–42. [Google Scholar] [CrossRef]
- Romero, R.; Sirtori, M.; Oyarzun, E.; Avila, C.; Mazor, M.; Callahan, R.; Sabo, V.; Athanassiadis, A.P.; Hobbins, J.C. Infection labor, V. Prevalence, microbiology, and clinical significance of intraamniotic infection in women with preterm labor and intact membranes. Am. J. Obstet. Gynecol. 1989, 161, 817–824. [Google Scholar] [CrossRef] [PubMed]
- Romero, R.; Avila, C.; Brekus, C.A.; Morotti, R. The role of systemic and intrauterine infection in preterm parturition. Ann. N. Y Acad. Sci. 1991, 622, 355–375. [Google Scholar] [CrossRef] [PubMed]
- Dudley, D.J.; Chen, C.L.; Branch, D.W.; Hammond, E.; Mitchell, M.D. A murine model of preterm labor: Inflammatory mediators regulate the production of prostaglandin E2 and interleukin-6 by murine decidua. Biol. Reprod. 1993, 48, 33–39. [Google Scholar] [CrossRef] [PubMed]
- Ou, C.W.; Orsino, A.; Lye, S.J. Expression of connexin-43 and connexin-26 in the rat myometrium during pregnancy and labor is differentially regulated by mechanical and hormonal signals. Endocrinology 1997, 138, 5398–5407. [Google Scholar] [CrossRef]
- Liggins, G.C. Premature parturition after infusion of corticotrophin or cortisol into foetal lambs. J. Endocrinol. 1968, 42, 323–329. [Google Scholar] [CrossRef]
- Challis, J.R.G. CRH, a placental clock and preterm labour. Nat. Med. 1995, 1, 416. [Google Scholar] [CrossRef]
- Copper, R.L.; Goldenberg, R.L.; Das, A.; Elder, N.; Swain, M.; Norman, G.; Ramsey, R.; Cotroneo, P.; Collins, B.A.; Johnson, F.; et al. The preterm prediction study: Maternal stress is associated with spontaneous preterm birth at less than thirty-five weeks’ gestation. National Institute of Child Health and Human Development Maternal-Fetal Medicine Units Network. Am. J. Obstet. Gynecol. 1996, 175, 1286–1292. [Google Scholar] [CrossRef] [PubMed]
- Rouse, D.J.; Caritis, S.N.; Peaceman, A.M.; Sciscione, A.; Thom, E.A.; Spong, C.Y.; Varner, M.; Malone, F.; Iams, J.D.; Mercer, B.M.; et al. A trial of 17 alpha-hydroxyprogesterone caproate to prevent prematurity in twins. N. Engl. J. Med. 2007, 357, 454–461. [Google Scholar] [CrossRef]
- Lewi, L.; Gucciardo, L.; Van Mieghem, T.; De Koninck, P.; Beck, V.; Medek, H.; Van Schoubroeck, D.; Devlieger, R.; De Catte, L.; Deprest, J. Monochorionic diamniotic twin pregnancies: Natural history and risk stratification. Fetal. Diagn. Ther. 2010, 27, 121–133. [Google Scholar] [CrossRef]
- Burgess, J.L.; Unal, E.R.; Nietert, P.J.; Newman, R.B. Risk of late preterm stillbirth and neonatal morbidity for monochorionic and dichorionic twins. Am. J. Obs. Gynecol. 2014, 210, 578.e1. [Google Scholar] [CrossRef] [PubMed]
- Blickstein, I.; Keith, L.G. Multiple Pregnancy: Epidemiology, Gestation & Perinatal Outcome; Taylor & Francis: Abingdon, UK, 2005; 943p. [Google Scholar]
- Giuffrè, M.; Piro, E.; Corsello, G. Prematurity and twinning. J. Matern. Fetal Neonatal Med. 2012, 25 (Suppl. S3), 6–10. [Google Scholar] [CrossRef] [PubMed]
- Rana, S.; Lemoine, E.; Granger, J.; Karumanchi, S.A. Preeclampsia. Circ. Res. 2019, 124, 1094–1112. [Google Scholar] [CrossRef]
- Herraiz, I.; Quezada, M.S.; Rodriguez-Calvo, J.; Gómez-Montes, E.; Villalaín, C.; Galindo, A. Longitudinal change of sFlt-1/PlGF ratio in singleton pregnancy with early-onset fetal growth restriction. Ultrasound Obstet. Gynecol. 2018, 52, 631–638. [Google Scholar] [CrossRef]
- Herraiz, I.; Simón, E.; Gómez-Arriaga, P.I.; Quezada, M.S.; García-Burguillo, A.; López-Jiménez, E.A.; Galindo, A. Clinical implementation of the sFlt-1/PlGF ratio to identify preeclampsia and fetal growth restriction: A prospective cohort study. Pregnancy Hypertens. 2018, 13, 279–285. [Google Scholar] [CrossRef]
- Rybak-Krzyszkowska, M.; Staniczek, J.; Kondracka, A.; Bogusławska, J.; Kwiatkowski, S.; Góra, T.; Strus, M.; Górczewski, W. From Biomarkers to the Molecular Mechanism of Preeclampsia—A Comprehensive Literature Review. Int. J. Mol. Sci. 2023, 24, 13252. [Google Scholar] [CrossRef]
- Overview|PLGF-Based Testing to Help Diagnose Suspected Preterm Pre-Eclampsia|Guidance|NICE. Available online: https://www.nice.org.uk/guidance/dg49/resources/plgfbased-testing-to-help-diagnose-suspected-preterm-preeclampsia-pdf-1053819586501 (accessed on 15 February 2024).
