Cholesteatoma Severity Determines the Risk of Recurrent Paediatric Cholesteatoma More Than the Surgical Approach
Abstract
1. Introduction
2. Materials and Methods
- (a)
- Mastoid-sparing surgery (S1, A1/A4, Mx/M2a/b with E2, Ox). Increasingly since 2008, this was predominantly completed endoscopically trans-canal, but previously through a post-auricular incision with microscope. Removal of scutum (and occasionally part of the posterior canal wall) was completed if necessary but mastoid air cells were not opened. The scutum and ear canal were reconstructed with cartilage, or less often bone paté. Most cholesteatoma allocated to this group would have been confined to the tympanic cavity, although cases of endoscopic trans-canal removal of cholesteatoma from the antrum were also included in this group. The opened tympanic isthmus would allow ventilation between tympanum and mastoid. Mastoid function is expected to be unchanged with this approach although many are not fully aerated post-operatively [17].
- (b)
- Canal wall-up tympanomastoidectomy (S1, A4, M1a/b, +/−M2a, E2, Ox). Typically, a relatively conservative cortical mastoidectomy was drilled for access to the limit of the cholesteatoma. Posterior tympanotomy was rarely required as endoscopes were used throughout the series for retrotympanic control. This approach was used when cholesteatoma could not be removed through a trans-canal approach. Mastoid volume is enlarged and mucosal surface area is reduced with this technique, although approximately half become filled with scar tissue [17].
- (c)
- Mastoid elimination (S1, A4, M1 or M2c, Ex, O1/2). This group includes ears in which the mastoid air space is disconnected from the middle ear air space. It includes canal wall-down modified radical mastoidectomy (M2c) which often received partial or complete obliteration with autogenous bone paté and soft tissue rotation flap to minimise post-operative cavity maintenance. The group also includes obliteration of canal wall-up tympanomastoidectomy using the technique described by Offeciers [18]. Both canal wall-down and canal wall-up obliteration eliminate the mastoid air space and create a small middle ear space, in principle leaving similar spaces into which recurrent disease could grow. With all the techniques in this group, gas absorption across mastoid mucosa and any pressure buffering effect of the mastoid are removed, so they cannot contribute to middle ear pressure homeostasis and retraction disease [9,19,20]. Predisposition to recurrent cholesteatoma is therefore considered equivalent. Ears allocated to this group would generally have been considered to have more severe disease or risk factors for recurrence [21].
Analysis
3. Results
3.1. Characteristics of Cholesteatoma
3.1.1. Cholesteatoma Type
3.1.2. Cholesteatoma Stage
3.1.3. Cholesteatoma Surgery
- Group (a) 224 ears were managed with mastoid-sparing surgery, of which 127 were completed with a totally endoscopic approach.
- Group (b) 148 were managed with canal wall-up tympanomastoidectomy.
- Group (c) 36 were managed with mastoid elimination surgery, predominantly with canal wall-down surgery. Of these, 17 were obliterated, 9 partially, and 8 with complete mastoid and epitympanic obliteration. Five received the CWU bony obliteration technique.
