The Prognostic Value of a Liver Function Test Using Indocyanine Green (ICG) Clearance in Patients with Multiple Organ Dysfunction Syndrome (MODS)
Abstract
1. Introduction
Aim of the Study
2. Methods
2.1. Patients
2.2. Study Endpoint
2.3. Conventional Parameters of Liver Function
2.4. Scoring Systems
2.5. Indocyanine Green (ICG) Clearance
2.6. Global Liver Function Test via Non-Invasive Determination of ICG Clearance
2.7. Statistical Analysis
3. Results
3.1. Patients
3.2. Demographic Data and Clinical Parameters at the Time of Hospital Admission
3.3. Characterization of Liver Function
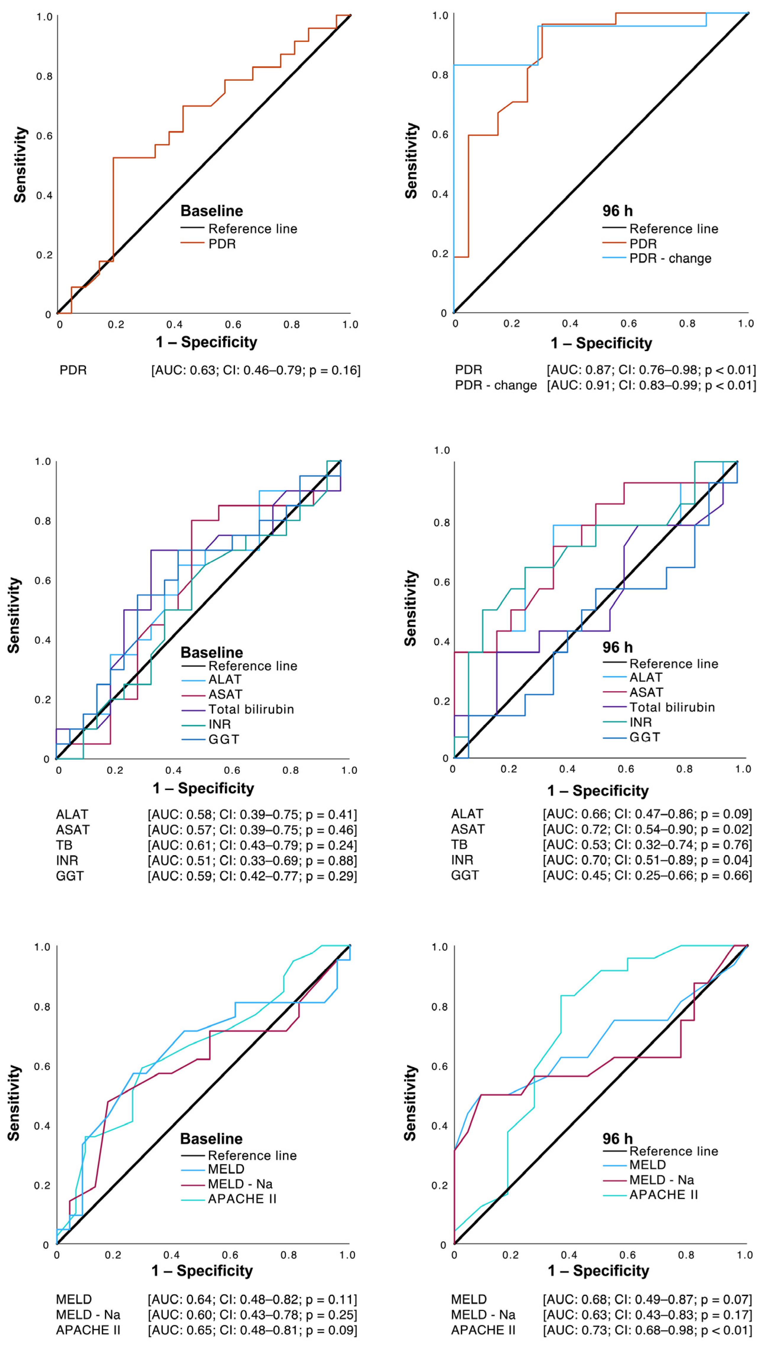
3.4. Association between ICG Clearance and 28-Day Mortality
4. Discussion
Limitations of This Study
5. Conclusions
Author Contributions
Funding
Institutional Review Board Statement
Informed Consent Statement
Data Availability Statement
Conflicts of Interest
References
- Kluge, M.; Tacke, F. Liver impairment in critical illness and sepsis: The dawn of new biomarkers? Ann. Transl. Med. 2019, 7 (Suppl. S8), S258. [Google Scholar] [CrossRef]
- Yan, J.; Li, S.; Li, S. The role of the liver in sepsis. Int. Rev. Immunol. 2014, 33, 498–510. [Google Scholar] [CrossRef]
- Kortgen, A.; Recknagel, P.; Bauer, M. How to assess liver function? Curr. Opin. Crit. Care 2010, 16, 136–141. [Google Scholar] [CrossRef]
- Haritoglou, C.; Gandorfer, A.; Schaumberger, M.; Tadayoni, R.; Gandorfer, A.; Kampik, A. Light-absorbing properties and osmolarity of indocyanine-green depending on concentration and solvent medium. Investig. Ophthalmol. Vis. Sci. 2003, 44, 2722–2729. [Google Scholar] [CrossRef][Green Version]
- Imamura, H.; Sano, K.; Sugawara, Y.; Kokudo, N.; Makuuchi, M. Assessment of hepatic reserve for indication of hepatic resection: Decision tree incorporating indocyanine green test. J. Hepatobiliary Pancreat. Surg. 2005, 12, 16–22. [Google Scholar] [CrossRef] [PubMed]
- Inal, M.T.; Memis, D.; Kargi, M.; Sut, N. Prognostic value of indocyanine green elimination assessed with LiMON in septic patients. J. Crit. Care 2009, 24, 329–334. [Google Scholar] [CrossRef] [PubMed]
- Kramer, L.; Jordan, B.; Druml, W.; Bauer, P.; Metnitz, P.G.; Austrian Epidemiologic Study on Intensive Care, A.S.G. Incidence and prognosis of early hepatic dysfunction in critically ill patients—A prospective multicenter study. Crit. Care Med. 2007, 35, 1099–1104. [Google Scholar] [CrossRef] [PubMed]
