Platelet Reactivity in the Exacerbation of Psoriasis
Abstract
1. Introduction
2. Materials and Methods
2.1. Study Design
2.2. Dermatological Evaluation
2.3. Blood Sampling
2.4. Platelet Function Assessment
2.5. Sample Size Calculation
2.6. Statistical Analyses
3. Results
4. Discussion
5. Study Limitations
6. Conclusions
Author Contributions
Funding
Institutional Review Board Statement
Informed Consent Statement
Data Availability Statement
Acknowledgments
Conflicts of Interest
References
- Parisi, R.; Symmons, D.P.M.; Griffiths, C.E.M.; Ashcroft, D.M. Identification and Management of Psoriasis and Associated ComorbidiTy (IMPACT) project team. Global Epidemiology of Psoriasis: A Systematic Review of Incidence and Prevalence. J. Investig. Dermatol. 2013, 133, 377–385. [Google Scholar] [CrossRef] [PubMed]
- Armstrong, A.W.; Read, C. Pathophysiology, Clinical Presentation, and Treatment of Psoriasis: A Review. JAMA 2020, 323, 1945–1960. [Google Scholar] [CrossRef] [PubMed]
- Griffiths, C.E.M.; Armstrong, A.W.; Gudjonsson, J.E.; Barker, J.N.W.N. Psoriasis. Lancet 2021, 397, 1301–1315. [Google Scholar] [CrossRef] [PubMed]
- Adamski, Z.; Kanabaj, K.; Kuźniak, A. The Link between Psoriasis and Other Diseases Based on Epidemiological and Genetic Analyses. Postep. Dermatol. Alergol. 2023, 40, 496–503. [Google Scholar] [CrossRef] [PubMed]
- Michalski, P.; Palazzo-Michalska, V.; Buda, P.; Michalska-Bańkowska, A.; Bańkowski, M.; Strojny, D.; Grabarek, B.O. A Crossroads between Dietary Habits, Alcohol Consumption, and Smoking in the Clinical Course of Psoriasis: A Narrative Review. Postep. Dermatol. Alergol. 2023, 40, 599–605. [Google Scholar] [CrossRef]
- Nestle, F.O.; Kaplan, D.H.; Barker, J. Psoriasis. N. Engl. J. Med. 2009, 361, 496–509. [Google Scholar] [CrossRef]
- Späh, F. Inflammation in Atherosclerosis and Psoriasis: Common Pathogenic Mechanisms and the Potential for an Integrated Treatment Approach. Br. J. Dermatol. 2008, 159 (Suppl. 2), 10–17. [Google Scholar] [CrossRef]
- Visseren, F.L.J.; Mach, F.; Smulders, Y.M.; Carballo, D.; Koskinas, K.C.; Bäck, M.; Benetos, A.; Biffi, A.; Boavida, J.-M.; Capodanno, D.; et al. 2021 ESC Guidelines on Cardiovascular Disease Prevention in Clinical Practice. Eur. Heart J. 2021, 42, 3227–3337. [Google Scholar] [CrossRef]
- Mansouri, B.; Kivelevitch, D.; Natarajan, B.; Joshi, A.A.; Ryan, C.; Benjegerdes, K.; Schussler, J.M.; Rader, D.J.; Reilly, M.P.; Menter, A.; et al. Comparison of Coronary Artery Calcium Scores Between Patients with Psoriasis and Type 2 Diabetes. JAMA Dermatol. 2016, 152, 1244–1253. [Google Scholar] [CrossRef]
- Lerman, J.B.; Joshi, A.A.; Chaturvedi, A.; Aberra, T.M.; Dey, A.K.; Rodante, J.A.; Salahuddin, T.; Chung, J.H.; Rana, A.; Teague, H.L.; et al. Coronary Plaque Characterization in Psoriasis Reveals High-Risk Features That Improve After Treatment in a Prospective Observational Study. Circulation 2017, 136, 263–276. [Google Scholar] [CrossRef]