3.2. Cholesteatoma Recurrence (Univariate Survival Analysis)
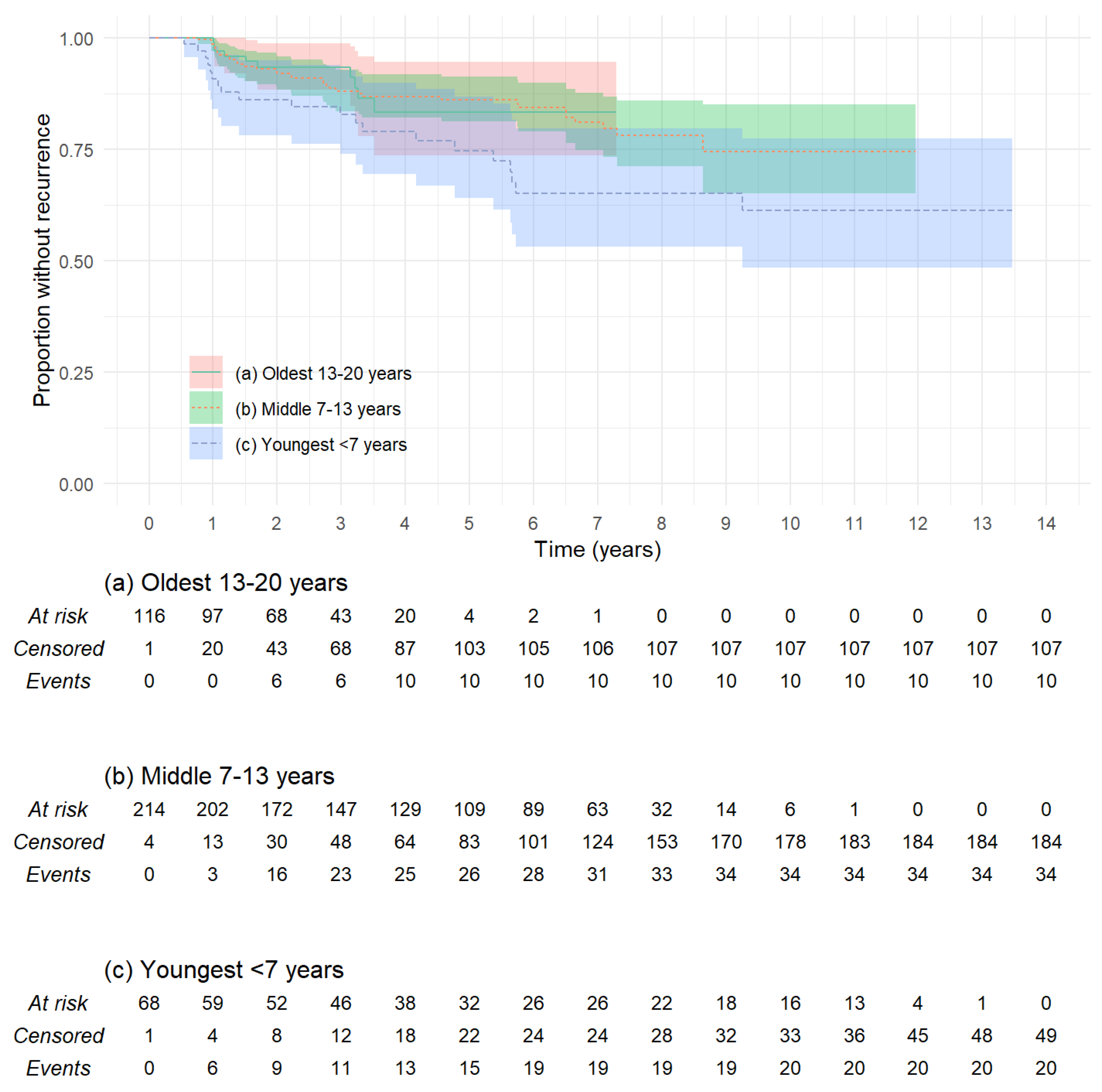
3.2.1. Recurrence and Age Group
3.2.2. Recurrence and Type of Cholesteatoma
3.2.3. Recurrence and Cholesteatoma Severity
3.2.4. Recurrence and Category of Surgery
3.3. Cholesteatoma Recurrence (Multivariate Survival Analysis)
4. Discussion
5. Conclusions
Funding
Institutional Review Board Statement
Informed Consent Statement
Data Availability Statement
Conflicts of Interest
References
- Yung, M.; Tono, T.; Olszewska, E.; Yamamoto, Y.; Sudhoff, H.; Sakagami, M.; Mulder, J.; Kojima, H.; Incesulu, A.; Trabalzini, F.; et al. EAONO/JOS Joint Consensus Statements on the Definitions, Classification and Staging of Middle Ear Cholesteatoma. J. Int. Adv. Otol. 2017, 13, 1–8. [Google Scholar] [CrossRef] [PubMed]
- Kuo, C.L.; Shiao, A.S.; Liao, W.H.; Ho, C.Y.; Lien, C.F. How long is long enough to follow up children after cholesteatoma surgery? A 29-year study. Laryngoscope 2012, 122, 2568–2573. [Google Scholar] [CrossRef] [PubMed]
- Stangerup, S.E.; Drozdziewicz, D.; Tos, M.; Trabalzini, F. Surgery for acquired cholesteatoma in children: Long-term results and recurrence of cholesteatoma. J. Laryngol. Otol. 1998, 112, 742–749. [Google Scholar] [CrossRef]
- Preciado, D.A. Biology of cholesteatoma: Special considerations in pediatric patients. Int. J. Pediatr. Otorhinolaryngol. 2012, 76, 319–321. [Google Scholar] [CrossRef]
- Kalia, M.; Dass, A.; Singhal, S.K.; Gupta, N. Comparative study of cholesteatoma in paediatric and adult patients. J. Laryngol. Otol. 2022, 136, 765–768. [Google Scholar] [CrossRef]
- Hamilton, J.W.; Rhagava, N. Comparison of the characteristics of cholesteatoma at the time of surgery in children and adults. In Surgery of the Ear—Current Topics; Ozgirgin, O.N., Ed.; Rekmay: Antalya, Turkey, 2009; pp. 187–188. [Google Scholar]
- Marchioni, D.; Alicandri-Ciufelli, M.; Molteni, G.; Artioli, F.L.; Genovese, E.; Presutti, L. Selective epitympanic dysventilation syndrome. Laryngoscope 2010, 120, 1028–1033. [Google Scholar] [CrossRef]
- Eliades, S.J.; Limb, C.J. The role of mastoidectomy in outcomes following tympanic membrane repair: A review. Laryngoscope 2013, 123, 1787–1802. [Google Scholar] [CrossRef]
- Csakanyi, Z.; Katona, G.; Konya, D.; Mohos, F.; Sziklai, I. Middle ear gas pressure regulation: The relevance of mastoid obliteration. Otol. Neurotol. 2014, 35, 944–953. [Google Scholar] [CrossRef]
- Mor, N.; Finkel, D.A.; Hanson, M.B.; Rosenfeld, R.M. Middle Ear Cholesteatoma Treated with a Mastoidectomy: A Systematic Review of the Measures Used. Otolaryngol. Head. Neck Surg. 2014, 151, 923–929. [Google Scholar] [CrossRef]
