Efficacy and Safety Analyses of Recombinant Factor VIIa in Severe Post-Partum Hemorrhage
Abstract
1. Introduction
2. Materials and Methods
2.1. Datasets
2.2. Patient Populations
2.3. Endpoints
2.4. Statistical Analysis
3. Results
3.1. Patient Populations and Baseline Characteristics
3.2. Efficacy of rFVIIa for the Treatment of sPPH (Comparative Studies)
3.2.1. Randomized Controlled Trial
3.2.2. Observational Studies (OS-1 and OS-2)
3.3. Clinical Outcomes following rFVIIa Treatment of sPPH (Non-Comparative Studies)
3.4. Safety of rFVIIa in the Management of sPPH
3.5. rFVIIa Dosing and Timing of Administration
4. Discussion
5. Conclusions
Supplementary Materials
Author Contributions
Funding
Institutional Review Board Statement
Informed Consent Statement
Data Availability Statement
Acknowledgments
Conflicts of Interest
References
- ACOG Committee on Practice Bulletins. Practice Bulletin No. 183: Postpartum Hemorrhage. Obstet. Gynecol. 2017, 130, e168–e186. [Google Scholar] [CrossRef]
- Muñoz, M.; Stensballe, J.; Ducloy-Bouthors, A.S.; Bonnet, M.P.; De Robertis, E.; Fornet, I.; Goffinet, F.; Hofer, S.; Holzgreve, W.; Manrique, S.; et al. Patient blood management in obstetrics: Prevention and treatment of postpartum haemorrhage. A NATA consensus statement. Blood Transfus. Trasfus. Sangue 2019, 17, 112–136. [Google Scholar] [CrossRef]
- Knight, M.; Callaghan, W.M.; Berg, C.; Alexander, S.; Bouvier-Colle, M.-H.; Ford, J.B.; Joseph, K.S.; Lewis, G.; Liston, R.M.; Roberts, C.L.; et al. Trends in postpartum hemorrhage in high resource countries: A review and recommendations from the International Postpartum Hemorrhage Collaborative Group. BMC Pregnancy Childbirth 2009, 9, 55. [Google Scholar] [CrossRef]
- Mavrides, E.; Allard, S.; Chandraharan, E.; Collins, P.; Green, L.; Hunt, B.J.; Riris, S.; Thomson, A.J.; on behalf of the Royal College of Obstetricians and Gynaecologists. Prevention and management of postpartum haemorrhage. BJOG 2016, 24, e106–e149. [Google Scholar]
- World Health Organization. WHO Recommendations: Uterotonics for the Prevention of Postpartum Haemorrhage. Available online: https://iris.who.int/bitstream/handle/10665/277276/9789241550420-eng.pdf?ua=1&ua=1 (accessed on 12 February 2024).
- Gizzo, S.; Saccardi, C.; Patrelli, T.S.; Di Gangi, S.; Breda, E.; Fagherazzi, S.; Noventa, M.; D’Antona, D.; Nardelli, G.B. Fertility rate and subsequent pregnancy outcomes after conservative surgical techniques in postpartum hemorrhage: 15 years of literature. Fertil Steril 2013, 99, 2097–2107. [Google Scholar] [CrossRef]
- Sentilhes, L.; Gromez, A.; Clavier, E.; Resch, B.; Verspyck, E.; Marpeau, L. Predictors of failed pelvic arterial embolization for severe postpartum hemorrhage. Obstet. Gynecol. 2009, 113, 992–999. [Google Scholar] [CrossRef]
- Sanad, A.S.; Mahran, A.E.; Aboulfotouh, M.E.; Kamel, H.H.; Mohammed, H.F.; Bahaa, H.A.; Elkateeb, R.R.; Abdelazim, A.G.; El-Din, M.A.Z.; Shawki, H.E. The effect of uterine artery ligation in patients with central placenta pevia: A randomized controlled trial. BMC Pregnancy Childbirth 2018, 18, 351. [Google Scholar] [CrossRef]