- Ogdie, A.; Yu, Y.; Haynes, K.; Love, T.J.; Maliha, S.; Jiang, Y.; Troxel, A.B.; Hennessy, S.; Kimmel, S.E.; Margolis, D.J.; et al. Risk of Major Cardiovascular Events in Patients with Psoriatic Arthritis, Psoriasis and Rheumatoid Arthritis: A Population-Based Cohort Study. Ann. Rheum. Dis. 2015, 74, 326–332. [Google Scholar] [CrossRef] [PubMed]
- Berrettini, M.; Parise, P.; Constantini, V.; Grasselli, S.; Nenci, G.G. Platelet Activation in Psoriasis. Thromb. Haemost. 1985, 53, 195–197. [Google Scholar] [CrossRef] [PubMed]
- Kragballe, K.; Fallon, J.D. Increased Aggregation and Arachidonic Acid Transformation by Psoriatic Platelets: Evidence That Platelet-Derived 12-Hydroxy-Eicosatetraenoic Acid Increases Keratinocyte DNA Synthesis in Vitro. Arch. Dermatol. Res. 1986, 278, 449–453. [Google Scholar] [CrossRef] [PubMed]
- Tamagawa-Mineoka, R.; Katoh, N.; Ueda, E.; Masuda, K.; Kishimoto, S. Elevated Platelet Activation in Patients with Atopic Dermatitis and Psoriasis: Increased Plasma Levels of Beta-Thromboglobulin and Platelet Factor 4. Allergol. Int. Off. J. Jpn. Soc. Allergol. 2008, 57, 391–396. [Google Scholar] [CrossRef] [PubMed]
- Chandrashekar, L.; Rajappa, M.; Revathy, G.; Sundar, I.; Munisamy, M.; Ananthanarayanan, P.H.; Thappa, D.M.; Basu, D. Is Enhanced Platelet Activation the Missing Link Leading to Increased Cardiovascular Risk in Psoriasis? Clin. Chim. Acta Int. J. Clin. Chem. 2015, 446, 181–185. [Google Scholar] [CrossRef]
- Garbaraviciene, J.; Diehl, S.; Varwig, D.; Bylaite, M.; Ackermann, H.; Ludwig, R.J.; Boehncke, W.-H. Platelet P-Selectin Reflects a State of Cutaneous Inflammation: Possible Application to Monitor Treatment Efficacy in Psoriasis. Exp. Dermatol. 2010, 19, 736–741. [Google Scholar] [CrossRef] [PubMed]
- Tantry, U.S.; Bonello, L.; Aradi, D.; Price, M.J.; Jeong, Y.-H.; Angiolillo, D.J.; Stone, G.W.; Curzen, N.; Geisler, T.; Ten Berg, J.; et al. Working Group on On-Treatment Platelet Reactivity. Consensus and Update on the Definition of On-Treatment Platelet Reactivity to Adenosine Diphosphate Associated with Ischemia and Bleeding. J. Am. Coll. Cardiol. 2013, 62, 2261–2273. [Google Scholar] [CrossRef] [PubMed]
- Brar, S.S.; ten Berg, J.; Marcucci, R.; Price, M.J.; Valgimigli, M.; Kim, H.-S.; Patti, G.; Breet, N.J.; DiSciascio, G.; Cuisset, T.; et al. Impact of Platelet Reactivity on Clinical Outcomes after Percutaneous Coronary Intervention. A Collaborative Meta-Analysis of Individual Participant Data. J. Am. Coll. Cardiol. 2011, 58, 1945–1954. [Google Scholar] [CrossRef] [PubMed]
- Aradi, D.; Kirtane, A.; Bonello, L.; Gurbel, P.A.; Tantry, U.S.; Huber, K.; Freynhofer, M.K.; ten Berg, J.; Janssen, P.; Angiolillo, D.J.; et al. Bleeding and Stent Thrombosis on P2Y12-Inhibitors: Collaborative Analysis on the Role of Platelet Reactivity for Risk Stratification after Percutaneous Coronary Intervention. Eur. Heart J. 2015, 36, 1762–1771. [Google Scholar] [CrossRef] [PubMed]
- Aradi, D.; Collet, J.-P.; Mair, J.; Plebani, M.; Merkely, B.; Jaffe, A.S.; Möckel, M.; Giannitsis, E.; Thygesen, K.; ten Berg, J.M.; et al. Function Testing in Acute Cardiac Care—Is There a Role for Prediction or Prevention of Stent Thrombosis and Bleeding? Thromb. Haemost. 2015, 113, 221–230. [Google Scholar] [CrossRef]