- Olmedilla, L.; Perez-Pena, J.M.; Ripoll, C.; Garutti, I.; de Diego, R.; Salcedo, M.; Jimenez, C.; Banares, R. Early noninvasive measurement of the indocyanine green plasma disappearance rate accurately predicts early graft dysfunction and mortality after deceased donor liver transplantation. Liver Transpl. 2009, 15, 1247–1253. [Google Scholar] [CrossRef] [PubMed]
- Schwarz, C.; Plass, I.; Fitschek, F.; Punzengruber, A.; Mittlbock, M.; Kampf, S.; Asenbaum, U.; Starlinger, P.; Stremitzer, S.; Bodingbauer, M.; et al. The value of indocyanine green clearance assessment to predict postoperative liver dysfunction in patients undergoing liver resection. Sci. Rep. 2019, 9, 8421. [Google Scholar] [CrossRef] [PubMed]
- Alander, J.T.; Kaartinen, I.; Laakso, A.; Patila, T.; Spillmann, T.; Tuchin, V.V.; Venermo, M.; Valisuo, P. A review of indocyanine green fluorescent imaging in surgery. Int. J. Biomed. Imaging 2012, 2012, 940585. [Google Scholar] [CrossRef] [PubMed]
- Baker, K.J. Binding of sulfobromophthalein (BSP) sodium and indocyanine green (ICG) by plasma alpha-1 lipoproteins. Proc. Soc. Exp. Biol. Med. 1966, 122, 957–963. [Google Scholar] [CrossRef]
- Cherrick, G.R.; Stein, S.W.; Leevy, C.M.; Davidson, C.S. Indocyanine green: Observations on its physical properties, plasma decay, and hepatic extraction. J. Clin. Investig. 1960, 39, 592–600. [Google Scholar] [CrossRef]
- Leevy, C.M.; Mendenhall, C.L.; Lesko, W.; Howard, M.M. Estimation of hepatic blood flow with indocyanine green. J. Clin. Investig. 1962, 41, 1169–1179. [Google Scholar] [CrossRef] [PubMed]
- Wheeler, H.O.; Cranston, W.I.; Meltzer, J.I. Hepatic uptake and biliary excretion of indocyanine green in the dog. Proc. Soc. Exp. Biol. Med. 1958, 99, 11–14. [Google Scholar] [CrossRef] [PubMed]
- Nuding, S.; Ebelt, H.; Hoke, R.S.; Krummenerl, A.; Wienke, A.; Muller-Werdan, U.; Werdan, K. Reducing elevated heart rate in patients with multiple organ dysfunction syndrome by the I (f) (funny channel current) inhibitor ivabradine: MODI (f)Y trial. Clin. Res. Cardiol. 2011, 100, 915–923. [Google Scholar] [CrossRef] [PubMed]
- De Gasperi, A.; Mazza, E.; Prosperi, M. Indocyanine green kinetics to assess liver function: Ready for a clinical dynamic assessment in major liver surgery? World J. Hepatol. 2016, 8, 355–367. [Google Scholar] [CrossRef] [PubMed]