- Kerckhoffs, K.G.; Kommer, M.B.; van Strien, T.H.; Visscher, S.J.; Bruijnzeel, H.; Smit, A.L.; Grolman, W. The disease recurrence rate after the canal wall up or canal wall down technique in adults. Laryngoscope 2016, 126, 980–987. [Google Scholar] [CrossRef] [PubMed]
- Stangerup, S.E.; Drozdziewicz, D.; Tos, M.; Hougaard-Jensen, A. Recurrence of attic cholesteatoma: Different methods of estimating recurrence rates. Otolaryngol. Head. Neck Surg. 2000, 123, 283–287. [Google Scholar] [CrossRef]
- Illes, K.; Meznerics, F.A.; Dembrovszky, F.; Fehervari, P.; Banvolgyi, A.; Csupor, D.; Hegyi, P.; Horvath, T. Mastoid Obliteration Decreases the Recurrent and Residual Disease: Systematic Review and Meta-analysis. Laryngoscope 2023, 133, 1297–1305. [Google Scholar] [CrossRef] [PubMed]
- James, A.L.; Tono, T.; Cohen, M.S.; Iyer, A.; Cooke, L.; Morita, Y.; Matsuda, K.; Yamamoto, Y.; Sakagami, M.; Yung, M. International Collaborative Assessment of the Validity of the EAONO-JOS Cholesteatoma Staging System. Otol. Neurotol. 2019, 40, 630–637. [Google Scholar] [CrossRef] [PubMed]
- Nakazawa, T.; Yamamoto, Y.; Kanno, K.; Kurihara, S.; Takahashi, M.; Morino, T.; Motegi, M.; Yamamoto, K.; Sakurai, Y.; Kojima, H. Time Analysis of Recidivism in Acquired Cholesteatoma Using the Kaplan-Meier Method. Otol. Neurotol. 2023, 44, e393–e397. [Google Scholar] [CrossRef] [PubMed]
- Yung, M.; James, A.; Merkus, P.; Philips, J.; Black, B.; Tono, T.; Linder, T.; Dornhoffer, J.; Incesulu, A. International Otology Outcome Group and the International Consensus on the Categorization of Tympanomastoid Surgery. J. Int. Adv. Otol. 2018, 14, 216–226. [Google Scholar] [CrossRef]
- Parkes, W.J.; Cushing, S.L.; Papsin, B.C.; Blaser, S.I.; James, A.L. Assessment of Mastoid Function with Magnetic Resonance Imaging after Canal Wall Up Cholesteatoma Surgery. J. Int. Adv. Otol. 2016, 12, 132–136. [Google Scholar] [CrossRef]
- van Dinther, J.J.; Vercruysse, J.P.; Camp, S.; De Foer, B.; Casselman, J.; Somers, T.; Zarowski, A.; Cremers, C.W.; Offeciers, E. The Bony Obliteration Tympanoplasty in Pediatric Cholesteatoma: Long-term Safety and Hygienic Results. Otol. Neurotol. 2015, 36, 1504–1509. [Google Scholar] [CrossRef]
- Alper, C.M.; Kitsko, D.J.; Swarts, J.D.; Martin, B.; Yuksel, S.; Cullen Doyle, B.M.; Villardo, R.J.; Doyle, W.J. Role of the mastoid in middle ear pressure regulation. Laryngoscope 2011, 121, 404–408. [Google Scholar] [CrossRef] [PubMed]
- Gaihede, M.; Dirckx, J.J.; Jacobsen, H.; Aernouts, J.; Sovso, M.; Tveteras, K. Middle ear pressure regulation--complementary active actions of the mastoid and the Eustachian tube. Otol. Neurotol. 2010, 31, 603–611. [Google Scholar] [CrossRef] [PubMed]