- Berger, M.; Dressel, A.; Kleber, M.E.; März, W.; Hellstern, P.; Marx, N.; Schütt, K. Platelet Reactivity and Cardiovascular Mortality Risk in the LURIC Study. J. Clin. Med. 2023, 12, 1913. [Google Scholar] [CrossRef] [PubMed]
- Wilczyński, M.; Krejca, M.; Stepinski, P.; Rozalski, M.; Golanski, J. Platelet Reactivity Expressed as a Novel Platelet Reactivity Score Is Associated with Higher Inflammatory State after Coronary Artery Bypass Grafting. Arch. Med. Sci. 2023, 19, 392–400. [Google Scholar] [CrossRef] [PubMed]
- Li, J.; Yuan, D.; Jiang, L.; Tang, X.; Xu, J.; Song, Y.; Chen, J.; Qiao, S.; Yang, Y.; Gao, R.; et al. Similar Inflammatory Biomarkers Reflect Different Platelet Reactivity in Percutaneous Coronary Intervention Patients Treated With Clopidogrel: A Large-Sample Study From China. Front. Cardiovasc. Med. 2021, 8, 736466. [Google Scholar] [CrossRef] [PubMed]
- Lee, S.; Hizoh, I.; Kovacs, A.; Horvath, Z.; Kiss, N.; Toth-Zsamboki, E.; Kiss, R.G. Predictors of High On-Clopidogrel Platelet Reactivity in Patients with Acute Coronary Syndrome. Platelets 2016, 27, 159–167. [Google Scholar] [CrossRef] [PubMed]
- Osmancik, P.; Paulu, P.; Tousek, P.; Kocka, V.; Widimsky, P. High Leukocyte Count and Interleukin-10 Predict High on-Treatment-Platelet-Reactivity in Patients Treated with Clopidogrel. J. Thromb. Thrombolysis 2012, 33, 349–354. [Google Scholar] [CrossRef] [PubMed]
- Gremmel, T.; Perkmann, T.; Seidinger, D.; Koppensteiner, R.; Panzer, S.; Kopp, C.W.; Steiner, S. Differential Impact of Inflammation on Six Laboratory Assays Measuring Residual Arachidonic Acid-Inducible Platelet Reactivity during Dual Antiplatelet Therapy. J. Atheroscler. Thromb. 2013, 20, 630–645. [Google Scholar] [CrossRef] [PubMed]
- Strober, B.; Ryan, C.; van de Kerkhof, P.; van der Walt, J.; Kimball, A.B.; Barker, J.; Blauvelt, A.; International Psoriasis Council Board Members and Councilors. Recategorization of Psoriasis Severity: Delphi Consensus from the International Psoriasis Council. J. Am. Acad. Dermatol. 2020, 82, 117–122. [Google Scholar] [CrossRef] [PubMed]
- Spuls, P.I.; Lecluse, L.L.A.; Poulsen, M.-L.N.F.; Bos, J.D.; Stern, R.S.; Nijsten, T. How Good Are Clinical Severity and Outcome Measures for Psoriasis?: Quantitative Evaluation in a Systematic Review. J. Investig. Dermatol. 2010, 130, 933–943. [Google Scholar] [CrossRef]
- Fredriksson, T.; Pettersson, U. Severe Psoriasis--Oral Therapy with a New Retinoid. Dermatologica 1978, 157, 238–244. [Google Scholar] [CrossRef]
- Finlay, A.Y.; Khan, G.K. Dermatology Life Quality Index (DLQI)—A Simple Practical Measure for Routine Clinical Use. Clin. Exp. Dermatol. 1994, 19, 210–216. [Google Scholar] [CrossRef]
- Cattaneo, M.; Cerletti, C.; Harrison, P.; Hayward, C.P.M.; Kenny, D.; Nugent, D.; Nurden, P.; Rao, A.K.; Schmaier, A.H.; Watson, S.P.; et al. Recommendations for the Standardization of Light Transmission Aggregometry: A Consensus of the Working Party from the Platelet Physiology Subcommittee of SSC/ISTH. J. Thromb. Haemost. 2013, 11, 1183–1189. [Google Scholar] [CrossRef] [PubMed]