- Michelet, D.; Ricbourg, A.; Gosme, C.; Rossignol, M.; Schurando, P.; Barranger, E.; Mebazaa, A.; Gayat, E. Emergency hysterectomy for life-threatening postpartum haemorrhage: Risk factors and psychological impact. Gynecol. Obstet. Fertil. 2015, 43, 773–779. [Google Scholar] [CrossRef]
- Thurn, L.; Wikman, A.; Lindqvist, P.G. Postpartum blood transfusion and hemorrhage as independent risk factors for venous thromboembolism. Thromb. Res. 2018, 165, 54–60. [Google Scholar] [CrossRef]
- Schlembach, D.; Helmer, H.; Henrich, W.; von Heymann, C.; Kainer, F.; Korte, W.; Kuhnert, M.; Lier, H.; Maul, H.; Rath, W.; et al. Peripartum Haemorrhage, Diagnosis and Therapy. Guideline of the DGGG, OEGGG and SGGG (S2k Level, AWMF Registry No. 015/063, March 2016). Geburtshilfe Frauenheilkd 2018, 78, 382–399. [Google Scholar] [CrossRef]
- Affronti, G.; Agostini, V.; Brizzi, A.; Bucci, L.; De Blasio, E.; Frigo, M.G.; Giorgini, C.; Messina, M.; Ragusa, A.; Sirimarco, F.; et al. The daily-practiced post-partum hemorrhage management: An Italian multidisciplinary attended protocol. Clin. Ther. 2017, 168, e307–e316. [Google Scholar] [CrossRef] [PubMed]
- Carvalho, M.; Rodrigues, A.; Gomes, M.; Carrilho, A.; Nunes, A.R.; Orfao, R.; Alves, A.; Aguiar, J.; Campos, M. Interventional Algorithms for the Control of Coagulopathic Bleeding in Surgical, Trauma, and Postpartum Settings: Recommendations From the Share Network Group. Clin. Appl. Thromb./Hemost. 2016, 22, 121–137. [Google Scholar] [CrossRef] [PubMed]
- Abdul-Kadir, R.; McLintock, C.; Ducloy, A.S.; El-Refaey, H.; England, A.; Federici, A.B.; Grotegut, C.A.; Halimeh, S.; Herman, J.H.; Hofer, S.; et al. Evaluation and management of postpartum hemorrhage: Consensus from an international expert panel. Transfusion 2014, 54, 1756–1768. [Google Scholar] [CrossRef] [PubMed]
- Park, S.C.; Yeom, S.R.; Han, S.K.; Jo, Y.M.; Kim, H.B. Recombinant Activated Factor VII as a Second Line Treatment for Postpartum Hemorrhage. Korean J. Crit. Care Med. 2017, 32, 333–339. [Google Scholar] [CrossRef] [PubMed]
- Franchini, M.; Franchi, M.; Bergamini, V.; Montagnana, M.; Salvagno, G.L.; Targher, G.; Lippi, G. The use of recombinant activated FVII in postpartum hemorrhage. Clin. Obstet. Gynecol. 2010, 53, 219–227. [Google Scholar] [CrossRef] [PubMed]
- Lavigne-Lissalde, G.; Aya, A.G.; Mercier, F.J.; Roger-Christoph, S.; Chauleur, C.; Morau, E.; Ducloy-Bouthors, A.S.; Mignon, A.; Raucoules, M.; Bongain, A.; et al. Recombinant human FVIIa for reducing the need for invasive second-line therapies in severe refractory postpartum hemorrhage: A multicenter, randomized, open controlled trial. J. Thromb. Haemost. 2015, 13, 520–529. [Google Scholar] [CrossRef] [PubMed]
- Blatny, J.; Seidlova, D.; Penka, M.; Ovesna, P.; Brabec, P.; Sevcik, P.; Ventruba, P.; Cerny, V. Severe postpartum haemorrhage treated with recombinant activated factor VII in 80 Czech patients: Analysis of the UniSeven registry. Int. J. Obstet. Anesth. 2011, 20, 367–368. [Google Scholar] [CrossRef] [PubMed]