- Halle, B.M.; Poulsen, T.D.; Pedersen, H.P. Indocyanine green plasma disappearance rate as dynamic liver function test in critically ill patients. Acta Anaesthesiol. Scand. 2014, 58, 1214–1219. [Google Scholar] [CrossRef] [PubMed]
- Sakka, S.G. Assessing liver function. Curr. Opin. Crit. Care 2007, 13, 207–214. [Google Scholar] [CrossRef]
- Vos, J.J.; Wietasch, J.K.; Absalom, A.R.; Hendriks, H.G.; Scheeren, T.W. Green light for liver function monitoring using indocyanine green? An overview of current clinical applications. Anaesthesia 2014, 69, 1364–1376. [Google Scholar] [CrossRef]
- Wagener, G. Assessment of hepatic function, operative candidacy, and medical management after liver resection in the patient with underlying liver disease. Semin. Liver Dis. 2013, 33, 204–212. [Google Scholar] [CrossRef][Green Version]
- Barker, S.J. Blood volume measurement: The next intraoperative monitor? Anesthesiology 1998, 89, 1310–1312. [Google Scholar] [CrossRef] [PubMed]
- Iijima, T.; Aoyagi, T.; Iwao, Y.; Masuda, J.; Fuse, M.; Kobayashi, N.; Sankawa, H. Cardiac output and circulating blood volume analysis by pulse dye-densitometry. J. Clin. Monit. 1997, 13, 81–89. [Google Scholar] [CrossRef]
- Nesseler, N.; Launey, Y.; Aninat, C.; Morel, F.; Malledant, Y.; Seguin, P. Clinical review: The liver in sepsis. Crit. Care 2012, 16, 235. [Google Scholar] [CrossRef] [PubMed]
- Dhainaut, J.F.; Marin, N.; Mignon, A.; Vinsonneau, C. Hepatic response to sepsis: Interaction between coagulation and inflammatory processes. Crit. Care Med. 2001, 29 (Suppl. 8), S42–S47. [Google Scholar] [CrossRef]
- Oellerich, M.; Burdelski, M.; Lautz, H.U.; Rodeck, B.; Duewel, J.; Schulz, M.; Schmidt, F.W.; Brodehl, J.; Pichlmayr, R. Assessment of pretransplant prognosis in patients with cirrhosis. Transplantation 1991, 51, 801–806. [Google Scholar] [CrossRef] [PubMed]
- Qiu, T.; Fu, R.; Ling, W.; Li, J.; Song, J.; Wu, Z.; Shi, Y.; Zhou, Y.; Luo, Y. Comparison between preoperative two-dimensional shear wave elastography and indocyanine green clearance test for prediction of post-hepatectomy liver failure. Quant. Imaging Med. Surg. 2021, 11, 1692–1700. [Google Scholar] [CrossRef] [PubMed]
- Ishikawa, M.; Yogita, S.; Miyake, H.; Fukuda, Y.; Harada, M.; Wada, D.; Tashiro, S. Clarification of risk factors for hepatectomy in patients with hepatocellular carcinoma. Hepatogastroenterology 2002, 49, 1625–1631. [Google Scholar] [PubMed]
