Characterization of Perioperative Serotonin in Patients Undergoing Orthotopic Liver Transplantation
Abstract
1. Introduction
2. Materials and Methods
2.1. Study Population
2.2. Material Acquisition
2.3. Plasma and Serum Preparation
2.4. Definition of Outcome
2.5. Statistical Analyses
3. Results
3.1. Patient Demographics
3.2. Serum and Intra-Platelet 5-HT Decrease after Liver Transplantation with a Concomitant Rise of 5-HT in Plasma
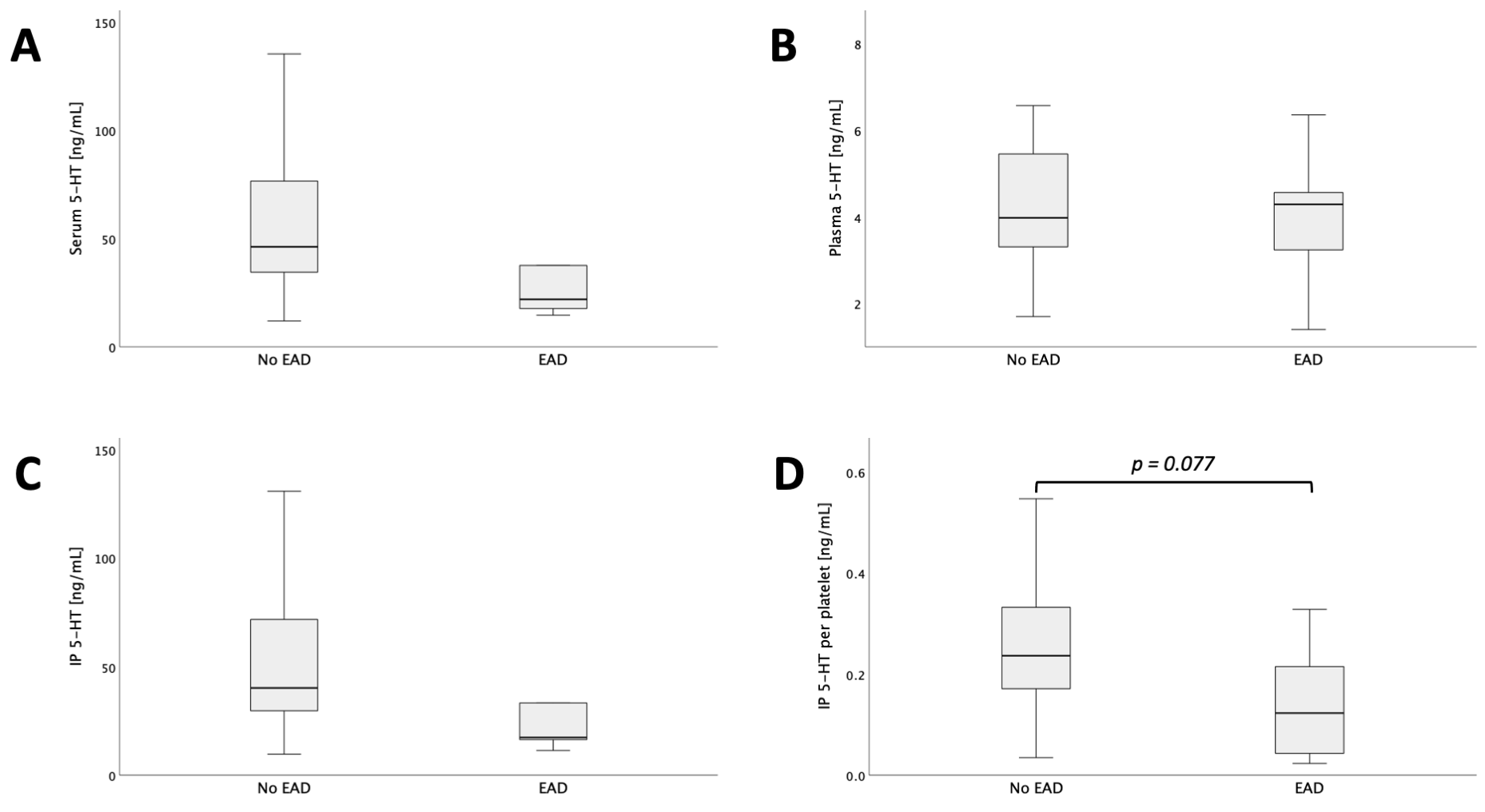
3.3. Recipients 5-HT Dynamics Do Not Differ between Recipients with or without Early Allograft Dysfunction
3.4. Donor IP 5-HT per Platelet Might Be Associated with Development of Early Allograft Dysfunction
3.5. Low Donor IP 5-HT PP Is Associated with Elevated Transaminases after Liver Transplantation
4. Discussion
Author Contributions
Funding
Institutional Review Board Statement
Informed Consent Statement
Data Availability Statement
Conflicts of Interest
References
- Müller, P.C.; Kabacam, G.; Vibert, E.; Germani, G.; Petrowsky, H. Current status of liver transplantation in Europe. Int. J. Surg. 2020, 82, 22–29. [Google Scholar] [CrossRef] [PubMed]
- Merion, R.M.; Schaubel, D.E.; Dykstra, D.M.; Freeman, R.B.; Port, F.K.; Wolfe, R.A. The survival benefit of liver transplantation. Am. J. Transplant. 2005, 5, 307–313. [Google Scholar] [CrossRef] [PubMed]
- Patel, P.; DiNorcia, J. The devil is in the detail: Current management of perioperative surgical complications after liver transplantation. Curr. Opin. Organ. Transplant. 2019, 24, 138–147. [Google Scholar] [CrossRef] [PubMed]
- Watt, K.D.; Pedersen, R.A.; Kremers, W.K.; Heimbach, J.K.; Charlton, M.R. Evolution of Causes and Risk Factors for Mortality Post Liver Transplant: Results of the NIDDK Long Term Follow-up Study. Am. J. Transplant. 2010, 10, 1420–1427. [Google Scholar] [CrossRef]
- Masior, Ł.; Grąt, M. Primary Nonfunction and Early Allograft Dysfunction after Liver Transplantation. Dig. Dis. 2022, 40, 766–776. [Google Scholar] [CrossRef]
- Zhou, J.; Chen, J.; Wei, Q.; Saeb-Parsy, K.; Xu, X. The Role of Ischemia/Reperfusion Injury in Early Hepatic Allograft Dysfunction. Liver Transplant. 2020, 26, 1034–1048. [Google Scholar] [CrossRef] [PubMed]
- Clavien, P.A. Liver regeneration: A spotlight on the novel role of platelets and serotonin. Swiss Med. Wkly. 2008, 138, 361–370. [Google Scholar] [PubMed]