- Hayward, C.P.M.; Moffat, K.A.; Raby, A.; Israels, S.; Plumhoff, E.; Flynn, G.; Zehnder, J.L. Development of North American Consensus Guidelines for Medical Laboratories That Perform and Interpret Platelet Function Testing Using Light Transmission Aggregometry. Am. J. Clin. Pathol. 2010, 134, 955–963. [Google Scholar] [CrossRef] [PubMed]
- Park, Y.; Jeong, Y.-H.; Kim, I.-S.; Yun, S.-E.; Kwon, T.J.; Hwang, S.-J.; Kwak, C.H.; Hwang, J.-Y. The Concordance and Correlation of Measurements by Multiple Electrode and Light Transmittance Aggregometries Based on the Pre-Defined Cutoffs of High and Low on-Treatment Platelet Reactivity. Platelets 2012, 23, 290–298. [Google Scholar] [CrossRef] [PubMed]
- Adamski, P.; Sikora, J.; Laskowska, E.; Buszko, K.; Ostrowska, M.; Umińska, J.M.; Sikora, A.; Skibińska, N.; Sobczak, P.; Adamska, U.; et al. Comparison of Bioavailability and Antiplatelet Action of Ticagrelor in Patients with ST-Elevation Myocardial Infarction and Non-ST-Elevation Myocardial Infarction: A Prospective, Observational, Single-Centre Study. PLoS ONE 2017, 12, e0186013. [Google Scholar] [CrossRef] [PubMed]
- Waissi, F.; Dekker, M.; Bank, I.E.M.; Korporaal, S.J.A.; Urbanus, R.T.; de Borst, G.J.; Pasterkamp, G.; Scholtens, A.M.; Grobbee, D.E.; Mosterd, A.; et al. Sex Differences in Flow Cytometry-Based Platelet Reactivity in Stable Outpatients Suspected of Myocardial Ischemia. Res. Pract. Thromb. Haemost. 2020, 4, 879–885. [Google Scholar] [CrossRef] [PubMed]
- Breet, N.J.; Sluman, M.A.; van Berkel, M.A.J.P.J.; van Werkum, J.W.; Bouman, H.J.; Harmsze, A.M.; Kelder, J.C.; Zijlstra, F.; Hackeng, C.M.; Ten Berg, J.M. Effect of Gender Difference on Platelet Reactivity. Neth. Heart J. 2011, 19, 451–457. [Google Scholar] [CrossRef] [PubMed]
- Ranucci, M.; Aloisio, T.; Di Dedda, U.; Menicanti, L.; de Vincentiis, C.; Baryshnikova, E.; Surgical and Clinical Outcome REsearch (SCORE) Group. Gender-Based Differences in Platelet Function and Platelet Reactivity to P2Y12 Inhibitors. PLoS ONE 2019, 14, e0225771. [Google Scholar] [CrossRef] [PubMed]
- Kawai, T.; Autieri, M.V.; Scalia, R. Adipose Tissue Inflammation and Metabolic Dysfunction in Obesity. Am. J. Physiol. Cell Physiol. 2021, 320, C375–C391. [Google Scholar] [CrossRef] [PubMed]
- Lee, S.; Eichelberger, B.; Kopp, C.W.; Panzer, S.; Gremmel, T. Residual Platelet Reactivity in Low-Dose Aspirin-Treated Patients with Class 1 Obesity. Vascul. Pharmacol. 2021, 136, 106819. [Google Scholar] [CrossRef] [PubMed]
- Ranucci, M.; Aloisio, T.; Dedda, U.D.; La Rovere, M.T.; De Arroyabe, B.M.L.; Baryshnikova, E. Platelet Reactivity in Overweight and Obese Patients Undergoing Cardiac Surgery. Platelets 2019, 30, 608–614. [Google Scholar] [CrossRef]
- Bordeaux, B.C.; Qayyum, R.; Yanek, L.R.; Vaidya, D.; Becker, L.C.; Faraday, N.; Becker, D.M. Effect of Obesity on Platelet Reactivity and Response to Low-Dose Aspirin. Prev. Cardiol. 2010, 13, 56–62. [Google Scholar] [CrossRef] [PubMed]
