Prediction Model for Sciatic Nerve Procedures: A Cross-Sectional Study
Abstract
1. Introduction
2. Methods
2.1. Study Design
2.2. Participants
2.3. Sample Size Calculation
2.4. Demographic and Anthropometric Data
2.5. Ultrasound Imaging Procedure: Sciatic Nerve
2.6. Proximal Measurement1
2.7. Mid-Third Measurement
2.8. Statistical Analysis
3. Results
3.1. Sociodemographic Features
3.2. Anthropometric and Ultrasonography Characteristics
3.3. Correlation Analysis
3.4. Hierarchical Regression Analysis
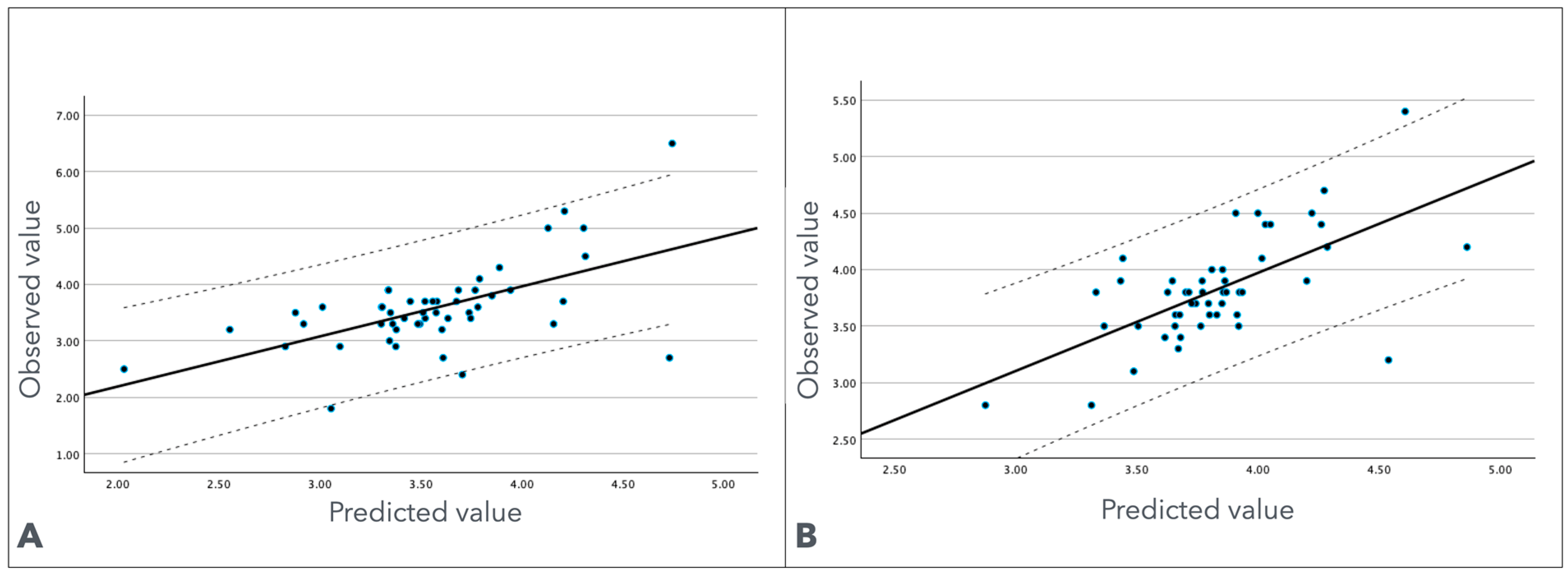
3.5. Proximal Sciatic Nerve Depth Prediction
3.6. Mid-Third Sciatic Nerve Depth Prediction
4. Discussion
5. Limitations
6. Conclusions
Author Contributions
Funding
Institutional Review Board Statement
Informed Consent Statement
Data Availability Statement
Conflicts of Interest
References
- Yablon, C.M.; Hammer, M.R.; Morag, Y.; Brandon, C.J.; Fessell, D.P.; Jacobson, J.A. US of the Peripheral Nerves of the Lower Extremity: A Landmark Approach. Radiogr. A Rev. Publ. Radiol. Soc. N. Am. 2016, 36, 464–478. [Google Scholar] [CrossRef]
- Singh, H.; Gargya, A.; Lin, T.; Gulati, A. Sciatic, Femoral, and Lateral Femoral Cutaneous Nerve Ultrasound-Guided Percutaneous Peripheral Nerve Stimulation. Pain. Med. 2021, 21, 47–50. [Google Scholar] [CrossRef]
- Warchoł, Ł.; Walocha, J.A.; Mizia, E.; Liszka, H.; Bonczar, M.; Zamojska, I. Computer-assisted measurements of the histological structure of the tibial nerve and its terminal branches. Folia Morphol. 2021, 80, 372–379. [Google Scholar] [CrossRef]
- Bharadwaj, U.U.; Varenika, V.; Carson, W.; Villanueva-Meyer, J.; Ammanuel, S.; Bucknor, M.; Robbins, N.M.; Douglas, V.; Chin, C.T. Variant Sciatic Nerve Anatomy in Relation to the Piriformis Muscle on Magnetic Resonance Neurography: A Potential Etiology for Extraspinal Sciatica. Tomography 2023, 9, 475–484. [Google Scholar] [CrossRef]
- Poutoglidou, F.; Piagkou, M.; Totlis, T.; Tzika, M.; Natsis, K. Sciatic Nerve Variants and the Piriformis Muscle: A Systematic Review and Meta-Analysis. Cureus 2020, 12, e11531. [Google Scholar] [CrossRef] [PubMed]
- Crabtree, E.C.; Beck, M.; Lopp, B.R.; Nosovitch, M.; Edwards, J.N.; Boezaart, A.P. A method to estimate the depth of the sciatic nerve during subgluteal block by using thigh diameter as a guide. Reg. Anesth. Pain. Med. 2006, 31, 358–362. [Google Scholar] [CrossRef] [PubMed]