- Guía de Asistencia Práctica*. Available online: https://sego.es/documentos/progresos/v63-2020/n4/GAP-Trastornos%20hipertensivos%20gestacion.pdf (accessed on 15 February 2024).
- Kendall, R.L.; Thomas, K.A. Inhibition of vascular endothelial cell growth factor activity by an endogenously encoded soluble receptor. Proc. Natl. Acad. Sci. USA 1993, 90, 10705–10709. [Google Scholar] [CrossRef]
- De Falco, S. The discovery of placenta growth factor and its biological activity. Exp. Mol. Med. 2012, 44, 1–9. [Google Scholar] [CrossRef] [PubMed]
- Smith, G.C.S.; Crossley, J.A.; Aitken, D.A.; Jenkins, N.; Lyall, F.; Cameron, A.D.; Connor, J.M.M.; Dobbie, R.B. Circulating angiogenic factors in early pregnancy and the risk of preeclampsia, intrauterine growth restriction, spontaneous preterm birth, and stillbirth. Obstet. Gynecol. 2007, 109, 1316–1324. [Google Scholar] [CrossRef] [PubMed]
- Parry, S.; Carper, B.A.; Grobman, W.A.; Wapner, R.J.; Chung, J.H.; Haas, D.M.; Mercer, B.; Silver, R.M.; Simhan, H.N.; Saade, G.R.; et al. Placental protein levels in maternal serum are associated with adverse pregnancy outcomes in nulliparous patients. Am. J. Obstet. Gynecol. 2022, 227, 497.e1–497.e13. [Google Scholar] [CrossRef] [PubMed]
- Dröge, L.; Herraiz, I.; Zeisler, H.; Schlembach, D.; Stepan, H.; Küssel, L.; Henrich, W.; Galindo, A.; Verlohren, S. Maternal serum sFlt-1/PlGF ratio in twin pregnancies with and without pre-eclampsia in comparison with singleton pregnancies. Ultrasound Obstet. Gynecol. 2015, 45, 286–293. [Google Scholar] [CrossRef] [PubMed]
- Binder, J.; Palmrich, P.; Pateisky, P.; Kalafat, E.; Kuessel, L.; Zeisler, H.; Munkhbaatar, M.; Windsperger, K.; Thilaganathan, B.; Khalil, A. The Prognostic Value of Angiogenic Markers in Twin Pregnancies to Predict Delivery Due to Maternal Complications of Preeclampsia. Hypertension 2020, 76, 176–183. [Google Scholar] [CrossRef] [PubMed]
- Satorres-Pérez, E.; Martínez-Varea, A.; Álamo, B.N.D.; Morales-Roselló, J.; Diago-Almela, V. The sFlt-1/PlGF Ratio at 12, 24, and 32 Weeks Gestation in Twin Pregnancies as a Predictor of Placental Dysfunction. J. Clin. Med. 2024, 13, 1784. [Google Scholar] [CrossRef] [PubMed]
- Faupel-Badger, J.M.; McElrath, T.F.; Lauria, M.; Houghton, L.C.; Lim, K.H.; Parry, S.; Cantonwine, D.; Lai, G.; Karumanchi, S.A.; Hoover, R.N.; et al. Maternal circulating angiogenic factors in twin and singleton pregnancies. Am. J. Obstet. Gynecol. 2015, 212, 636.e1–636.e8. [Google Scholar] [CrossRef] [PubMed]
- Heimberger, S.; Mueller, A.; Ratnaparkhi, R.; Perdigao, J.L.; Rana, S. Angiogenic factor abnormalities and risk of peripartum complications and prematurity among urban predominantly obese parturients with chronic hypertension. Pregnancy Hypertens. 2020, 20, 124–130. [Google Scholar] [CrossRef] [PubMed]
- Rana, S.; Powe, C.E.; Salahuddin, S.; Verlohren, S.; Perschel, F.H.; Levine, R.J.; Lim, K.-H.; Wenger, J.B.; Thadhani, R.; Karumanchi, S.A. Angiogenic factors and the risk of adverse outcomes in women with suspected preeclampsia. Circulation 2012, 125, 911–919. [Google Scholar] [CrossRef]
- Martínez-Varea, A.; Martínez-Sáez, C.; Domenech, J.; Desco-Blay, J.; Monfort-Pitarch, S.; Hueso, M.; Diago-Almela, V. sFlt-1/PlGF Ratio at 24 Weeks Gestation in Twin Pregnancies as a Predictor of Preeclampsia or Fetal Growth Restriction. Fetal Diagn. Ther. 2022, 49, 206–214. [Google Scholar] [CrossRef]