- Di Minno, M.N.D.; Iervolino, S.; Peluso, R.; Scarpa, R.; Di Minno, G. Platelet Reactivity and Disease Activity in Subjects with Psoriatic Arthritis. J. Rheumatol. 2012, 39, 334–336. [Google Scholar] [CrossRef] [PubMed]
- Adamski, P.; Buszko, K.; Sikora, J.; Niezgoda, P.; Fabiszak, T.; Ostrowska, M.; Barańska, M.; Karczmarska-Wódzka, A.; Navarese, E.P.; Kubica, J. Determinants of High Platelet Reactivity in Patients with Acute Coronary Syndromes Treated with Ticagrelor. Sci. Rep. 2019, 9, 3924. [Google Scholar] [CrossRef] [PubMed]
- Stratz, C.; Bömicke, T.; Younas, I.; Kittel, A.; Amann, M.; Valina, C.M.; Nührenberg, T.; Trenk, D.; Neumann, F.-J.; Hochholzer, W. Comparison of Immature Platelet Count to Established Predictors of Platelet Reactivity During Thienopyridine Therapy. J. Am. Coll. Cardiol. 2016, 68, 286–293. [Google Scholar] [CrossRef] [PubMed]
- Coimbra, S.; Oliveira, H.; Reis, F.; Belo, L.; Rocha, S.; Quintanilha, A.; Figueiredo, A.; Teixeira, F.; Castro, E.; Rocha-Pereira, P.; et al. C-Reactive Protein and Leucocyte Activation in Psoriasis Vulgaris According to Severity and Therapy. J. Eur. Acad. Dermatol. Venereol. 2010, 24, 789–796. [Google Scholar] [CrossRef] [PubMed]
- Şener, G.; İnan Yuksel, E.; Gökdeniz, O.; Karaman, K.; Canat, H.D. The Relationship of Hematological Parameters and C-Reactive Protein (CRP) With Disease Presence, Severity, and Response to Systemic Therapy in Patients with Psoriasis. Cureus 2023, 15, e43790. [Google Scholar] [CrossRef] [PubMed]
- Cornara, S.; Crimi, G.; Somaschini, A.; Cattaneo, M.; Angiolillo, D.J.; Palmerini, T.; De Servi, S. Systemic Inflammatory Status Is Associated with Increased Platelet Reactivity in the Early Period after Acute Coronary Syndromes. Platelets 2018, 29, 528–530. [Google Scholar] [CrossRef] [PubMed]
- Siegel, D.; Devaraj, S.; Mitra, A.; Raychaudhuri, S.P.; Raychaudhuri, S.K.; Jialal, I. Inflammation, Atherosclerosis, and Psoriasis. Clin. Rev. Allergy Immunol. 2013, 44, 194–204. [Google Scholar] [CrossRef]
- Fernández-Armenteros, J.M.; Gómez-Arbonés, X.; Buti-Soler, M.; Betriu-Bars, A.; Sanmartin-Novell, V.; Ortega-Bravo, M.; Martínez-Alonso, M.; Garí, E.; Portero-Otín, M.; Santamaria-Babi, L.; et al. Psoriasis, Metabolic Syndrome and Cardiovascular Risk Factors. A Population-Based Study. J. Eur. Acad. Dermatol. Venereol. 2019, 33, 128–135. [Google Scholar] [CrossRef]
- Bai, R.; Ren, L.; Guo, J.; Xian, N.; Luo, R.; Chang, Y.; Dai, Y.; Lei, H.; Zheng, Y. The Causal Relationship between Pure Hypercholesterolemia and Psoriasis: A Bidirectional, Two-Sample Mendelian Randomization Study. Skin Res. Technol. 2023, 29, e13533. [Google Scholar] [CrossRef]
- Nkambule, B.B.; Chan, M.V.; Lachapelle, A.R.; Grech, J.; Thibord, F.; Chen, M.-H.; Johnson, A.D. The Association between Platelet Reactivity and Lipoprotein Levels in Framingham Heart Study Participants. Thromb. Res. 2023, 225, 103–109. [Google Scholar] [CrossRef]
- Di Costanzo, A.; Indolfi, C.; Sorrentino, S.; Esposito, G.; Spaccarotella, C.A.M. The Effects of Statins, Ezetimibe, PCSK9-Inhibitors, Inclisiran, and Icosapent Ethyl on Platelet Function. Int. J. Mol. Sci. 2023, 24, 11739. [Google Scholar] [CrossRef]