- Bruhn, J.; Moayeri, N.; Groen, G.J.; VANVeenendaal, A.; Gielen, M.J.; Scheffer, G.J.; VANGeffen, G.J. Soft tissue landmark for ultrasound identification of the sciatic nerve in the infragluteal region: The tendon of the long head of the biceps femoris muscle. Acta Anaesthesiol. Scand. 2009, 53, 921–925. [Google Scholar] [CrossRef]
- Espejo-Antúnez, L.; Tejeda, J.F.; Albornoz-Cabello, M.; Rodríguez-Mansilla, J.; de la Cruz-Torres, B.; Ribeiro, F.; Silva, A.G. Dry needling in the management of myofascial trigger points: A systematic review of randomized controlled trials. Complement. Ther. Med. 2017, 33, 46–57. [Google Scholar] [CrossRef] [PubMed]
- San-Emeterio-Iglesias, R.; Minaya-Muñoz, F.; Romero-Morales, C.; De-la-Cruz-Torres, B. Correct Sciatic Nerve Management to Apply Ultrasound-Guided Percutaneous Neuromodulation in Patients With Chronic Low Back Pain: A Pilot Study. Neuromodulation J. Int. Neuromodulation Soc. 2021, 24, 1067–1074. [Google Scholar] [CrossRef]
- Boyce, D.; Wempe, H.; Campbell, C.; Fuehne, S.; Zylstra, E.; Smith, G.; Wingard, C.; Jones, R. Adverse events associated with therapeutic dry needling. Int. J. Sports Phys. Ther. 2020, 15, 103–113. [Google Scholar] [CrossRef]
- Brady, S.; McEvoy, J.; Dommerholt, J.; Doody, C. Adverse events following trigger point dry needling: A prospective survey of chartered physiotherapists. J. Man. Manip. Ther. 2014, 22, 134–140. [Google Scholar] [CrossRef]
- Halle, J.S.; Halle, R.J. Pertinent dry needling considerations for minimizing adverse effects—part one. Int. J. Sports Phys. Ther. 2016, 11, 651–662. [Google Scholar]
- ASAP. Guidelines for safe acupuncture and dry needling practice; ASAP: Sydney, Australia, 2013. [Google Scholar]
- Ozçakar, L.; Tok, F.; De Muynck, M.; Vanderstraeten, G. Musculoskeletal ultrasonography in physical and rehabilitation medicine. J. Rehabil. Med. 2012, 44, 310–318. [Google Scholar] [CrossRef] [PubMed]
- Halle, J.S.; Halle, R.J. Pertinent dry needling considerations for minimizing adverse effects: Part two. Int. J. Sports Phys. Ther. 2016, 11, 810–819. [Google Scholar] [PubMed]
- Ferrer-Peña, R.; Calvo-Lobo, C.; Gómez, M.; Muñoz-García, D. Prediction model for choosing needle length to minimize risk of median nerve puncture with dry needling of the pronator teres. J. Manip. Physiol. Ther. 2019, 42, 366–371. [Google Scholar] [CrossRef] [PubMed]
- Beneciuk, J.M.; Bishop, M.D.; George, S.Z. Clinical prediction rules for physical therapy interventions: A systematic review. Phys. Ther. 2009, 89, 114–124. [Google Scholar] [CrossRef][Green Version]