- Granieri, S.; Bracchetti, G.; Kersik, A.; Frassini, S.; Germini, A.; Bonomi, A.; Lomaglio, L.; Gjoni, E.; Frontali, A.; Bruno, F.; et al. Preoperative indocyanine green (ICG) clearance test: Can we really trust it to predict post hepatectomy liver failure? A systematic review of the literature and meta-analysis of diagnostic test accuracy. Photodiagnosis Photodyn. Ther. 2022, 40, 103170. [Google Scholar] [CrossRef]
- Weis, F.; Kilger, E.; Beiras-Fernandez, A.; Hinske, C.L.; Nassau, K.; Adnan, L.; Vicol, C.; Kur, F.; Mohnle, P. Indocyanine green clearance as an outcome prediction tool in cardiac surgery: A prospective study. J. Crit. Care 2014, 29, 224–229. [Google Scholar] [CrossRef]
- Sakka, S.G.; Reinhart, K.; Meier-Hellmann, A. Prognostic value of the indocyanine green plasma disappearance rate in critically ill patients. Chest 2002, 122, 1715–1720. [Google Scholar] [CrossRef]
- Kimura, S.; Yoshioka, T.; Shibuya, M.; Sakano, T.; Tanaka, R.; Matsuyama, S. Indocyanine green elimination rate detects hepatocellular dysfunction early in septic shock and correlates with survival. Crit. Care Med. 2001, 29, 1159–1163. [Google Scholar] [CrossRef] [PubMed]
- Spapen, H. Liver perfusion in sepsis, septic shock, and multiorgan failure. Anat. Rec. 2008, 291, 714–720. [Google Scholar] [CrossRef] [PubMed]
- Zipprich, A.; Kuss, O.; Rogowski, S.; Kleber, G.; Lotterer, E.; Seufferlein, T.; Fleig, W.E.; Dollinger, M.M. Incorporating indocyanin green clearance into the Model for End Stage Liver Disease (MELD-ICG) improves prognostic accuracy in intermediate to advanced cirrhosis. Gut 2010, 59, 963–968. [Google Scholar] [CrossRef] [PubMed]
- Ostermann, M.; Kashani, K.; Forni, L.G. The two sides of creatinine: Both as bad as each other? J. Thorac. Dis. 2016, 8, E628–E630. [Google Scholar] [CrossRef]






| 28-Day Mortality | ICG Clearance | ||||||
|---|---|---|---|---|---|---|---|
| Total Study Population [n = 44] | Survivors [n = 23] | Non-Survivors [n = 21] | p-Value | Normal (PDR > 18%/min) [n = 11] | Impaired (PDR < 18%/min) [n = 33] | p-Value | |
| Demographics | |||||||
| Age [years, mean ± SD] | 59.7 ± 16.5 | 58.4 ± 18.5 | 61.1 ± 14.3 | n.s. | 58.1 ± 16.5 | 60.2 ± 16.7 | n.s. |
| <70 years [n (%)] | 29 (66) | 14 (61) | 15 (71) | n.s. | 8 (73) | 21 (64) | n.s. |