- Murata, S.; Ohkohchi, N.; Matsuo, R.; Ikeda, O.; Myronovych, A.; Hoshi, R. Platelets promote liver regeneration in early period after hepatectomy in mice. World J. Surg. 2007, 31, 808–816. [Google Scholar] [CrossRef] [PubMed]
- Starlinger, P.; Pereyra, D.; Haegele, S.; Braeuer, P.; Oehlberger, L.; Primavesi, F.; Gruenberger, T. Perioperative von Willebrand factor dynamics are associated with liver regeneration and predict outcome after liver resection. Hepatology 2018, 67, 1516–1530. [Google Scholar] [CrossRef] [PubMed]
- Starlinger, P.; Assinger, A.; Haegele, S.; Wanek, D.; Zikeli, S.; Schauer, D.; Birner, P.; Fleischmann, E.; Gruenberger, B.; Brostjan, C.; et al. Evidence for serotonin as a relevant inducer of liver regeneration after liver resection in humans. Hepatology 2014, 60, 257–266. [Google Scholar] [CrossRef] [PubMed]
- Padickakudy, R.; Pereyra, D.; Offensperger, F.; Jonas, P.; Oehlberger, L.; Schwarz, C.; Haegele, S.; Assinger, A.; Brostjan, C.; Gruenberger, T.; et al. Bivalent role of intra-platelet serotonin in liver regeneration and tumor recurrence in humans. J. Hepatol. 2017, 67, 1243–1252. [Google Scholar] [CrossRef] [PubMed]
- Pereboom, I.T.A.; Lisman, T.; Porte, R.J. Platelets in liver transplantation: Friend or foe? Liver Transplant. 2008, 14, 923–931. [Google Scholar] [CrossRef]
- Takahashi, K.; Nagai, S.; Safwan, M.; Liang, C.; Ohkohchi, N. Thrombocytopenia after liver transplantation: Should we care? World J. Gastroenterol. 2018, 24, 1386–1397. [Google Scholar] [CrossRef] [PubMed]
- Feng, S.; Goodrich, N.P.; Bragg-Gresham, J.L.; Dykstra, D.M.; Punch, J.D.; DebRoy, M.A.; Greenstein, S.M.; Merion, R.M. Characteristics associated with liver graft failure: The concept of a donor risk index. Am. J. Transplant. 2006, 6, 783–790. [Google Scholar] [CrossRef] [PubMed]
- Olthoff, K.M.; Kulik, L.; Samstein, B.; Kaminski, M.; Abecassis, M.; Emond, J.; Christie, J.D. Validation of a current definition of early allograft dysfunction in liver transplant recipients and analysis of risk factors. Liver Transplant. 2010, 16, 943–949. [Google Scholar] [CrossRef] [PubMed]
- Lesurtel, M.; Graf, R.; Aleil, B.; Walther, D.J.; Tian, Y.; Jochum, W.; Clavien, P.A. Platelet-derived serotonin mediates liver regeneration. Science 2006, 312, 104–107. [Google Scholar] [CrossRef] [PubMed]