- Valera-Calero, J.A.; Laguna-Rastrojo, L.; de-Jesús-Franco, F.; Cimadevilla-Fernández-Pola, E.; Cleland, J.A.; Fernández-de-Las-Peñas, C.; Arias-Buría, J.L. Prediction Model of Soleus Muscle Depth Based on Anthropometric Features: Potential Applications for Dry Needling. Diagnostics 2020, 10, 284. [Google Scholar] [CrossRef] [PubMed]
- Green, S.B. How Many Subjects Does It Take To Do A Regression Analysis. Multivar. Behav. Res. 1991, 26, 499–510. [Google Scholar] [CrossRef]
- Chiquete, E.; Ruiz-Sandoval, J.L.; Ochoa-Guzmán, A.; Sánchez-Orozco, L.V.; Lara-Zaragoza, E.B.; Basaldúa, N.; Ruiz-Madrigal, B.; Martínez-López, E.; Román, S.; Godínez-Gutiérrez, S.A.; et al. The Quételet index revisited in children and adults. Endocrinol. Nutr. 2014, 61, 87–92. [Google Scholar] [CrossRef]
- Iriarte, I.; Pedret, C.; Balius, R.; Cerezal, L. Ecografía Musculoesquelética; Editorial Médica Panamericana: Madrid, Spain, 2020. [Google Scholar]
- Valera-Calero, J.A.; Cendra-Martel, E.; Fernández-Rodríguez, T.; Fernández-de-Las-Peñas, C.; Gallego-Sendarrubias, G.M.; Guodemar-Pérez, J. Prediction model of rhomboid major and pleura depth based on anthropometric features to decrease the risk of pneumothorax during dry needling. Int. J. Clin. Pract. 2021, 75, e14176. [Google Scholar] [CrossRef]
- Valera-Calero, J.A.; Varol, U.; Plaza-Manzano, G.; Fernández-de-Las-Peñas, C.; Agudo-Aguado, A. Regression Model Decreasing the Risk of Femoral Neurovascular Bundle Accidental Puncture. Tomography 2022, 8, 2498–2507. [Google Scholar] [CrossRef] [PubMed]
- Dhagat, P.; Jaim, M.; Farroq, A. MRI evaluation of soft tossue vascular malformations. Indian. J. Radiol. Imaging 2020, 30, 184–189. [Google Scholar] [PubMed]
- Chen, S.H.; Lin, Y.W.; Tseng, W.L.; Lin, W.T.; Lin, S.C.; Hsueh, Y.Y. Ultrahigh frequency transcutaneous electrical nerve stimulation for neuropathic pain alleviation and neuromodulation. Neurotherapeutics 2024, 21, e00336. [Google Scholar] [CrossRef] [PubMed] [PubMed Central]
- Alaei, P.; Nakhostin Ansari, N.; Naghdi, S.; Fakhari, Z.; Komesh, S.; Dommerholt, J. Dry Needling for Hamstring Flexibility: A Single-Blind Randomized Controlled Trial. J. Sport. Rehabil. 2020, 30, 452–457. [Google Scholar] [CrossRef]
- Yuen, E.C.; So, Y.T. Sciatic neuropathy. Neurol. Clin. 1999, 17, 617–628. [Google Scholar] [CrossRef]
- Valera-Garrido, F.; Minaya-Muñoz, F. Fisioterapia Invasiva; Elsevier España SL: Barcelona, Spain, 2016. [Google Scholar]
- Astasio-Picado, Á.; García-Cano, M. Neuromodulation of the Posterior Tibial Nerve for the Control of Urinary Incontinence. Medicina 2022, 58, 442. [Google Scholar] [CrossRef]