| Male [n (%)] | 31 (71) | 17 (74) | 13 (67) | n.s. | 10 (91) | 21 (64) | n.s. |
| BMI [kg/m2, mean ± SD] | 26.1 ± 4.9 | 26.1 ± 4.8 | 26.9 ± 5.1 | n.s. | 26.7 ± 5.1 | 25.8 ± 4.9 | n.s. |
| Type of MODS at ICU admission | |||||||
| Cardiogenic MODS [n (%)] | 9 (21) | 6 (26) | 3 (14) | n.s. | 5 (45) | 4 (12) | <0.05 |
| Septic MODS [n (%)] | 35 (79) | 17 (74) | 18 (86) | 6 (55) | 29 (88) | ||
| ICG clearance parameter | |||||||
| PDR [%/min, mean ± SD] | 13.4 ± 6.3 | 14.6 ± 6.1 | 12.1 ± 6.5 | n.s. | 20.9 ± 3.1 | 10.9 ± 4.9 | <0.01 |
| Clinical features and scores | |||||||
| APACHE II score [mean ± SD] | 33.6 ± 6.3 | 31.9 ± 6.6 | 35.4 ± 5.5 | n.s. | 30.8 ± 4.9 | 34.5 ± 6.5 | n.s. |
| MELD [mean ± SD] | 18.9 ± 7.4 | 17.1 ± 6.9 | 20.5 ± 7.5 | n.s. | 12.9 ± 4.9 | 19.7 ± 7.1 | <0.01 |
| MELD-Na [mean ± SD] | 18.5 ± 8.4 | 16.8 ± 7.7 | 19.7 ± 8.8 | n.s. | 12.3 ± 5.8 | 19.3 ± 8.6 | <0.02 |
| Creatinine level [µmol/L, mean ± SD] | 178.3 ± 121.2 | 195.5 ± 139.3 | 149.7 ± 82.9 | 0.19 | 148.1 ± 107.6 | 182.2 ± 120.2 | n.s. |
| eGFR [mL/min/1.73 m2, mean ± SD] | 47.1 ± 32.6 | 41.3 ± 27,9 | 53.5 ± 36.7 | 0.22 | 56.6 ± 31.2 | 43.9 ± 32.9 | n.s. |
| pH [mean ± SD] | 7.30 ± 0.1 | 7.39 ± 0.1 | 7.27 ± 0.1 | <0.01 | 7.35 ± 0.1 | 7.29 ± 0.9 | n.s. |
| Body temperature [°C, mean ± SD] | 36.8 ± 1.5 | 36.9 ± 1.5 | 36.7 ± 1.6 | n.s. | 36.8 ± 1.3 | 36.5 ± 1.5 | n.s. |
| CRP [mg/L, mean ± SD | 211.9 ± 161.1 | 183.3 ± 139.7 | 243.4 ± 179.7 | n.s. | 146.4 ± 98.9 | 233.8 ± 172.6 | n.s. |
| Leucocytes [Gpt/L, mean ± SD] | 16.9 ± 13.4 | 19.1 ± 13.9 | 14.3 ± 12.6 | n.s. | 12.3 ± 5.6 | 18.4 ± 14.8 | n.s. |
| Albumin [g/L, mean ± SD] | 21.1 ± 7.6 | 23.7 ± 7.5 | 18.1 ± 6.9 | <0.02 | 29.4 ± 3.4 | 18.3 ± 6.6 | <0.01 |
| ASAT [µmol/L·s, median (IQR)] | 1.4 (0.7–3.5 | 0.9 (0.6–3.9) | 1.5 (1.0–3.4) | n.s. | 0.75 (0.4–4.1) | 1.5 (0.9–3.4) | n.s. |
| ALAT [µmol/L·s, median (IQR)] | 0.7 (0.3–1.6) | 0.5 (0.3–1.4) | 0.9 (0.3–1.8) | n.s. | 0.4 (0.2–2.1) | 0.8 (0.3–1.6) | n.s. |
| INR [mean ± SD] | 1.4 ± 0.7 | 1.4 ± 0.8 | 1.4 ± 0.5 | n.s. | 1.1 ± 0.1 | 1.5 ± 0.8 | n.s. |
| GGT [µmol/L, median (IQR)] | 1.2 (0.6–2.5) | 0.9 (0.5–1.7) | 1.7 (0.8–3.2) | n.s. | 0.6 (0.3–2.2) | 1.5 (0.9–3.5) | <0.02 |
| Bilirubin [µmol/L, median (IQR)] | 16.5 (11.3–26.3) | 13.0 (11.0–21.0)) | 22.0 (11.5–37.1) | n.s. | 15.1 ± 9.2 | 32.5 ± 41.5 | n.s. |
