Skeletal Muscle Measurements Based on Abdominal Computerized Tomography (CT) Predict Risk of Osteoporosis in Incident Hemodialysis Patients
Abstract
1. Introduction
2. Materials and Methods
2.1. Study Population and Study Design
2.2. Data Collections and Measurements
2.3. Definitions and Indexes
2.4. Statistical Analysis
3. Results
3.1. Baseline Characteristics
3.2. Correlation of Clinical Parameters with T-Scores of Both BMDs
3.3. Subgroup Analysis on Interquartile SMA Groups
4. Discussion
Supplementary Materials
Author Contributions
Funding
Institutional Review Board Statement
Informed Consent Statement
Data Availability Statement
Conflicts of Interest
References
- Mori, K. Maintenance of Skeletal Muscle to Counteract Sarcopenia in Patients with Advanced Chronic Kidney Disease and Especially Those Undergoing Hemodialysis. Nutrients 2021, 13, 1538. [Google Scholar] [CrossRef] [PubMed]
- Carrero, J.J.; Stenvinkel, P.; Cuppari, L.; Ikizler, T.A.; Kalantar-Zadeh, K.; Kaysen, G.; Mitch, W.E.; Price, S.R.; Wanner, C.; Wang, A.Y.; et al. Etiology of the protein-energy wasting syndrome in chronic kidney disease: A consensus statement from the International Society of Renal Nutrition and Metabolism (ISRNM). J. Ren. Nutr. 2013, 23, 77–90. [Google Scholar] [CrossRef] [PubMed]
- Massini, G.; Caldiroli, L.; Molinari, P.; Carminati, F.M.I.; Castellano, G.; Vettoretti, S. Nutritional Strategies to Prevent Muscle Loss and Sarcopenia in Chronic Kidney Disease: What Do We Currently Know? Nutrients 2023, 15, 3107. [Google Scholar] [CrossRef] [PubMed]
- Isoyama, N.; Qureshi, A.R.; Avesani, C.M.; Lindholm, B.; Bàràny, P.; Heimbürger, O.; Cederholm, T.; Stenvinkel, P.; Carrero, J.J. Comparative associations of muscle mass and muscle strength with mortality in dialysis patients. Clin. J. Am. Soc. Nephrol. 2014, 9, 1720–1728. [Google Scholar] [CrossRef]
- Wang, C.; Guo, X.; Xu, X.; Liang, S.; Wang, W.; Zhu, F.; Wang, S.; Wu, J.; Zhang, L.; Sun, X.; et al. Association between sarcopenia and frailty in elderly patients with chronic kidney disease. J. Cachexia Sarcopenia Muscle 2023, 14, 1855–1864. [Google Scholar] [CrossRef]
- Edwards, M.H.; Dennison, E.M.; Aihie Sayer, A.; Fielding, R.; Cooper, C. Osteoporosis and sarcopenia in older age. Bone 2015, 80, 126–130. [Google Scholar] [CrossRef]
- Inaba, M.; Okuno, S.; Ohno, Y. Importance of Considering Malnutrition and Sarcopenia in Order to Improve the QOL of Elderly Hemodialysis Patients in Japan in the Era of 100-Year Life. Nutrients 2021, 13, 2377. [Google Scholar] [CrossRef]