| Variables | Total Sample (n = 50) | Males (n = 27) | Females (n = 23) |
|---|---|---|---|
| Age, y | 23.2 ± 3.46 | 22.96 ± 3.20 | 23.57 ± 3.78 |
| Weight, kg † | 72.3 ± 12.1 | 78.52 ± 7.31 | 64.96 ± 12.53 |
| Height, m † | 1.73 ± 0.08 | 1.79 ± 0.04 | 1.67 ± 0.06 |
| BMI, kg/m2 | 23.9 ± 3.29 | 24.47 ± 2.14 | 23.32 ± 4.23 |
| Gender | Leg Side | |||||
|---|---|---|---|---|---|---|
| Variables | Males (n = 27) | Females (n = 23) | Difference | Left (n = 50) | Right (n = 50) | Difference |
| Leg Length (cm) | 95.92 ± 3.7 | 90.8 ± 5.8 | −5.0 (−7.0; −3.1) p < 0.001 | 93.5 ± 5.4 | 93.7 ± 5.4 | −0.2 (−2.4; 1.9) p = 0.83 |
| Thigh Girth (cm)—Proximal Third | 60.5 ± 3.8 | 61.6 ± 5.8 | 1.1 (−1.5; 1.8) p = 0.86 | 61.0 ± 4.8 | 60.9 ± 4.9 | 0.1 (−1.8; 1.9) p = 0.94 |
| Thigh Girth (cm)—Mid-Third | 54.0 ± 3.7 | 53.5 ± 4.6 | 0.1 (−0.8; 3.0) p = 0.25 | 54.1 ± 4.0 | 54.0 ± 4.3 | 0.0 (−1.5; 1.7) p = 0.97 |
| Sciatic Nerve Depth (mm)—Proximal Third | 3.3 ± 0.4 | 3.8 ± 0.7 | 0.4 (0.1; 0.6) p = 0.001 | 3.5 ± 0.7 | 3.5 ± 0.5 | 0.0 (−0.2; 0.2) p = 0.97 |
| Sciatic Nerve Depth (mm)—Mid-Third | 3.8 ± 0.3 | 3.9 ± 0.5 | 4.3 (0.0; 0.3) p = 0.126 | 3.8 ± 0.4 | 3.9 ± 60.4 | 0.0 (−0.2; 0.2) p = 0.40 |
| 1 | 2 | 3 | 4 | 5 | 6 | 7 | 8 | 9 | |
|---|---|---|---|---|---|---|---|---|---|
| 1. Leg length | — | ||||||||
| 2. Thigh girth proximal | −0.033 | — | |||||||
| 3. Thigh girth mid-third | −0.154 | 0.876 † | — | ||||||
| 4. Age | −0.154 | −0.126 | −0.096 | — | |||||
| 5. Weight | 0.324 * | 0.602 † | 0.590 † | −0.189 | — | ||||
| 6. Height | 0.688 † | −0.009 | −0.053 | −0.302 * | 0.621 † | — | |||
| 7. BMI | −0.081 | 0.764 † | 0.779 † | −0.036 | 0.826 † | 0.075 | — | ||
| 8. SN depth proximal | −0.148 | 0.671 † | 0.571 † | −0.104 | 0.262 | −0.270 | 0.534 † | — | |
| 9. SN depth mid-third | −0.012 | 0.703 † | 0.623 † | −0.220 | 0.418 † | −0.113 | 0.614 † | 0.755 † | — |
| Predictor Outcome | B | SE B | 95% CI | β | t | p | |
|---|---|---|---|---|---|---|---|
| Proximal | Step 1 | ||||||
| Thigh girth proximal | 0.091 | 0.01 | (0.523, 0.820) | 0.671 | 8.96 | <0.001 | |
| Step 2 | |||||||
| Gender | −0.316 | 0.094 | (−0.764, −0.195) | −0.479 | −3.35 | 0.001 | |
| Thigh girth proximal | 0.088 | 0.00 | (0.501, 0.786) | 0.643 | 8.97 | <0.001 | |
| Mid-third | Step 1 | ||||||
| Thigh girth mid-third | 0.067 | 0.00 | (0.466, 0.780) | 0.623 | 7.886 | <0.001 | |
| Step 2 | |||||||
| Weight | 0.003 | 0.005 | (−0.203, 0.365) | 0.081 | 0.574 | 0.571 | |