- Alkozai, E.M.; Nijsten, M.W.; de Jong, K.P.; de Boer, M.T.; Peeters, P.M.J.G.; Slooff, M.J.; Porte, R.J.; Lisman, T. Immediate postoperative low platelet count is associated with delayed liver function recovery after partial liver resection. Ann. Surg. 2010, 251, 300–306. [Google Scholar] [CrossRef] [PubMed]
- Yoshizumi, T.; Itoh, S.; Imai, D.; Ikegami, T.; Ninomiya, M.; Iguchi, T.; Harimoto, N.; Takeishi, K.; Kimura, Y.; Uchiyama, H.; et al. Impact of platelets and serotonin on liver regeneration after living donor hepatectomy. Transplant. Proc. 2015, 47, 683–685. [Google Scholar] [CrossRef] [PubMed]
- Han, S.; Ko, J.S.; Gwak, M.S.; Kim, G.S. Association of Platelet Count and Platelet Transfusion with Serotonin Level during Living Donor Liver Transplantation: Possible Connection to Graft Regeneration. Transplant. Proc. 2018, 50, 1104–1107. [Google Scholar] [CrossRef] [PubMed]
- Xie, H.; Zhang, L.; Guo, D.; Yang, Z.; Zhu, H.; Zhou, K.; Zheng, S. Protein Profiles of Pretransplant Grafts Predict Early Allograft Dysfunction after Liver Transplantation from Donation after Circulatory Death. Transplantation 2020, 104, 79–89. [Google Scholar] [CrossRef]
- Flores, A.; Asrani, S.K. The donor risk index: A decade of experience. Liver Transplant. 2017, 23, 1216–1225. [Google Scholar] [CrossRef] [PubMed]
- Asrani, S.K.; Saracino, G.; Wall, A.; Trotter, J.F.; Testa, G.; Hernaez, R.; Sharma, P.; Kwong, A.; Banerjee, S.; McKenna, G. Assessment of donor quality and risk of graft failure after liver transplantation: The ID2 EAL score. Am. J. Transplant. 2022, 22, 2921–2930. [Google Scholar] [CrossRef] [PubMed]
- He, Y.B.; Sun, J.S.; Wang, Z.P.; Yao, G.; Bai, L.; Li, T.; Zhao, J.-M. Risk factors of early liver dysfunction after liver transplantation using grafts from donation after citizen death donors. Transpl. Immunol. 2022, 71, 101525. [Google Scholar] [CrossRef]
- Lisman, T.; Porte, R.J. Mechanisms of platelet-mediated liver regeneration. Blood 2016, 128, 625–629. [Google Scholar] [CrossRef] [PubMed]
- Jochmans, I.; van Rosmalen, M.; Pirenne, J.; Samuel, U. Adult Liver Allocation in Eurotransplant. Transplantation 2017, 101, 1542–1550. [Google Scholar] [CrossRef] [PubMed]