- Osborn, A.J.; Papsin, B.C.; James, A.L. Clinical indications for canal wall-down mastoidectomy in a pediatric population. Otolaryngol. Head. Neck Surg. 2012, 147, 316–322. [Google Scholar] [CrossRef] [PubMed]
- Morris, T.P.; Jarvis, C.I.; Cragg, W.; Phillips, P.P.J.; Choodari-Oskooei, B.; Sydes, M.R. Proposals on Kaplan–Meier plots in medical research and a survey of stakeholder views: KMunicate. BMJ Open 2019, 9, e030215. [Google Scholar] [CrossRef]
- Leonard, C.G.; Ranguis, S.; Lynn Cushing, S.; Blaser, S.; James, A. Cholesteatoma in Children with Sotos Syndrome. J. Int. Adv. Otol. 2022, 18, 139–144. [Google Scholar] [CrossRef]
- Djurhuus, B.D.; Skytthe, A.; Faber, C.E.; Christensen, K. Cholesteatoma risk in 8,593 orofacial cleft cases and 6,989 siblings: A nationwide study. Laryngoscope 2015, 125, 1225–1229. [Google Scholar] [CrossRef] [PubMed]
- Spilsbury, K.; Ha, J.F.; Semmens, J.B.; Lannigan, F. Cholesteatoma in cleft lip and palate: A population-based follow-up study of children after ventilation tubes. Laryngoscope 2013, 123, 2024–2029. [Google Scholar] [CrossRef]
- Cohen, M.A.; Kuroiwa, M.A.; Berkowitz, R.G. Acquired cholesteatoma in children following congenital cholesteatoma surgery. Int. J. Pediatr. Otorhinolaryngol. 2011, 75, 43–48. [Google Scholar] [CrossRef] [PubMed]
- Lazard, D.S.; Roger, G.; Denoyelle, F.; Chauvin, P.; Garabedian, E.N. Congenital cholesteatoma: Risk factors for residual disease and retraction pockets—A report on 117 cases. Laryngoscope 2007, 117, 634–637. [Google Scholar] [CrossRef] [PubMed]
- Morimitsu, T. Cholesteatoma and Anterior Tympanotomy; Springer: Tokyo, Japan; New York, NY, USA, 1997; p. 106. [Google Scholar]
- Angeli, S.; Shahal, D.; Brown, C.S.; Herman, B. Predicting Recidivism for Acquired Cholesteatoma: Evaluation of a Current Staging System. Otol. Neurotol. 2020, 41, 1391–1396. [Google Scholar] [CrossRef]
- Ardic, F.N.; Mengi, E.; Tumkaya, F.; Kara, C.O.; Bir, F. Correlation between Surgical Outcome and Stage of Acquired Middle Ear Cholesteatoma: Revalidation of the EAONO/JOS Staging System. J. Int. Adv. Otol. 2020, 16, 34–39. [Google Scholar] [CrossRef]
- Eggink, M.C.; de Wolf, M.J.F.; Ebbens, F.A.; Dikkers, F.G.; van Spronsen, E. Evaluation of Long-term Cholesteatoma Recidivism: Using the JOS, EAONO-JOS, and STAMCO Cholesteatoma Staging Systems. Otol. Neurotol. 2021, 42, 1031–1038. [Google Scholar] [CrossRef]