- Alfirevic, Z.; Elbourne, D.; Pavord, S.; Bolte, A.; Van Geijn, H.; Mercier, F.; Ahonen, J.; Bremme, K.; Bødker, B.; Magnúsdóttir, E.M.; et al. Use of recombinant activated factor VII in primary postpartum hemorrhage: The Northern European registry 2000–2004. Obstet. Gynecol. 2007, 110, 1270–1278. [Google Scholar] [CrossRef]
- Lin, Y.; Stanworth, S.; Birchall, J.; Doree, C.; Hyde, C. Recombinant factor VIIa for the prevention and treatment of bleeding in patients without haemophilia. Cochrane Database Syst. Rev. 2011, 2, CD005011. [Google Scholar] [CrossRef]
- Colucci, G.; Helsing, K.; Biasiutti, F.D.; Raio, L.; Schmid, P.; Tsakiris, D.A.; Eberle, B.; Surbek, D.; Lämmle, B.; Alberio, L. Standardized management protocol in severe postpartum hemorrhage: A single-center study. Clin. Appl. Thromb./Hemost. 2018, 24, 884–893. [Google Scholar] [CrossRef]
- Phillips, L.E.; McLintock, C.; Pollock, W.; Gatt, S.; Popham, P.; Jankelowitz, G.; Ogle, R.; Cameron, P.A.; Australian; New Zealand Haemostasis, R. Recombinant activated factor VII in obstetric hemorrhage: Experiences from the Australian and New Zealand Haemostasis Registry. Anesth. Analg. 2009, 109, 1908–1915. [Google Scholar] [CrossRef] [PubMed]
- Henriquez, D.; Caram-Deelder, C.; le Cessie, S.; Zwart, J.J.; van Roosmalen, J.J.M.; Eikenboom, J.C.J.; So-Osman, C.; van de Watering, L.M.G.; Zwaginga, J.J.; Koopman-van Gemert, A.; et al. Association of timing of plasma transfusion with adverse maternal outcomes in women with persistent postpartum hemorrhage. JAMA Netw. Open 2019, 2, e1915628. [Google Scholar] [CrossRef] [PubMed]
- McCall, S.J.; Henriquez, D.; Edwards, H.M.; van den Akker, T.; Bloemenkamp, K.W.M.; van der Bom, J.; Bonnet, M.P.; Deneux-Tharaux, C.; Donati, S.; Gillissen, A.; et al. A total blood volume or more transfused during pregnancy or after childbirth: Individual patient data from six international population-based observational studies. PLoS ONE 2021, 16, e0244933. [Google Scholar] [CrossRef] [PubMed]
- Simpson, E.; Lin, Y.; Stanworth, S.; Birchall, J.; Doree, C.; Hyde, C. Recombinant factor VIIa for the prevention and treatment of bleeding in patients without haemophilia. Cochrane Database Syst. Rev. 2012, 3, CD005011. [Google Scholar] [CrossRef] [PubMed]
- Chauleur, C.; Cochery-Nouvellon, E.; Mercier, E.; Aya, G.; Marès, P.; Mismetti, P.; Lissalde-Lavigne, G.; Gris, J.C. Analysis of the venous thromboembolic risk associated with severe postpartum haemorrhage in the NOHA First cohort. Thromb. Haemost. 2008, 100, 773–779. [Google Scholar] [CrossRef] [PubMed]
- Salaj, P.; Brabec, P.; Penka, M.; Pohlreichova, V.; Smejkal, P.; Cetkovsky, P.; Dusek, L.; Hedner, U. Effect of rFVIIa dose and time to treatment on patients with haemophilia and inhibitors: Analysis of HemoRec registry data from the Czech Republic. Haemophilia 2009, 15, 752–759. [Google Scholar] [CrossRef] [PubMed]
- Novo Nordisk A/S. NovoSeven: Summary of Product Characteristics. Available online: https://www.ema.europa.eu/en/documents/product-information/novoseven-epar-product-information_en.pdf (accessed on 12 February 2024).