- Sheng, R.; Cao, M.; Song, M.; Wang, M.; Zhang, Y.; Shi, L.; Xie, T.; Li, Y.; Wang, J.; Rui, Y. Muscle-bone crosstalk via endocrine signals and potential targets for osteosarcopenia-related fracture. J. Orthop. Transl. 2023, 43, 36–46. [Google Scholar] [CrossRef] [PubMed]
- Kim, S.; Won, C.W.; Kim, B.S.; Choi, H.R.; Moon, M.Y. The association between the low muscle mass and osteoporosis in elderly Korean people. J. Korean Med. Sci. 2014, 29, 995–1000. [Google Scholar] [CrossRef]
- Miyakoshi, N.; Hongo, M.; Mizutani, Y.; Shimada, Y. Prevalence of sarcopenia in Japanese women with osteopenia and osteoporosis. J. Bone Miner. Metab. 2013, 31, 556–561. [Google Scholar] [CrossRef]
- Mizutani, M.; Eguchi, Y.; Toyoguchi, T.; Orita, S.; Inage, K.; Shiga, Y.; Maki, S.; Nakamura, J.; Hagiwara, S.; Aoki, Y.; et al. Association between Osteoporosis and Skeletal Muscle Mass in Men. Asian Spine J. 2024, 18, 73–78. [Google Scholar] [CrossRef] [PubMed]
- Nakano, Y.; Mandai, S.; Naito, S.; Fujiki, T.; Mori, Y.; Ando, F.; Mori, T.; Susa, K.; Iimori, S.; Sohara, E.; et al. Effect of osteosarcopenia on longitudinal mortality risk and chronic kidney disease progression in older adults. Bone 2024, 179, 116975. [Google Scholar] [CrossRef]
- Derstine, B.A.; Holcombe, S.A.; Ross, B.E.; Wang, N.C.; Su, G.L.; Wang, S.C. Optimal body size adjustment of L3 CT skeletal muscle area for sarcopenia assessment. Sci. Rep. 2021, 11, 279. [Google Scholar] [CrossRef] [PubMed]
- Shen, W.; Punyanitya, M.; Wang, Z.; Gallagher, D.; St.-Onge, M.-P.; Albu, J.; Heymsfield, S.B.; Heshka, S. Total body skeletal muscle and adipose tissue volumes: Estimation from a single abdominal cross-sectional image. J. Appl. Physiol. 2004, 97, 2333–2338. [Google Scholar] [CrossRef]
- Huang, C.B.; Lin, D.D.; Huang, J.Q.; Hu, W. Based on CT at the third lumbar spine level, the skeletal muscle index and psoas muscle index can predict osteoporosis. BMC Musculoskelet. Disord. 2022, 23, 933. [Google Scholar] [CrossRef] [PubMed]
- Kim, S.S.; Kim, J.H.; Jeong, W.K.; Lee, J.; Kim, Y.K.; Choi, D.; Lee, W.J. Semiautomatic software for measurement of abdominal muscle and adipose areas using computed tomography: A STROBE-compliant article. Medicine 2019, 98, e15867. [Google Scholar] [CrossRef] [PubMed]