| Thigh girth mid-third | 0.066 | 0.016 | (0.287, 0.856) | 0.571 | 4.04 | <0.001 | |
| Step 3 | |||||||
| Gender | −0.305 | 0.142 | (−1.269, −0.042) | −0.656 | −2.151 | 0.037 | |
| Weight | 0.014 | 0.007 | (−0.016, 0.748) | 0.366 | 1.928 | 0.060 | |
| Thigh girth mid-third | 0.018 | 0.018 | (0.089, 0.720) | 0.405 | 0.405 | 0.013 | |
| Step 4 | |||||||
| Thigh girth proximal | 0.060 | 0.025 | (0.080, 1.160) | 0.620 | 2.313 | 0.025 | |
| Gender | −0.109 | 0.260 | (−0.926, 0.458) | −0.233 | −0.680 | 0.500 | |
| Weight | 0.004 | 0.008 | (−0.327, 0.535) | 0.104 | 0.486 | 0.629 | |
| Thigh girth mid-third | 0.001 | 0.026 | (−0.443, 0.468) | 0.012 | 0.054 | 0.957 |
Disclaimer/Publisher’s Note: The statements, opinions and data contained in all publications are solely those of the individual author(s) and contributor(s) and not of MDPI and/or the editor(s). MDPI and/or the editor(s) disclaim responsibility for any injury to people or property resulting from any ideas, methods, instructions or products referred to in the content. |
© 2024 by the authors. Licensee MDPI, Basel, Switzerland. This article is an open access article distributed under the terms and conditions of the Creative Commons Attribution (CC BY) license (https://creativecommons.org/licenses/by/4.0/).
Share and Cite
Minguez-Esteban, I.; González-de-la-Flor, Á.; Villafañe, J.H.; Valera-Calero, J.A.; Plaza-Manzano, G.; Belón-Pérez, P.; Romero-Morales, C. Prediction Model for Sciatic Nerve Procedures: A Cross-Sectional Study. J. Clin. Med. 2024, 13, 7851. https://doi.org/10.3390/jcm13247851
Minguez-Esteban I, González-de-la-Flor Á, Villafañe JH, Valera-Calero JA, Plaza-Manzano G, Belón-Pérez P, Romero-Morales C. Prediction Model for Sciatic Nerve Procedures: A Cross-Sectional Study. Journal of Clinical Medicine. 2024; 13(24):7851. https://doi.org/10.3390/jcm13247851
Chicago/Turabian StyleMinguez-Esteban, Isabel, Ángel González-de-la-Flor, Jorge Hugo Villafañe, Juan Antonio Valera-Calero, Gustavo Plaza-Manzano, Pedro Belón-Pérez, and Carlos Romero-Morales. 2024. "Prediction Model for Sciatic Nerve Procedures: A Cross-Sectional Study" Journal of Clinical Medicine 13, no. 24: 7851. https://doi.org/10.3390/jcm13247851
APA StyleMinguez-Esteban, I., González-de-la-Flor, Á., Villafañe, J. H., Valera-Calero, J. A., Plaza-Manzano, G., Belón-Pérez, P., & Romero-Morales, C. (2024). Prediction Model for Sciatic Nerve Procedures: A Cross-Sectional Study. Journal of Clinical Medicine, 13(24), 7851. https://doi.org/10.3390/jcm13247851