- van Rijn, R.; Schurink, I.J.; de Vries, Y.; van den Berg, A.P.; Cortes Cerisuelo, M.; Darwish Murad, S.; Porte, R.J. Hypothermic Machine Perfusion in Liver Transplantation—A Randomized Trial. N. Engl. J. Med. 2021, 384, 1391–1401. [Google Scholar] [CrossRef] [PubMed]
- Czigany, Z.; Pratschke, J.; Froněk, J.; Guba, M.; Schöning, W.; Raptis, D.A.; Lurje, G. Hypothermic Oxygenated Machine Perfusion Reduces Early Allograft Injury and Improves Post-transplant Outcomes in Extended Criteria Donation Liver Transplantation from Donation after Brain Death: Results from a Multicenter Randomized Controlled Trial (HOPE ECD-DBD). Ann. Surg. 2021, 274, 705–712. [Google Scholar] [PubMed]
- Mussbacher, M.; Schrottmaier, W.C.; Salzmann, M.; Brostjan, C.; Schmid, J.A.; Starlinger, P.; Assinger, A. Optimized plasma preparation is essential to monitor platelet-stored molecules in humans. PLoS ONE 2017, 12, e0188921. [Google Scholar] [CrossRef]
- Starlinger, P.; Alidzanovic, L.; Schauer, D.; Brugger, P.; Sommerfeldt, S.; Kuehrer, I.; Brostjan, C. Platelet-stored angiogenesis factors: Clinical monitoring is prone to artifacts. Dis. Markers 2011, 31, 55–65. [Google Scholar] [CrossRef] [PubMed]






| Study Cohort | Entire Cohort (n = 44) | EAD (n = 9) | No EAD (n = 35) | p |
|---|---|---|---|---|
| Parameter | N (%), Median (IQR) | |||
| Sex | 1.000 | |||
| Male | 33 (75%) | 7 (77.8%) | 26 (74.3%) | |
| Female | 11 (25%) | 2 (22.2%) | 9 (25.7%) | |
| Age at OLT [a] | 55.4 (49.1–63.4) | 50.8 (43.0–62.1) | 57.9 (50.2–64.1) | 0.300 |
| BMI at OLT [kg/m2] | 26.4 (22.3–32.0) | 27.7 (24.3–33.5) | 26.3 (21.7–31.8) | 0.274 |
| MELD at OLT | 16.2 (10.9–20.9) | 13.2 (8.6–20.6) | 16.4 (11.6–21.3) | 0.274 |
| Listing diagnosis | ||||
| ALCI | 17 (38.6%) | 1 (11.1%) | 16 (45.7%) | 0.060 |
| HCC | 6 (13.6%) | 1 (11.1%) | 5 (14.3%) | 0.644 |
| PSC | 5 (11.4%) | 1 (11.1%) | 4 (11.4%) | 0.733 |
| Hepatitis | 4 (9.1%) | 2 (22.2%) | 2 (5.7%) | 0.180 |
| Benign liver tumors | 3 (6.8%) | 1 (11.1%) | 2 (5.7%) | 0.506 |
| Other | 9 (20.5%) | 3 (33.4%) | 6 (17.1%) | 0.260 |
| Surgical revision | 0.101 | |||
| No | 34 (77.3%) | 5 (55.6%) | 29 (82.9%) | |
| Yes | 10 (22.7%) | 4 (44.4%) | 6 (17.1%) | |
| Vascular complications | 2 (20%) | 1 (25%) | 1 (16.7%) | |
| Biliary complications | 4 (40%) | 1 (25%) | 3 (50%) | |
| Bleeding/Hematoma | 4 (40%) | 2 (50%) | 2 (33.3%) | |