- Paternostro, R.; Lampichler, K.; Bardach, C.; Asenbaum, U.; Landler, C.; Bauer, D.; Mandorfer, M.; Schwarzer, R.; Trauner, M.; Reiberger, T.; et al. The value of different CT-based methods for diagnosing low muscle mass and predicting mortality in patients with cirrhosis. Liver Int. 2019, 39, 2374–2385. [Google Scholar] [CrossRef] [PubMed]
- Zhang, J.; Xiao, X.; Han, T.; Liu, Y.; Shuai, P. Relationship between immune nutrition index and all-cause and cause-specific mortality in U.S. adults with chronic kidney disease. Front. Nutr. 2023, 10, 1264618. [Google Scholar] [CrossRef]
- Eckardt, K.-U.; Kasiske, B.L. KDIGO clinical practice guideline for the diagnosis, evaluation, prevention, and treatment of Chronic Kidney Disease-Mineral and Bone Disorder (CKD-MBD). Kidney Int. Suppl. 2009, 76, S1–S130. [Google Scholar] [CrossRef] [PubMed]
- Salam, S.N.; Eastell, R.; Khwaja, A. Fragility fractures and osteoporosis in CKD: Pathophysiology and diagnostic methods. Am. J. Kidney Dis. 2014, 63, 1049–1059. [Google Scholar] [CrossRef]
- Iseri, K.; Carrero, J.J.; Evans, M.; Felländer-Tsai, L.; Berg, H.; Runesson, B.; Stenvinkel, P.; Lindholm, B.; Qureshi, A.R. Major fractures after initiation of dialysis: Incidence, predictors and association with mortality. Bone 2020, 133, 115242. [Google Scholar] [CrossRef]
- Ketteler, M.; Block, G.A.; Evenepoel, P.; Fukagawa, M.; Herzog, C.A.; McCann, L.; Moe, S.M.; Shroff, R.; Tonelli, M.A.; Toussaint, N.D.; et al. Executive summary of the 2017 KDIGO Chronic Kidney Disease-Mineral and Bone Disorder (CKD-MBD) Guideline Update: What’s changed and why it matters. Kidney Int. 2017, 92, 26–36. [Google Scholar] [CrossRef]
- Kittiskulnam, P.; Johansen, K.L. The obesity paradox: A further consideration in dialysis patients. Semin. Dial. 2019, 32, 485–489. [Google Scholar] [CrossRef] [PubMed]
- Montenegro, J.; Klein, M.; Bregman, R.; Prado, C.M.; Barreto Silva, M.I. Osteosarcopenia in patients with non-dialysis dependent chronic kidney disease. Clin. Nutr. 2022, 41, 1218–1227. [Google Scholar] [CrossRef]
- Ito, K.; Ookawara, S.; Hibino, Y.; Imai, S.; Fueki, M.; Bandai, Y.; Yasuda, M.; Kamimura, T.; Kakuda, H.; Kiryu, S.; et al. Skeletal Muscle Mass Index Is Positively Associated With Bone Mineral Density in Hemodialysis Patients. Front. Med. 2020, 7, 187. [Google Scholar] [CrossRef]
- van der Werf, A.; Langius, J.A.E.; de van der Schueren, M.A.E.; Nurmohamed, S.A.; van der Pant, K.; Blauwhoff-Buskermolen, S.; Wierdsma, N.J. Percentiles for skeletal muscle index, area and radiation attenuation based on computed tomography imaging in a healthy Caucasian population. Eur. J. Clin. Nutr. 2018, 72, 288–296. [Google Scholar] [CrossRef]