| Lactate [mmol/L, median (IQR)] | 1.8 (0.9–2.8) | 1.7 (0.9–2.6) | 1.9 (0.9–7.5) | n.s. | 1.0 (0.8–1.7) | 2.0 (1.1–5.4) | <0.05 |
| PCT [µg/L, median (IQR)] | 3.7 (1.1–8.1) | 2.1 (0.4–4.9) | 5.1 (1.4–9.3) | n.s. | 1.4 (0.9–3.9) | 4.8 (1.4–11.9) | <0.05 |
| IL-6 [pg/mL, median (IQR)] | 230 (83.4–1375.5) | 180.2 (78.6–704.5) | 1357.5 (97.0–2562.6) | n.s. | 154.1 (74.5–705.3) | 524.3 (76.2–2601.2) | n.s. |
| Invasive mechanical ventilation [n (%)] | 40 (91) | 19 (83) | 21 (100) | n.s. | 11 (100) | 29 (87.9) | n.s. |
| Time of MODS diagnosis relative to ICU admission [hours, mean ± SD] | 22.2 ± 19.1 | 19.9 ± 18.1 | 20.7 ± 20.4 | n.s. | 24.8 ± 18.2 | 21.3 ± 19.5 | n.s. |
| Hemoglobin [mmol/L, mean ± SD] | 6.6 ± 1.3 | 6.8 ± 1.3 | 6.4 ± 1.3 | n.s. | 7.5 ± 1.3 | 6.3 ± 1.2 | <0.02 |
| Norepinephrine dose [μg/kg/min, median (IQR)] | 0.2 (0.03–0.6) | 0.2 (0.07–0.6) | 0.1 (0.07–0.4) | n.s. | 0.1 (0.01–0.3) | 0.4 (0.03–0.61) | n.s. |
| Epinephrine dose [μg/kg/min, median (IQR)] | 0.018 (0.0–0.07) | 0.01 (0.0–0.013) | 0.03 (0.0–0.05) | n.s. | 0 | 0.004 (0.0–0.14) | n.s. |
| Dobutamine dose [μg/kg/min, median (IQR)] | 1.9 (0.0–4.04) | 1.7 (0.01–3.33) | 2.2 (0.0–4.86) | n.s. | 1.4 (0.0–3.9) | 2.6 (0.0–3.1) | n.s. |
| MAP [mmHg, mean ± SD] | 77.3 ± 11.7 | 77.4 ± 12.1 | 77.2 ± 11.7 | n.s. | 73.7 ± 12.1 | 78.5 ± 11.5 | n.s. |
| Heart rate [BPM, mean ± SD] | 104.6 ± 16.8 | 104.2 ± 15.9 | 104.9 ± 18.1 | n.s. | 104.5 ± 16.1 | 104.6 ± 17.2 | n.s. |
| LVEF [%, mean ± SD] | 51.1 ± 12.8 | 53.8 ± 11.9 | 48.1 ± 13.4 | n.s. | 51.8 ± 11.8 | 49.5 ± 15.5 | n.s. |
| Comorbidities | |||||||
| Hypertension [n (%)] | 20 (45) | 10 (44) | 10 (48) | n.s. | 6 (55) | 14 (42) | n.s. |
| Diabetes [n (%)] | 13 (29) | 8 (35) | 5 (24) | n.s. | 7 (64) | 6 (18) | n.s. |
| CKD [n (%)] | 5 (11) | 3 (13) | 2 (9) | n.s. | 2 (18) | 3 (10) | n.s. |
| Past myocardial infarction [n (%)] | 11 (25) | 6 (26) | 5 (24) | n.s. | 3 (27) | 8 (24) | n.s. |
| Past stroke [n (%)] | 1 (2) | 1 (4) | 21 (100) | n.s. | 1 (9) | 0 | n.s. |
| COPD [n (%)] | 8 (18) | 2 (9) | 6 (30) | n.s. | 3 (27) | 5 (16) | n.s. |
| AF [n (%)] | 14 (32) | 5 (23) | 9 (45) | n.s. | 4 (36) | 10 (32) | n.s. |
| CAD [n (%)] | 16 (36) | 8 (35) | 8 (38) | n.s. | 6 (55) | 10 (32) | n.s. |
| Past LTX [n (%)] | 0 | 0 | 0 | n.s. | 0 | 0 | n.s. |
| Chronic pancreatitis [n (%)] | 1 (2) | 1 (4) | 0 | n.s. | 0 | 1 (3) | n.s. |