- Bienstock, J.L.; Eke, A.C.; Hueppchen, N.A. Postpartum hemorrhage. N. Engl. J. Med. 2021, 384, 1635–1645. [Google Scholar] [CrossRef] [PubMed]
- Rigouzzo, A.; Louvet, N.; Favier, R.; Ore, M.V.; Piana, F.; Girault, L.; Farrugia, M.; Sabourdin, N.; Constant, I. Assessment of coagulation by thromboelastography during ongoing postpartum hemorrhage: A retrospective cohort analysis. Anesth. Analg. 2020, 130, 416–425. [Google Scholar] [CrossRef]
- McKinnon Edwards, H. Aetiology and treatment of severe postpartum hemorrhage. Dan Med J. 2018, 65, B5444. [Google Scholar]
- Henriquez, D.D.; Gillissen, A.; Smith, S.M.; Cramer, R.A.; van den Akker, T.; Zwart, J.J.; van Roosmalen, J.J.; Bloemenkamp, K.W.; van der Bom, J.G. Clinical characteristics of women captured by extending the definition of severe postpartum hemorrhage with ‘refractoriness to treatment’: A cohort study. BMC Pregnancy and Childbirth 2019, 19, 361. [Google Scholar] [CrossRef]
- UKOSS. Massive Transfusion in Major Obstetric Hemorrhage. Available online: https://www.npeu.ox.ac.uk/ukoss/completed-surveillance/mtmoh (accessed on 12 February 2024).
- Zatta, A.; McQuilten, Z.; Kandane-Rathnayake, R.; Isbister, J.; Dunkley, S.; McNeil, J.; Cameron, P.; Phillips, L. The Australian and New Zealand Haemostasis Registry: Ten years of data on off-licence use of recombinant activated factor VII. Blood Transfus. 2015, 13, 86–99. [Google Scholar]
- Lu, B. Propensity score matching with time-dependent covariates. Biometrics. 2005, 61, 721–728. [Google Scholar] [CrossRef] [PubMed]



| Study Name | Randomized Controlled Trial | Observational Studies | |||||
|---|---|---|---|---|---|---|---|
| OS-1 | OS-2 | OS-3 | OS-4 | ||||
| Denmark | The Netherlands | UK | |||||
| Key inclusion criteria | ≥18 years; >27 weeks gestation; >1500 mL blood loss; sulprostone failure | ≥10 U RBCs within 24 h | Obstetric hemorrhage: ≥4 U RBCs, or multicomponent blood transfusion *, or plasma in addition to RBCs | ≥8 U RBCs within 24 h; ≥20 weeks of gestation | ≥1500 mL blood loss within 24 h | ≥1500 mL blood loss within 24 h | Obstetric hemorrhage with registered birth |