- Arao, M.; Yajima, T. Computed tomography-based abdominal sarcopenic indices and bio-impedance analysis-based skeletal muscle mass index in hemodialyzed patients. Clin. Nutr. ESPEN 2024, 59, 21–28. [Google Scholar] [CrossRef]
- Pickhardt, P.J.; Summers, R.M.; Garrett, J.W. Automated CT-Based Body Composition Analysis: A Golden Opportunity. Korean J. Radiol. 2021, 22, 1934–1937. [Google Scholar] [CrossRef]
- Martin, L.; Gioulbasanis, I.; Senesse, P.; Baracos, V.E. Cancer-Associated Malnutrition and CT-Defined Sarcopenia and Myosteatosis Are Endemic in Overweight and Obese Patients. JPEN J. Parenter. Enter. Nutr. 2020, 44, 227–238. [Google Scholar] [CrossRef]
- Boutin, R.D.; Lenchik, L. Value-Added Opportunistic CT: Insights Into Osteoporosis and Sarcopenia. AJR Am. J. Roentgenol. 2020, 215, 582–594. [Google Scholar] [CrossRef] [PubMed]
- Cruz-Jentoft, A.J.; Bahat, G.; Bauer, J.; Boirie, Y.; Bruyère, O.; Cederholm, T.; Cooper, C.; Landi, F.; Rolland, Y.; Sayer, A.A.; et al. Sarcopenia: Revised European consensus on definition and diagnosis. Age Ageing 2019, 48, 601. [Google Scholar] [CrossRef]
- Yamada, S.; Tanaka, S.; Arase, H.; Hiyamuta, H.; Yoshizumi, E.; Tokumoto, M.; Nakano, T.; Tsuruya, K.; Kitazono, T. Associations Between Surrogates of Skeletal Muscle Mass and History of Bone Fracture in Patients with Chronic Kidney Disease: The Fukuoka Kidney disease Registry (FKR) Study. Calcif. Tissue Int. 2021, 109, 393–404. [Google Scholar] [CrossRef] [PubMed]
- Tagliaferri, C.; Wittrant, Y.; Davicco, M.-J.; Walrand, S.; Coxam, V. Muscle and bone, two interconnected tissues. Ageing Res. Rev. 2015, 21, 55–70. [Google Scholar] [CrossRef] [PubMed]
- Lin, Y.; Zhong, X.; Lu, D.; Yao, W.; Zhou, J.; Wu, R.; Feng, F. Association of visceral and subcutaneous fat with bone mineral density in US adults: A cross-sectional study. Sci. Rep. 2023, 13, 10682. [Google Scholar] [CrossRef]


| Characteristics | Total (N = 87) | Male (N = 46) | Female (N = 41) | p-Value |
|---|---|---|---|---|
| Age (years) | 65.37 ± 13.76 | 63.8 ± 13.20 | 67.12 ± 14.33 | 0.264 |
| Body weight (kg) | 62.95 ± 13.89 | 68.05 ± 13.38 | 57.23 ± 12.24 | <0.001 |
| Height (cm) | 161.17 ± 8.97 | 166.94 ± 5.31 | 154.70 ± 7.74 | <0.001 |
| BMI (kg/m2) | 24.15 ± 4.17 | 24.28 ± 3.86 | 24.60 ± 5.94 | 0.762 |
| Cause of ESKD, n (%) | 0.132 | |||