- Wang, X.; Guo, J.; Liu, W.; Chen, M.; Shao, J.; Zhang, X.; Ma, N.; Li, Y.; Peng, Y.; Zhang, J. Comparison of the EAONO/JOS, STAMCO and ChOLE cholesteatoma staging systems in the prognostic evaluation of acquired middle ear cholesteatoma in children. Eur. Arch. Otorhinolaryngol. 2022, 279, 5583–5590. [Google Scholar] [CrossRef]
- van der Toom, H.; van der Schroeff, M.P.; Janssen, J.; Westzaan, A.M.; Pauw, R.J. A Retrospective Analysis and Comparison of the STAM and STAMCO Classification and EAONO/JOS Cholesteatoma Staging System in Predicting Surgical Treatment Outcomes of Middle Ear Cholesteatoma. Otol. Neurotol. 2020, 41, e468–e474. [Google Scholar] [CrossRef]
- Yamamoto, Y.; Ayani, T.; Ito, T.; Ganaha, A.; Komori, M.; Takahashi, M.; Hiraga, Y.; Miuchi, S.; Morita, Y.; Nakagawa, H.; et al. Japanese Otological Society Terminology Committee. Minor revision of middle ear cholesteatoma stage classification. Otol. Jpn. 2023, 33, 51. [Google Scholar] [CrossRef]
- Komori, M.; Morita, Y.; Tono, T.; Matsuda, K.; Yamamoto, Y.; Sakagami, M.; Hato, N.; Kojima, H.; Takahashi, H. Nationwide survey of middle ear cholesteatoma surgery cases in Japan: Results from the Japan Otological society registry using the JOS staging and classification system. Auris Nasus Larynx 2021, 48, 555–564. [Google Scholar] [CrossRef] [PubMed]
- Merkus, P.; Ten Tije, F.A.; Stam, M.; Tan, F.M.L.; Pauw, R.J. Implementation of the “EAONO/JOS Definitions and Classification of Middle Ear Cholesteatoma”—from STAM to STAMCO. J. Int. Adv. Otol. 2017, 13, 272–275. [Google Scholar] [CrossRef] [PubMed]
- Stankovic, M. Follow-up of cholesteatoma surgery: Open versus closed tympanoplasty. ORL 2007, 69, 299–305. [Google Scholar] [CrossRef] [PubMed]
- Marchioni, D.; Soloperto, D.; Rubini, A.; Villari, D.; Genovese, E.; Artioli, F.; Presutti, L. Endoscopic exclusive transcanal approach to the tympanic cavity cholesteatoma in pediatric patients: Our experience. Int. J. Pediatr. Otorhinolaryngol. 2015, 79, 316–322. [Google Scholar] [CrossRef] [PubMed]
- Trinidade, A.; Skingsley, A.; Yung, M.W. Pediatric cholesteatoma surgery using a single-staged canal wall down approach: Results of a 5-year longitudinal study. Otol. Neurotol. 2015, 36, 82–85. [Google Scholar] [CrossRef] [PubMed]
- Kuo, C.L.; Lien, C.F.; Shiao, A.S. Mastoid obliteration for pediatric suppurative cholesteatoma: Long-term safety and sustained effectiveness after 30 years’ experience with cartilage obliteration. Audiol. Neuro-Otol. 2014, 19, 358–369. [Google Scholar] [CrossRef]
- Toulouie, S.; Block-Wheeler, N.R.; Rivero, A. Postoperative Pain After Endoscopic vs Microscopic Otologic Surgery: A Systematic Review and Meta-analysis. Otolaryngol. Head. Neck Surg. 2022, 167, 25–34. [Google Scholar] [CrossRef]