| Perfusion | 0.925 | |||
| No machine perfusion | 17 (38.6%) | 3 (33.3%) | 14 (40%) | |
| Hypothermic | 23 (52.3%) | 5 (55.6%) | 18 (51.4%) | |
| Normothermic | 4 (9.1%) | 1 (11.1%) | 3 (8.6%) | |
| ICU stay [d] | 7 (4–12) | 12 (5–18) | 6 (4–9) | 0.125 |
| Hospital stay [d] | 20 (15–25) | 24 (22–42) | 18 (15–24) | 0.027 * |
| Follow-up period [d] | 734.5 (372.8–1088.5) | 117 (55–673) | 240 (44–500) | 0.954 |
| Death within follow-up period | 0.371 | |||
| No | 42 (95.5%) | 8 (88.9%) | 34 (97.1%) | |
| Yes | 2 (4.5%) | 1 (11.1%) | 1 (2.9%) | |
| Study Cohort | Entire Cohort (n = 44) | EAD (n = 9) | No EAD (n = 35) | p |
|---|---|---|---|---|
| Parameter | N (%), Median (IQR) | |||
| Sex | 0.431 | |||
| Male | 22 (61.1%) | 3 (50%) | 19 (63.3%) | |
| Female | 14 (38.9%) | 3 (50%) | 11 (36.7%) | |
| Age [a] | 55.5 (45.0–60.0) | 53.5 (26.0–59.0) | 56.5 (45.0–60.3) | 0.548 |
| BMI [kg/m2] | 25.0 (22.3–29.0) | 26.0 (21.8–31.2) | 25.0 (22.8–29.0) | 0.725 |
| Cause of death | 0.858 | |||
| Cerebral | 27 (75%) | 4 (66.7%) | 23 (76.7%) | |
| Trauma | 5 (13.9%) | 1 (16.7%) | 4 (13.3%) | |
| Cardiovascular | 4 (11.1%) | 1 (16.7%) | 3 (10%) | |
| Respiratory | 0 (0%) | 0 (0%) | 0 (0%) | |
| Cardiac arrest | 0.447 | |||
| Yes | 11 (35.5%) | 2 (50%) | 9 (33.3%) | |
| No | 20 (64.5%) | 2 (50%) | 18 (66.7%) | |
| Alcohol abuse | 0.715 | |||
| Yes | 6 (21.4%) | 1 (20%) | 5 (21.7%) | |
| No | 22 (78.6%) | 4 (80%) | 18 (78.3%) | |
| Smoking | 0.455 | |||
| Yes | 11 (40.7%) | 1 (25%) | 10 (43.5%) | |
| No | 16 (59.3%) | 3 (75%) | 13 (56.5%) | |
| Diabetes | 0.762 | |||
| Yes | 2 (6.3%) | 0 (0%) | 2 (7.1%) | |
| No | 30 (93.8%) | 4 (100%) | 26 (92.9%) | |
| Hypertension | 0.530 | |||
| Yes | 16 (48.5%) | 2 (40%) | 14 (50%) | |
| No | 17 (51.5%) | 3 (60%) | 14 (50%) | |
| Laboratory | ||||
| AST | 46 (24–83) | 63 (47–220) | 39 (22–77) | 0.133 |
| ALT | 31 (15–75) | 41 (15–118) | 31 (15–75) | 0.885 |
| LDH | 240 (192–330) | 369 (266–1172) | 234 (176–306) | 0.027 * |
| GGT | 39 (21–82) | 60 (31–231) | 31 (19–79) | 0.250 |
| Platelet count | 173 (134–265) | 283 (175–427) | 170 (130–232) | 0.135 |
| DRI | 1.56 (1.33–1.89) | 1.57 (1.25–2.03) | 1.56 (1.29–1.89) | 0.881 |
| Median (IQR) n | Baseline | POD1 | POD5 | POD10 |
|---|---|---|---|---|