| Diabetic nephropathy | 56 (64.4) | 33 (58.9) | 23 (56.1) | |
| Hypertensive nephropathy | 9 (10.3) | 6 (13.0) | 3 (7.3) | |
| Glomerulonephritis | 11 (12.6) | 3 (6.5) | 8 (19.5) | |
| Others | 11 (12.6) | 4 (8.7) | 7 (17.1) | |
| Vascular access at dialysis initiation, n (%) | 0.166 | |||
| Central venous catheter | 77 (88.5) | 38 (82.6) | 39 (95.1) | |
| AVF | 8 (9.2) | 6 (13.0) | 2 (4.9) | |
| AVG | 2 (2.3) | 2 (4.3) | 0 (0.0) | |
| Ultrafiltration during first HD session | 0.97 ± 0.75 | 0.99 ± 0.70 | 0.94 ± 0.81 | 0.754 |
| Ultrafiltration during second HD session | 1.19 ± 0.82 | 1.14 ± 0.69 | 1.24 ± 0.95 | 0.588 |
| Laboratory findings | ||||
| Hb (g/dL) | 9.35 ± 1.52 | 9.36 ± 1.65 | 9.34 ± 1.43 | 0.954 |
| BUN (mg/dL) | 87.38 ± 30.68 | 91.99 ± 32.54 | 82.80 ± 27.93 | 0.138 |
| Cr (mg/dL) | 8.26 ± 3.26 | 8.76 ± 3.37 | 7.69 ± 3.07 | 0.128 |
| eGFR (MDRD) | 7.21 ± 3.22 | 7.69 ± 3.59 | 6.67 ± 2.68 | 0.140 |
| Albumin (g/dL) | 3.57 ± 0.63 | 3.54 ± 0.64 | 3.60 ± 0.63 | 0.665 |
| C-reactive protein (mg/dL) | 2.12 ± 5.34 | 2.09 ± 4.55 | 2.15 ± 6.15 | 0.961 |
| Total cholesterol (mg/dL) | 149.86 ± 63.48 | 131.39 ± 40.67 | 171.84 ± 77.88 | 0.006 |
| Triglyceride (mg/dL) | 137.23 ± 81.48 | 128.60 ± 73.38 | 147.31 ± 90.02 | 0.315 |
| LDL-cholesterol (mg/dL) | 82.79 ± 43.24 | 70.64 ± 30.59 | 101.05 ± 52.94 | 0.032 |
| HDL-cholesterol (mg/dL) | 42.28 ± 15.60 | 39.74 ± 17.77 | 45.31 ± 12.08 | 0.115 |
| Corrected Ca (mg/dL) | 8.35 ± 0.92 | 8.22 ± 0.84 | 8.49 ± 0.98 | 0.177 |
| Phosphate (mg/dL) | 5.68 ± 1.85 | 5.65 ± 1.89 | 5.71 ± 1.83 | 0.895 |
| Intact PTH (pg/mL) | 212.56 ± 201.21 | 180.46 ± 107.66 | 248.78 ± 267.78 | 0.143 |
| ALP (IU/L) | 85.54 ± 42.45 | 84.57 ± 40.81 | 86.59 ± 44.62 | 0.828 |
| Vitamin D total (ng/mL) | 10.79 ± 8.02 | 9.59 ± 7.19 | 12.23 ± 8.83 | 0.184 |
| Uric acid (mg/dL) | 7.07 ± 2.49 | 7.27 ± 2.29 | 6.85 ± 2.72 | 0.434 |
| PNI score | 41.24 ± 7.57 | 41.05 ± 8.52 | 41.45 ± 6.45 | 0.808 |
| Body composition analysis | ||||
| Skeletal muscle area (cm2) | 122.92 ± 29.06 | 137.22 ± 26.48 | 106.88 ± 22.98 | <0.001 |
| Skeletal muscle index (cm2/m2) | 47.01 ± 8.92 | 49.06 ± 8.10 | 44.72 ± 9.32 | 0.023 |
| Total fat area (cm2) | 270.49 ± 133.36 | 276.74 ± 136.98 | 263.47 ± 130.53 | 0.646 |
| Subcutaneous fat area (cm2) | 128.08 ± 58.47 | 114.66 ± 51.83 | 143.13 ± 62.35 | 0.023 |
| Visceral fat area (cm2) | 143.53 ± 93.96 | 162.01 ± 103.11 | 122.78 ± 78.65 | 0.051 |
| BMD (T-score) | ||||