- Satorres, E.; Martínez-Varea, A.; Diago-Almela, V. sFlt-1/PlGF ratio as a predictor of pregnancy outcomes in twin pregnancies: A systematic review. J. Matern. Fetal Neonatal Med. 2023, 36, 2230514. [Google Scholar] [CrossRef] [PubMed]
- Chaiworapongsa, T.; Romero, R.; Tarca, A.; Pedro Kusanovic, J.; Mittal, P.; Kim, S.K.; Gotsch, F.; Erez, O.; Vaisbuch, E.; Mazaki-Tovi, S.; et al. A subset of patients destined to develop spontaneous preterm labor has an abnormal angiogenic/anti-angiogenic profile in maternal plasma: Evidence in support of pathophysiologic heterogeneity of preterm labor derived from a longitudinal study. J. Matern. Fetal Neonatal Med. 2009, 22, 1122–1139. [Google Scholar] [CrossRef] [PubMed]
- Sovio, U.; Gaccioli, F.; Cook, E.; Charnock-Jones, D.S.; Smith, G.C.S. Maternal serum levels of soluble fms-like tyrosine kinase-1 and placental growth factor at 20 and 28 weeks of gestational age and the risk of spontaneous preterm birth. Am. J. Obstet. Gynecol. 2023, 229, 164.e1–164.e18. [Google Scholar] [CrossRef] [PubMed]
- Romero, R.; Jung, E.; Chaiworapongsa, T.; Erez, O.; Gudicha, D.W.; Kim, Y.M.; Kim, J.-S.; Kim, B.; Kusanovic, J.P.; Gotsch, F.; et al. Toward a new taxonomy of obstetrical disease: Improved performance of maternal blood biomarkers for the great obstetrical syndromes when classified according to placental pathology. Am. J. Obstet. Gynecol. 2022, 227, 615.e1–615.e25. [Google Scholar] [CrossRef] [PubMed]
- Brar, H.S.; Medearis, A.L.; DeVore, G.R.; Platt, L.D. Maternal and fetal blood flow velocity waveforms in patients with preterm labor: Prediction of successful tocolysis. Am. J. Obstet. Gynecol. 1988, 159, 947–950. [Google Scholar] [CrossRef]
- Fonseca, E.; Yu, C.K.H.; Singh, M.; Papageorghiou, A.T.; Nicolaides, K.H. Relationship between second-trimester uterine artery Doppler and spontaneous early preterm delivery. Ultrasound Obstet. Gynecol. 2006, 27, 301–305. [Google Scholar] [CrossRef] [PubMed]
- Kim, Y.M.; Bujold, E.; Chaiworapongsa, T.; Gomez, R.; Yoon, B.H.; Thaler, H.T.; Rotmensch, S.; Romero, R. Failure of physiologic transformation of the spiral arteries in patients with preterm labor and intact membranes. Am. J. Obstet. Gynecol. 2003, 189, 1063–1069. [Google Scholar] [CrossRef]
- Lim, H.; Powell, S.; McNamara, H.C.; Forbes Howie, A.; Doust, A.; Bowman, M.E.; Smith, R.; Norman, J.E.; Stock, S.J. Placental hormone profiles as predictors of preterm birth in twin pregnancy: A prospective cohort study. PLoS ONE 2017, 12, e0173732. [Google Scholar] [CrossRef]
- Barinov, S.V.; Di Renzo, G.C.; Belinina, A.A.; Koliado, O.V.; Remneva, O.V. Clinical and biochemical markers of spontaneous preterm birth in singleton and multiple pregnancies. J. Matern. Fetal Neonatal Med. 2022, 35, 5724–5729. [Google Scholar] [CrossRef]





| Characteristics | At Term Birth (n = 32) | Preterm Birth (n = 38) | p Value |
|---|---|---|---|
| Age (years) | 35.5 (32.8–37.2) | 35.0 (31.2–38.8) | 0.93 |
| BMI | 23.2 (21.2–24.8) | 23.2 (20.4–25.4) | 0.82 |
| BMI > 35 | 4 (50) | 4 (50) | 1.00 |
| Weight gain > 15 kg | 11.5 (9.0–14.2) | 11.5 (9.0–14.0) | 0.88 |
| Smoking habit | 3 (42.86) | 4 (57.14) | 1.00 |
| Nulliparous | 22 (43.14) | 29 (58.86) | 0.48 |
| Natural conception | 12 (44.4) | 15 (55.56) | 0.73 |