| Definition of PPH | Severe PPH: Blood loss >1500 mL measured in graduated bag and/or hemodynamically unstable and/or need for packed cells transfusion | Massive PPH: ≥10 U RBCs within 24 h | Persistent PPH: >1000 mL blood loss refractory to first-line interventions to control bleeding AND ≥1 of: ≥4 units of RBCs, multicomponent blood transfusion (RBCs and FFP and/or platelet concentrates), or plasma in addition to RBCs | Major PPH: ≥8 U RBCs within 24 h | Severe PPH: Continuous bleeding ≥1500 mL within 24 h | Severe PPH: Blood loss ≥1500 mL within 24 h | Obstetric case of hemorrhage with a registered delivery |
| Protocol for rFVIIa administration | 60 ug/kg rFVIIa after sulprostone failure | – | – | – | rFVIIa at a dose of 60–90 μg/kg was administered ** | – | – |
| Study Name | Randomized Controlled Trial | Observational Studies | ||||||||||
|---|---|---|---|---|---|---|---|---|---|---|---|---|
| OS-1 | OS-2 | OS-3 | OS-4 | |||||||||
| Denmark | The Netherlands | UK | ||||||||||
| Baseline Characteristics | rFVIIa N = 42 | Ref N = 42 | rFVIIa N = 40 | No rFVIIa N = 199 | rFVIIa N = 37 | No rFVIIa N = 1223 | rFVIIa N = 13 | No rFVIIa N = 149 | rFVIIa N = 52 | No rFVIIa N = 113 | rFVIIa N = 87 | rFVIIa N = 166 |
| Age at delivery, years | ||||||||||||
| N | – | – | 40 | 199 | 37 | 1223 | 13 | 149 | – | – | 84 | 166 |
| Median | – | – | 33.0 | 33.0 | 31.0 | 32.0 | 34.0 | 33.0 | – | – | 31.5 | 33.0 |
| IQR | – | – | 29.0–38.0 | 30.0–36.0 | 28.0–34.0 | 28.0–35.0 | 28.0–36.0 | 29.0–36.0 | – | – | 28.0–36.0 | 29.0–37.0 |
| Maternal body weight, kg * | ||||||||||||
| N | 42 | 40 | – | – | – | – | – | – | 52 | 108 | 87 | 135 |
| Median | 68.0 | 70.0 | – | – | – | – | – | – | 70.0 | 72.5 | 72.0 | 65.0 |
| IQR | 62.0–76.0 | 60.0–79.0 | –– | –– | –– | – | – | – | 61.0–83.0 | 67.0–82.0 | 66.0–80.0 | 55.0–75.0 |
| Cause of PPH, n (%) ** | ||||||||||||
| AIP † | 6 (14.3) | 8 (19.0) | 11 (27.5) | 51 (25.6) | 6 (16.2) | 119 (9.7) | 1 (7.7) | 28 (25.5) | 9 (17.3) | 17 (15.0) | 16 (18.4) | 28 (16.9) |
| Placental abruption | – | – | 4 (10.0) | 13 (6.5) | 0 | 12 (1.0) | 1 (7.7) | 14 (9.4) | 5 (9.6) | 8 (7.1) | 9 (10.3) | 15 (9.0) |
| Placental retention | 4 (9.5) | 1 (2.4) | 4 (10.0) | 21 (10.6) | 2 (5.4) | 217 (17.7) | – | – | 1 (1.9) | 31 (27.4) | 1 (1.1) | – |
| Trauma ‡ | 7 (16.6) | 2 (4.8) | 7 (17.5) | 50 (25.1) | 3 (8.1) | 89 (7.3) | 1 (7.7) | 26 (17.5) | 1 (1.9) | 9 (8.0) | 6 (6.9) | 5 (3.0) |
| Uterine atony | 39 (92.9) | 36 (85.7) | 11 (27.5) | 37 (18.6) | 25 (67.6) | 780 (63.8) | 8 (61.5) | 56 (37.6) | 34 (65.4) | 48 (42.5) | 24 (27.6) | 39 (23.5) |
| Other | – | – | 3 (7.5) | 27 (13.6) | 1 (2.7) | 6 (0.5) | 2 (15.4) | 14 (9.4) | 2 (3.8) | 0 | 32 (36.8) | 87 (52.4) |