| Lumbar spine BMD (g/cm2) | −1.29 ± 1.50 | −0.79 ± 1.24 | −1.86 ± 1.58 | 0.001 |
| Proximal femur BMD (g/cm2) | −1.80 ± 2.13 | −1.66 ± 1.07 | −2.54 ± 1.02 | <0.001 |
| Lumbar Spine BMD | Proximal Femur BMD | |||
|---|---|---|---|---|
| r | p-Value | r | p-Value | |
| Sex Male, n (%) | 0.359 | 0.001 | 0.391 | <0.001 |
| Age (years) | −0.039 | 0.721 | −0.281 | 0.009 |
| Body weight (kg) | 0.441 | <0.001 | 0.465 | <0.001 |
| Height (cm) | 0.454 | <0.001 | 0.524 | <0.001 |
| BMI (kg/m2) | 0.179 | 0.096 | 0.259 | 0.018 |
| Past medical history, n (%) | ||||
| Diabetes | 0.245 | 0.022 | −0.071 | 0.521 |
| Hypertension | 0.227 | 0.034 | 0.166 | 0.128 |
| Laboratory findings | ||||
| Hb (g/dL) | 0.172 | 0.112 | 0.114 | 0.300 |
| BUN (mg/dL) | 0.084 | 0.439 | 0.121 | 0.268 |
| Cr (mg/dL) | 0.097 | 0.370 | 0.167 | 0.128 |
| eGFR (MDRD) | 0.009 | 0.935 | −0.051 | 0.645 |
| Albumin (g/dL) | 0.066 | 0.546 | 0.028 | 0.802 |
| C-reactive protein (mg/dL) | −0.029 | 0.159 | −0.187 | 0.088 |
| Total cholesterol (mg/dL) | −0.044 | 0.700 | 0.013 | 0.909 |
| Triglyceride (mg/dL) | 0.134 | 0.243 | 0.065 | 0.575 |
| LDL-cholesterol (mg/dL) | −0.035 | 0.835 | 0.106 | 0.538 |
| HDL-cholesterol (mg/dL) | −0.228 | 0.044 | −0.057 | 0.623 |
| Corrected Ca (mg/dL) | 0.098 | 0.366 | −0.143 | 0.193 |
| Phosphate (mg/dL) | 0.093 | 0.391 | 0.202 | 0.063 |
| Intact PTH (pg/mL) | −0.057 | 0.611 | −0.036 | 0.753 |
| ALP (IU/L) | −0.016 | 0.882 | −0.242 | 0.027 |
| Vitamin D total (ng/mL) | −0.206 | 0.097 | −0.077 | 0.541 |
| Uric acid (mg/dL) | −0.030 | 0.782 | 0.034 | 0.761 |
| PNI score | 0.065 | 0.547 | 0.056 | 0.611 |
| Body composition analysis | ||||
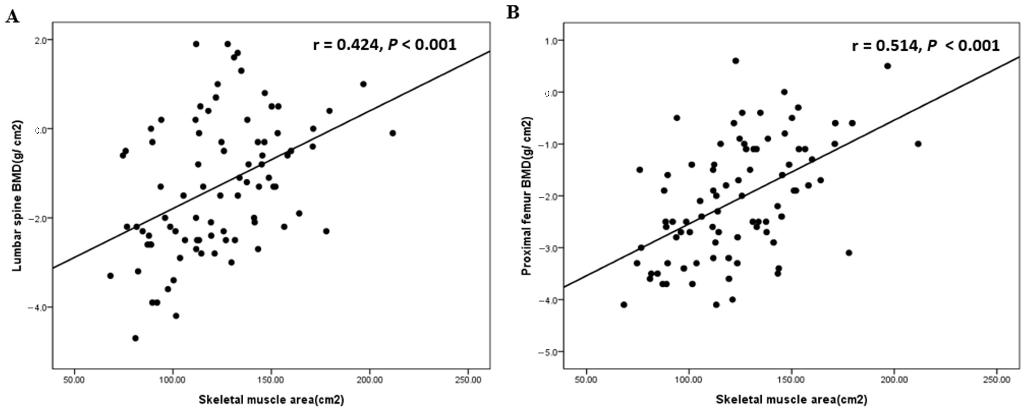
| Skeletal muscle area (cm2) | 0.424 | <0.001 | 0.514 | <0.001 |
| Skeletal muscle index (cm2/m2) | 0.267 | 0.012 | 0.321 | 0.003 |
| Total fat area (cm2) | 0.375 | <0.001 | 0.213 | 0.050 |
| Subcutaneous fat area (cm2) | 0.204 | 0.058 | 0.096 | 0.382 |
| Visceral fat area (cm2) | 0.384 | <0.001 | 0.229 | 0.035 |
| Variables | t | B | β | p-Value | |
|---|---|---|---|---|---|
| Lumbar spine | SMA (cm2) | 3.796 | 0.022 | 0.420 | <0.001 |
| Proximal femur | SMA (cm2) | 3.229 | 0.015 | 0.407 | 0.002 |
| ALP (IU/L) | −3.060 | −0.007 | −0.280 | 0.003 |
| High SMA (N = 22) | Moderate SMA (N = 22) | Low SMA (N = 21) | Very Low SMA (N = 22) | ||
|---|---|---|---|---|---|
| SMA (cm2) | 1st quartile >143.24 | 2nd quartile 122.70~143.24 | 3rd quartile 100.31~122.70 | 4th quartile <100.31 | p-value |