| Active alcohol abuse [n (%)] | 8 (18) | 5 (22) | 3 (14) | n.s. | 3 (27) | 5 (16) | n.s. |
| Current Smoker [n (%)] | 5 (11) | 1 (4) | 4 (19) | n.s. | 2 (18) | 3 (10) | n.s. |
| History of liver cirrhosis [n (%)] | 6 (4) | 3 (13) | 3 (14) | n.s. | 1 (9) | 5 (16) | n.s. |
| Steatosis hepatis [n (%)] | 6 (14) | 3 (13) | 3 (14) | n.s. | 1 (9) | 5 (16) | n.s. |
| Active malignancy [n (%)] | 8 (18) | 2 (9) | 6 (29) | n.s. | 1 (9) | 7 (21) | n.s. |
Disclaimer/Publisher’s Note: The statements, opinions and data contained in all publications are solely those of the individual author(s) and contributor(s) and not of MDPI and/or the editor(s). MDPI and/or the editor(s) disclaim responsibility for any injury to people or property resulting from any ideas, methods, instructions or products referred to in the content. |
© 2024 by the authors. Licensee MDPI, Basel, Switzerland. This article is an open access article distributed under the terms and conditions of the Creative Commons Attribution (CC BY) license (https://creativecommons.org/licenses/by/4.0/).
Share and Cite
Haertel, F.; Nuding, S.; Reisberg, D.; Peters, M.; Werdan, K.; Schulze, P.C.; Ebelt, H. The Prognostic Value of a Liver Function Test Using Indocyanine Green (ICG) Clearance in Patients with Multiple Organ Dysfunction Syndrome (MODS). J. Clin. Med. 2024, 13, 1039. https://doi.org/10.3390/jcm13041039
Haertel F, Nuding S, Reisberg D, Peters M, Werdan K, Schulze PC, Ebelt H. The Prognostic Value of a Liver Function Test Using Indocyanine Green (ICG) Clearance in Patients with Multiple Organ Dysfunction Syndrome (MODS). Journal of Clinical Medicine. 2024; 13(4):1039. https://doi.org/10.3390/jcm13041039
Chicago/Turabian StyleHaertel, Franz, Sebastian Nuding, Diana Reisberg, Martin Peters, Karl Werdan, P. Christian Schulze, and Henning Ebelt. 2024. "The Prognostic Value of a Liver Function Test Using Indocyanine Green (ICG) Clearance in Patients with Multiple Organ Dysfunction Syndrome (MODS)" Journal of Clinical Medicine 13, no. 4: 1039. https://doi.org/10.3390/jcm13041039
APA StyleHaertel, F., Nuding, S., Reisberg, D., Peters, M., Werdan, K., Schulze, P. C., & Ebelt, H. (2024). The Prognostic Value of a Liver Function Test Using Indocyanine Green (ICG) Clearance in Patients with Multiple Organ Dysfunction Syndrome (MODS). Journal of Clinical Medicine, 13(4), 1039. https://doi.org/10.3390/jcm13041039