| Missing | 0 | 0 | 0 | 0 | 0 | 0 | 0 | 1 (0.7) | 0 | 0 | 14 (16.1) | 24 (14.5) |
| Delivery type, n (%) | ||||||||||||
| Caesarean section | 23 (54.8) | 20 (47.6) | 25 (62.5) | 133 (66.8) | 14 (37.8) | 279 (22.8) | 7 (53.9) | 101 (67.8) | 40 (76.9) | 57 (50.4) | 40 (46.0) | 117 (70.5) |
| Multiple birth (≥2), n (%) | ||||||||||||
| Yes | 7 (16.7) | 7 (16.7) | 1 (2.5) | 12 (6.0) | 3 (8.1) | 71 (5.8) | 3 (23.1) | 4 (2.7) | 8 (15.4) | 15 (13.3) | 6 (6.9) | 8 (4.8) |
| Invasive procedure(s) prior to rFVIIa, n (%) | ||||||||||||
| Any | 1 (2.4) | NA | 23 (57.5) | NA | 15 (40.5) | NA | 3 (23.1) | NA | 32 (61.5) | NA | 21 (24.1) | 63 (38.0) |
| Hysterectomy | 0 | NA | 15 (37.5) | NA | 6 (16.2) | NA | 1 (7.7) | NA | 3 (5.8) | NA | 16 (18.4) | 45 (27.1) |
| Study Name | Randomized Controlled Trial (FAS) | Observational Studies | ||||
|---|---|---|---|---|---|---|
| OS-1 (PSAS) * | OS-2 (PSAS) | |||||
| Number of Women | rFVIIa N = 42 | Ref N = 42 | rFVIIa N = 38 | Weighted Matched Controls N = 38 ** | rFVIIa N = 18 | Weighted Matched Controls N = 17.8 ** |
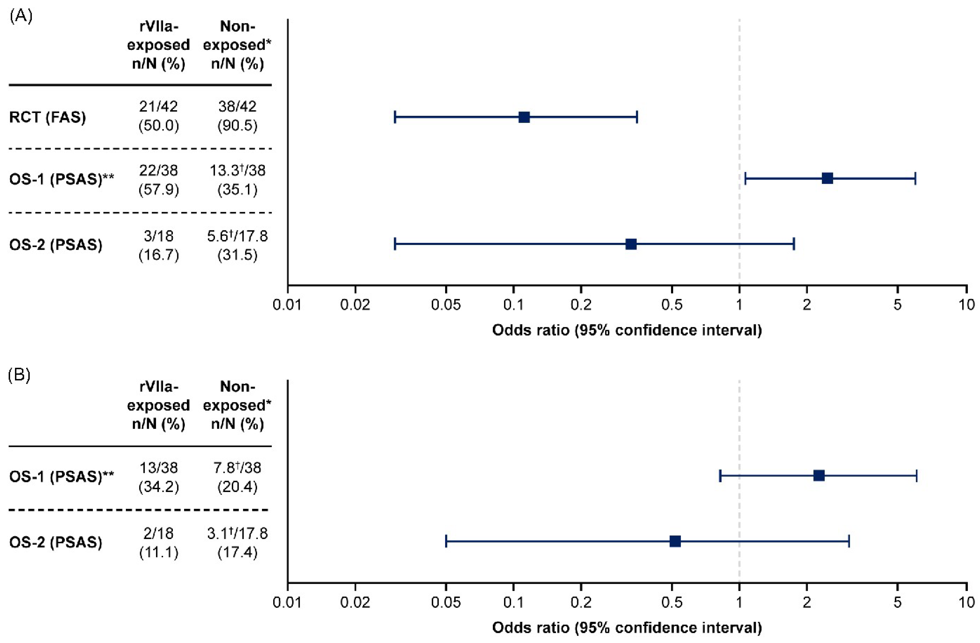
| At least one invasive procedure after rFVIIa administration † (primary endpoint), n (%) | 21 (50.0) | 38 (90.5) | 22 (57.9) | 13.3 ‡ (35.1) | 3 (16.7) | 5.6 ‡ (31.5) |
| Odds ratio (95% CI) | 0.11 (0.03–0.35) | 2.46 (1.06–5.99) | 0.33 (0.03–1.75) | |||
| p-value | – | 0.04 | 0.27 | |||
| Relative risk reduction, % (95% CI) | 44.7 (24–60) | NP | NP | |||
| p-value | <0.0001 | NP | NP | |||
| Women with hysterectomy, n (%) | 3 (7.1) | 8 (19.1) | 13 (34.2) | 7.8 ‡ (20.4) | 2 (11.1) | 3.1 ‡ (17.4) |
| Odds ratio (95% CI) | NP | 2.23 (0.83–6.06) | 0.52 (0.05–3.03) | |||
| p-value | NP | 0.12 | 0.68 | |||
| Relative risk reduction, % (95% CI) | 62.5 (−32–89) | NP | NP | |||
| p-value | 0.1944 | NP | NP | |||
| Study Name | Randomized Controlled Trial (FAS) * | Observational Studies | ||||||||||
|---|---|---|---|---|---|---|---|---|---|---|---|---|
| OS-1 | OS-2 (FAS) | OS-3 ‡ (FAS) | OS-4 (FAS) ‡‡ | |||||||||
| Denmark (FAS) ** | The Netherlands (FAS) †† | UK (FAS) | ||||||||||
| Number of women | rFVIIa N = 51 | Ref N = 33 | rFVIIa N = 40 | No rFVIIa N = 190 † | rFVIIa N = 23 | No rFVIIa N = 144 | rFVIIa N = 13 | No rFVIIa N = 149 | rFVIIa N = 52 | No rFVIIa N = 113 | rFVIIa N = 87 | rFVIIa N = 166 |
| Arterial TEs, n (%) | 0 | 0 | 0 | 1 (0.5) | 0 | 1 (0.7) | 0 | 0 | 0 | 0 | 0 | 1 (0.6) § |