| Serum 5-HT [ng/mL] | 64.8 (31.7–103.1) n = 44 | 33.4 (19.0–51.2) n = 43 | 25.7 (17.6–38.5) n = 43 | 31.1 (18.1–41.2) n = 42 |
| Plasma 5-HT [ng/mL] | 5.1 (3.9–6.5) n = 44 | 9.2 (5.8–11.5) n = 43 | 9.9 (5.8–16.7) n = 43 | 7.1 (4.6–10.6) n = 42 |
| IP 5-HT [ng/mL] | 59.9 (25.7–90.4) n = 44 | 25.3 (14.2–41.7) n = 43 | 15.1 (7.5–26.6) n = 43 | 21.9 (10.5–34.9) n = 42 |
| IP 5-HT PP [ng/mL] | 0.49 (0.29–0.77) n = 44 | 0.39 (0.23–0.59) n = 43 | 0.25 (0.15–0.41) n = 43 | 0.11 (0.05–0.28) n = 42 |
Disclaimer/Publisher’s Note: The statements, opinions and data contained in all publications are solely those of the individual author(s) and contributor(s) and not of MDPI and/or the editor(s). MDPI and/or the editor(s) disclaim responsibility for any injury to people or property resulting from any ideas, methods, instructions or products referred to in the content. |
© 2024 by the authors. Licensee MDPI, Basel, Switzerland. This article is an open access article distributed under the terms and conditions of the Creative Commons Attribution (CC BY) license (https://creativecommons.org/licenses/by/4.0/).
Share and Cite
Zott, T.; Pereyra, D.; Kersten, I.; Ortner, M.; Hüpper, M.N.; Starlinger, P.; Berlakovich, G.A.; Silberhumer, G.R. Characterization of Perioperative Serotonin in Patients Undergoing Orthotopic Liver Transplantation. J. Clin. Med. 2024, 13, 2640. https://doi.org/10.3390/jcm13092640
Zott T, Pereyra D, Kersten I, Ortner M, Hüpper MN, Starlinger P, Berlakovich GA, Silberhumer GR. Characterization of Perioperative Serotonin in Patients Undergoing Orthotopic Liver Transplantation. Journal of Clinical Medicine. 2024; 13(9):2640. https://doi.org/10.3390/jcm13092640
Chicago/Turabian StyleZott, Tobias, David Pereyra, Isabelle Kersten, Max Ortner, Maria Noelle Hüpper, Patrick Starlinger, Gabriela A. Berlakovich, and Gerd R. Silberhumer. 2024. "Characterization of Perioperative Serotonin in Patients Undergoing Orthotopic Liver Transplantation" Journal of Clinical Medicine 13, no. 9: 2640. https://doi.org/10.3390/jcm13092640
APA StyleZott, T., Pereyra, D., Kersten, I., Ortner, M., Hüpper, M. N., Starlinger, P., Berlakovich, G. A., & Silberhumer, G. R. (2024). Characterization of Perioperative Serotonin in Patients Undergoing Orthotopic Liver Transplantation. Journal of Clinical Medicine, 13(9), 2640. https://doi.org/10.3390/jcm13092640