| Variable | Patients with Psoriasis (n = 120) |
|---|---|
| MPA (%) | 75% [65–83%] |
| HPR | 109 (90.8%) |
| Age (years) | 38.0 [30.5–54.0] |
| Women | 41 (34.2%) |
| BMI (kg/m2) | 26.5 [24.1–29.6] |
| Time from diagnosis of psoriasis (years) | 18.0 ± 10.9 |
| Previous exacerbation of psoriasis (months) | 3.2 ± 2.5 |
| Psoriatic arthritis | 12 (10.0%) |
| DLQI (points) | 15.2 ± 6.2 |
| BSA (%) | 22.4 ± 17.1 |
| PASI (points) | 13.1 ± 7.8 |
| Metabolic syndrome | 34 (28.3%) |
| Hypertension | 21 (17.5%) |
| Diabetes mellitus | 4 (3.3%) |
| Asthma | 3 (2.5%) |
| Current smoking | 58 (48.3%) |
| C-reactive protein (mg/L) | 2.48 [0.83–5.68] |
| Platelet count (103/μL) | 257 [227–300] |
| Mean platelet volume (fL) | 10.4 [10.0–11.0] |
| Fasting glucose (mg/dL) | 88 [82–93] |
| Total cholesterol (mg/dL) | 206.5 [174.5–225.0] |
| High-density lipoprotein-cholesterol (mg/dL) | 49.5 [44.0–57.5] |
| Low-density lipoprotein-cholesterol (mg/dL) | 130.0 [108.0–146.0] |
| Triglycerides (mg/dL) | 115.0 [75.5–158.0] |
| Topical treatment | 119 (99.2%) |
| History of methotrexate use | 46 (38.3%) |
| History of cyclosporin use | 30 (25.0%) |
| History of acitretin use | 16 (13.3%) |
| History of UVA treatment | 1 (0.83%) |
| History of UVB311 treatment | 29 (24.2%) |
| History of PUVA treatment | 38 (31.7%) |
| History of biological treatment | 19 (15.8%) |
| Family history of psoriasis | 59 (49.2%) |
| Family history of coronary artery disease | 51 (42.5%) |
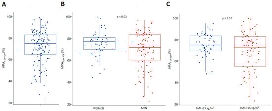
| Compared Groups | MPA (%) | p |
|---|---|---|
| Women vs. men | 77 [70–82] vs. 72 [59–84] | 0.03 |
| BMI < 25 kg/m2 vs. ≥25 kg/m2 | 75 [69–84] vs. 73 [55–83] | 0.02 |
| BSA < 10% vs. ≥10% | 74 [69–79] vs. 75 [61–84] | 0.33 |
| PASI < 10 points vs. ≥10 points | 75 [67–84] vs. 73 [56–82] | 0.18 |
| Psoriatic arthritis vs. no psoriatic arthritis | 82 [72–88] vs. 74 [64–83] | >0.05 |
| Smokers vs. non-smokers | 74 [66–82] vs. 75 [63–83] | 0.94 |
| Hypertension vs. no hypertension | 77 [67–84] vs. 74 [64–83] | 0.2 |
| Mean platelet volume ≤ 10.5 fL vs. >10.5 fL | 74 [63–84] vs. 75 [65–83] | 0.89 |
| Metabolic syndrome vs. no metabolic syndrome | 78 [66–84] vs. 74 [64–83] | 0.27 |
| Variable | r | p |
|---|---|---|
| Age (years) | 0.05 | 0.57 |
| BMI (kg/m2) | 0.02 | 0.8 |
| Time from diagnosis of psoriasis (years) | 0.02 | 0.8 |
| Previous exacerbation of psoriasis (months) | −0.08 | 0.38 |
| DLQI | 0.05 | 0.5 |
| BSA | 0.15 | 0.1 |
| PASI | 0.08 | 0.42 |
| C-reactive protein (mg/L) | 0.2 | 0.03 |
| Platelet count (103/μL) | 0.27 | <0.01 |
| Mean platelet volume (fL) | −0.04 | 0.65 |
| Fasting glucose (mg/dL) | −0.01 | 0.97 |
| Total cholesterol (mg/dL) | −0.24 | 0.01 |
| High-density lipoprotein-cholesterol (mg/dL) | −0.14 | 0.13 |
| Low-density lipoprotein-cholesterol (mg/dL) | −0.11 | 0.25 |
| Triglycerides (mg/dL) | −0.3 | <0.01 |
| Variable | Value | SE | p | R2 |
|---|---|---|---|---|
| Age (years) | 0.07 | 0.11 | 0.54 | <0.01 |