| Venous TEs, n (%) | 2 (3.9) | 0 | 1 (2.5) | 2 (1.1) | 1 (4.3) | 2 (1.4) | 0 | 4 (2.9) | 0 | 1 (0.9) | 0 | 2 (1.2) |
| All TEs, n (%) | 2 (3.9) | 0 | 1 (2.5) | 3 (1.6) | 1 (4.3) | 3 (2.1) | 0 | 4 (2.9) | 0 | 1 (0.9) | 0 | 3 (1.8) |
Disclaimer/Publisher’s Note: The statements, opinions and data contained in all publications are solely those of the individual author(s) and contributor(s) and not of MDPI and/or the editor(s). MDPI and/or the editor(s) disclaim responsibility for any injury to people or property resulting from any ideas, methods, instructions or products referred to in the content. |
© 2024 by the authors. Licensee MDPI, Basel, Switzerland. This article is an open access article distributed under the terms and conditions of the Creative Commons Attribution (CC BY) license (https://creativecommons.org/licenses/by/4.0/).
Share and Cite
Caram-Deelder, C.; McKinnon Edwards, H.; Zdanowicz, J.A.; van den Akker, T.; Birkegård, C.; Blatný, J.; van der Bom, J.G.; Colucci, G.; van Duuren, D.; van Geloven, N.; et al. Efficacy and Safety Analyses of Recombinant Factor VIIa in Severe Post-Partum Hemorrhage. J. Clin. Med. 2024, 13, 2656. https://doi.org/10.3390/jcm13092656
Caram-Deelder C, McKinnon Edwards H, Zdanowicz JA, van den Akker T, Birkegård C, Blatný J, van der Bom JG, Colucci G, van Duuren D, van Geloven N, et al. Efficacy and Safety Analyses of Recombinant Factor VIIa in Severe Post-Partum Hemorrhage. Journal of Clinical Medicine. 2024; 13(9):2656. https://doi.org/10.3390/jcm13092656
Chicago/Turabian StyleCaram-Deelder, Camila, Hellen McKinnon Edwards, Jarmila A. Zdanowicz, Thomas van den Akker, Camilla Birkegård, Jan Blatný, Johanna G. van der Bom, Giuseppe Colucci, Derek van Duuren, Nan van Geloven, and et al. 2024. "Efficacy and Safety Analyses of Recombinant Factor VIIa in Severe Post-Partum Hemorrhage" Journal of Clinical Medicine 13, no. 9: 2656. https://doi.org/10.3390/jcm13092656
APA StyleCaram-Deelder, C., McKinnon Edwards, H., Zdanowicz, J. A., van den Akker, T., Birkegård, C., Blatný, J., van der Bom, J. G., Colucci, G., van Duuren, D., van Geloven, N., Henriquez, D. D. C. A., Knight, M., Korsholm, L., Landorph, A., Lavigne Lissalde, G., McQuilten, Z. K., Surbek, D., Wellard, C., Wood, E. M., & Mercier, F. J. (2024). Efficacy and Safety Analyses of Recombinant Factor VIIa in Severe Post-Partum Hemorrhage. Journal of Clinical Medicine, 13(9), 2656. https://doi.org/10.3390/jcm13092656