- Basonbul, R.A.; Ronner, E.A.; Kozin, E.D.; Lee, D.J.; Cohen, M.S. Systematic Review of Endoscopic Ear Surgery Outcomes for Pediatric Cholesteatoma. Otol. Neurotol. 2021, 42, 108–115. [Google Scholar] [CrossRef]
- Crotty, T.J.; Cleere, E.F.; Keogh, I.J. Endoscopic Versus Microscopic Type-1 Tympanoplasty: A Meta-Analysis of Randomized Trials. Laryngoscope 2023, 133, 1550–1557. [Google Scholar] [CrossRef] [PubMed]
- Tsetsos, N.; Vlachtsis, K.; Stavrakas, M.; Fyrmpas, G. Endoscopic versus microscopic ossiculoplasty in chronic otitis media: A systematic review of the literature. Eur. Arch. Otorhinolaryngol. 2021, 278, 917–923. [Google Scholar] [CrossRef] [PubMed]





| Variable | Hazard Ratio | 95% Confidence Interval | p-Value |
|---|---|---|---|
| Youngest age (<7 years) | 1.90 | 1.09–3.30 | 0.023 * |
| Risky Syndrome | 2.88 | 1.10–7.50 | 0.030 * |
| Pars flaccida | 0.50 | 0.97–2.81 | 0.054 |
| EAONO-JOS Stage 2 (M−) | 2.14 | 0.62–7.43 | 0.231 |
| EAONO-JOS Stage 2 (M+) | 3.20 | 0.86–11.89 | 0.083 |
| EAONO-JOS Stage 3 | 5.06 | 1.38–18.53 | 0.014 * |
| Surgical category b | 1.66 | 0.88–3.12 | 0.114 |
| Surgical category c | 0.90 | 0.35–2.31 | 0.827 |
Disclaimer/Publisher’s Note: The statements, opinions and data contained in all publications are solely those of the individual author(s) and contributor(s) and not of MDPI and/or the editor(s). MDPI and/or the editor(s) disclaim responsibility for any injury to people or property resulting from any ideas, methods, instructions or products referred to in the content. |
© 2024 by the author. Licensee MDPI, Basel, Switzerland. This article is an open access article distributed under the terms and conditions of the Creative Commons Attribution (CC BY) license (https://creativecommons.org/licenses/by/4.0/).
Share and Cite
James, A.L. Cholesteatoma Severity Determines the Risk of Recurrent Paediatric Cholesteatoma More Than the Surgical Approach. J. Clin. Med. 2024, 13, 836. https://doi.org/10.3390/jcm13030836
James AL. Cholesteatoma Severity Determines the Risk of Recurrent Paediatric Cholesteatoma More Than the Surgical Approach. Journal of Clinical Medicine. 2024; 13(3):836. https://doi.org/10.3390/jcm13030836
Chicago/Turabian StyleJames, Adrian L. 2024. "Cholesteatoma Severity Determines the Risk of Recurrent Paediatric Cholesteatoma More Than the Surgical Approach" Journal of Clinical Medicine 13, no. 3: 836. https://doi.org/10.3390/jcm13030836
APA StyleJames, A. L. (2024). Cholesteatoma Severity Determines the Risk of Recurrent Paediatric Cholesteatoma More Than the Surgical Approach. Journal of Clinical Medicine, 13(3), 836. https://doi.org/10.3390/jcm13030836