| Conception by ART | 19 (48.72) | 20 (51.28) | |
| Monochorionic | 0 (0) | 10 (100) | 0.0014 |
| Dichorionic | 32 (53.33) | 28 (46.67) | |
| Gestational Diabetes | 4 (50) | 4 (50) | 1.00 |
| Placental dysfunction | 4 (12.5) | 17 (44.74) | 0.004 |
| No placental dysfunction | 21 (55.26) | 28 (87.5 | |
| Birth at weight 1st newborn (grams) | 2565.0 (2420.0–2743.8) | 2027.5 (1792.5–2387.5) | <0.0001 |
| Birth at weight 2nd newborn (grams) | 2432.5 (2257.5–2626.2) | 2160.0 (1880.0–2450.0) | <0.0012 |
| Apgar test at 5 min 1st newborn | 10.0 (10.0–10.0) | 10.0 (10.0–10.0) | 0.16 |
| Apgar test at 5 min 2nd newborn | 10.0 (9.8–10.0) | 10.0 (10.0–10.0) | 0.73 |
| Arterial pH 1st newborn | 7.3 (0.1) | 7.3 (0.1) | 0.17 |
| Venous pH 1st newborn | 7.3 (0.04) | 7.3 (0.1) | 0.89 |
| SFlt-1/PlGF Ratio | At Term Birth (n = 32) | Preterm Birth (n = 38) | p Value |
|---|---|---|---|
| Week 12 | 31.59 (2.9) | 41.49 (5.07) | 0.58 |
| Week 24 | 3.16 (0.33) | 9.98 (4.60) | 0.87 |
| Week 32 | 8.88 (1.22) | 32.31 (6.37) | 0.0026 |
| SFlt-1/PlGF Ratio | Monochorionic (n = 10) | Dichorionich (n = 60) | p Value |
|---|---|---|---|
| Week 12 | 47.1 (8.78) | 35.22 (3.28) | 0.78 |
| Week 24 | 3.8 (0.81) | 7.37 (2.94) | 0.99 |
| Week 32 | 19.1 (4.64) | 22.01 (4.32) | 0.99 |
Disclaimer/Publisher’s Note: The statements, opinions and data contained in all publications are solely those of the individual author(s) and contributor(s) and not of MDPI and/or the editor(s). MDPI and/or the editor(s) disclaim responsibility for any injury to people or property resulting from any ideas, methods, instructions or products referred to in the content. |
© 2024 by the authors. Licensee MDPI, Basel, Switzerland. This article is an open access article distributed under the terms and conditions of the Creative Commons Attribution (CC BY) license (https://creativecommons.org/licenses/by/4.0/).
Share and Cite
Satorres-Pérez, E.; Martínez-Varea, A.; Novillo-Del Álamo, B.; Morales-Roselló, J.; Diago-Almela, V. The sFlt-1/PlGF Ratio at 12, 24, and 32 Weeks Gestation in Twin Pregnancies as a Predictor of Late Preterm Birth and Perinatal Event Secondary to Prematurity. J. Clin. Med. 2024, 13, 2699. https://doi.org/10.3390/jcm13092699
Satorres-Pérez E, Martínez-Varea A, Novillo-Del Álamo B, Morales-Roselló J, Diago-Almela V. The sFlt-1/PlGF Ratio at 12, 24, and 32 Weeks Gestation in Twin Pregnancies as a Predictor of Late Preterm Birth and Perinatal Event Secondary to Prematurity. Journal of Clinical Medicine. 2024; 13(9):2699. https://doi.org/10.3390/jcm13092699
Chicago/Turabian StyleSatorres-Pérez, Elena, Alicia Martínez-Varea, Blanca Novillo-Del Álamo, José Morales-Roselló, and Vicente Diago-Almela. 2024. "The sFlt-1/PlGF Ratio at 12, 24, and 32 Weeks Gestation in Twin Pregnancies as a Predictor of Late Preterm Birth and Perinatal Event Secondary to Prematurity" Journal of Clinical Medicine 13, no. 9: 2699. https://doi.org/10.3390/jcm13092699
APA StyleSatorres-Pérez, E., Martínez-Varea, A., Novillo-Del Álamo, B., Morales-Roselló, J., & Diago-Almela, V. (2024). The sFlt-1/PlGF Ratio at 12, 24, and 32 Weeks Gestation in Twin Pregnancies as a Predictor of Late Preterm Birth and Perinatal Event Secondary to Prematurity. Journal of Clinical Medicine, 13(9), 2699. https://doi.org/10.3390/jcm13092699