| Women | 5.89 | 3.02 | >0.05 | 0.03 |
| BMI (kg/m2) | 0.09 | 0.32 | 0.77 | <0.01 |
| Time from diagnosis of psoriasis (years) | 0.03 | 0.13 | 0.83 | <0.01 |
| Previous exacerbation of psoriasis (months) | −1.36 | 3.31 | 0.68 | <0.01 |
| Psoriatic arthritis | 8.68 | 4.78 | 0.07 | 0.03 |
| DLQI (points) | 0.14 | 0.24 | 0.55 | <0.01 |
| BSA (%) | 0.14 | 0.08 | 0.1 | 0.02 |
| PASI (points) | 0.16 | 0.19 | 0.39 | 0.01 |
| Metabolic syndrome | 3.2 | 3.21 | 0.32 | 0.01 |
| Hypertension | 4.43 | 3.81 | 0.25 | 0.01 |
| Diabetes mellitus | 3.94 | 8.09 | 0.63 | <0.01 |
| Asthma | 13.22 | 9.24 | 0.16 | 0.02 |
| Current smoking | −0.22 | 2.91 | 0.94 | <0.01 |
| C-reactive protein (mg/L) | 0.2 | 0.09 | 0.03 | 0.04 |
| Platelet count (103/μL) | 0.07 | 0.02 | <0.01 | 0.07 |
| Mean platelet volume (fL) | −0.48 | 1.26 | 0.71 | <0.01 |
| Fasting glucose (mg/dL) | 0 | 0.09 | 0.97 | <0.01 |
| Total cholesterol (mg/dL) | −0.09 | 0.04 | 0.01 | 0.05 |
| High-density lipoprotein-cholesterol (mg/dL) | −0.17 | 0.11 | 0.13 | 0.02 |
| Low-density lipoprotein-cholesterol (mg/dL) | −0.05 | 0.04 | 0.26 | 0.01 |
| Triglycerides (mg/dL) | −0.05 | 0.02 | <0.01 | 0.07 |
| Variable | Value | SE | Adjusted p | R2 |
|---|---|---|---|---|
| The first step | ||||
| C-reactive protein (mg/L) | 0.12 | 0.09 | 0.21 | 0.01 |
| Platelet count (103/μL) | 0.06 | 0.02 | 0.01 | 0.05 |
| Total cholesterol (mg/dL) | −0.05 | 0.04 | 0.17 | 0.02 |
| Triglycerides (mg/dL) | −0.04 | 0.02 | 0.04 | 0.04 |
| The second step | ||||
| Platelets (103/μL) | 0.07 | 0.02 | <0.01 | 0.07 |
| Triglycerides (mg/dL) | −0.05 | 0.02 | <0.01 | 0.07 |
Disclaimer/Publisher’s Note: The statements, opinions and data contained in all publications are solely those of the individual author(s) and contributor(s) and not of MDPI and/or the editor(s). MDPI and/or the editor(s) disclaim responsibility for any injury to people or property resulting from any ideas, methods, instructions or products referred to in the content. |
© 2024 by the authors. Licensee MDPI, Basel, Switzerland. This article is an open access article distributed under the terms and conditions of the Creative Commons Attribution (CC BY) license (https://creativecommons.org/licenses/by/4.0/).
Share and Cite
Adamski, P.; Adamska, U.; Buszko, K.; Sikora, J.; Czajkowski, R. Platelet Reactivity in the Exacerbation of Psoriasis. J. Clin. Med. 2024, 13, 965. https://doi.org/10.3390/jcm13040965
Adamski P, Adamska U, Buszko K, Sikora J, Czajkowski R. Platelet Reactivity in the Exacerbation of Psoriasis. Journal of Clinical Medicine. 2024; 13(4):965. https://doi.org/10.3390/jcm13040965
Chicago/Turabian StyleAdamski, Piotr, Urszula Adamska, Katarzyna Buszko, Joanna Sikora, and Rafał Czajkowski. 2024. "Platelet Reactivity in the Exacerbation of Psoriasis" Journal of Clinical Medicine 13, no. 4: 965. https://doi.org/10.3390/jcm13040965
APA StyleAdamski, P., Adamska, U., Buszko, K., Sikora, J., & Czajkowski, R. (2024). Platelet Reactivity in the Exacerbation of Psoriasis. Journal of Clinical Medicine, 13(4), 965. https://doi.org/10.3390/jcm13040965