| Age (years) | 59.91 ± 10.98 | 67.14 ± 16.90 | 66.76 ± 12.38 | 67.73 ± 13.47 | 0.197 |
| Sex Male, n (%) | 18 (81.8) | 17 (77.3) | 8 (17.4) | 3 (13.6) | <0.001 |
| Bwt (kg) | 76.88 ± 14.96 | 66.21 ± 7.90 | 57.79 ± 7.23 | 50.70 ± 7.46 | <0.001 |
| Ht (cm) | 166.78 ± 8.64 | 165.06 ± 6.36 | 159.34 ± 7.74 | 153.43 ± 6.48 | <0.001 |
| BMI (kg/m2) | 27.58 ± 4.22 | 24.40 ± 3.12 | 22.78 ± 2.81 | 22.88 ± 6.97 | 0.003 |
| Cause of ESKD, n (%) | 0.451 | ||||
| Diabetic nephropathy | 16 (72.7) | 17 (77.3) | 13 (61.9) | 10 (45.5) | |
| Hypertensive nephropathy | 2 (9.1) | 3 (13.6) | 1 (4.8) | 3 (13.6) | |
| Glomerulonephritis | 2 (9.1) | 1 (4.5) | 3 (14.3) | 5 (22.7) | |
| Others | 2 (9.1) | 1 (4.5) | 4 (19.0) | 4 (18.2) | |
| Laboratory findings | |||||
| Corrected Ca (mg/dL) | 8.17 ± 0.97 | 8.14 ± 1.05 | 8.54 ± 0.70 | 8.55 ± 0.87 | 0.273 |
| Phosphate (mg/dL) | 5.72 ± 1.73 | 5.63 ± 1.82 | 5.74 ± 1.98 | 5.64 ± 1.98 | 0.996 |
| Intact PTH (pg/mL) | 188.45 ± 109.51 | 184.60 ± 120.28 | 196.22 ± 131.27 | 289.65 ± 356.18 | 0.305 |
| Vitamin D total (ng/mL) | 8.73 ± 7.65 | 9.62 ± 5.67 | 13.59 ± 10.37 | 11.13 ± 7.14 | 0.314 |
| VitD deficiency (n (%)) | 18 (94.7) | 11 (68.8) | 14 (66.7) | 14 (73.7) | 0.126 |
| Hb (g/dL) | 9.60 ± 1.40 | 9.41 ± 1.68 | 9.02 ± 1.57 | 9.36 ± 1.56 | 0.949 |
| BUN (mg/dL) | 86.64 ± 33.44 | 90.71 ± 27.06 | 95.03 ± 27.24 | 77.49 ± 33.51 | 0.781 |
| Cr (mg/dL) | 8.46 ± 2.46 | 8.35 ± 3.91 | 9.01 ± 3.55 | 7.24 ± 2.90 | 0.068 |
| Albumin (g/dL) | 3.54 ± 0.70 | 3.61 ± 0.59 | 3.69 ± 0.56 | 3.45 ± 0.68 | 0.718 |
| C-reactive protein (mg/dL) | 0.62 ± 1.27 | 1.99 ± 4.33 | 1.50 ± 2.73 | 4.33 ± 9.01 | 0.002 |
| Total cholesterol (mg/dL) | 154.29 ± 93.52 | 133.90 ± 38.80 | 156.80 ± 43.82 | 154.25 ± 63.04 | 0.112 |
| Triglyceride (mg/dL) | 170.60 ± 100.66 | 135.85 ± 76.77 | 116.10 ± 59.66 | 125.17 ± 78.67 | 0.419 |
| LDL-cholesterol (mg/dL) | 80.10 ± 44.98 | 72.95 ± 33.20 | 101.02 ± 46.49 | 79.62 ± 62.05 | 0.271 |
| HDL-cholesterol (mg/dL) | 35.21 ± 9.68 | 40.45 ± 22. 12 | 45.41 ± 11.25 | 48.37 ± 14.00 | 0.337 |
| ALP(IU/L) | 94.38 ± 46.28 | 81.76 ± 39.77 | 85.29 ± 44.34 | 80.95 ± 40.91 | 0.802 |
| Uric acid (mg/dL) | 7.23 ± 1.67 | 7.59 ± 2.66 | 6.76 ± 3.17 | 6.68 ± 2.36 | 0.199 |
| PNI score | 42.66 ± 7.90 | 40.01 ± 8.20 | 43.31 ± 6.51 | 39.06 ± 7.57 | 0.192 |
| Body composition analysis | |||||
| SMA (cm2) | 160.28 ± 17.99 | 131.40 ± 6.48 | 112.37 ± 6.00 | 87.15 ± 8.38 | <0.001 |
| SMI (cm2/m2) | 57.76 ± 5.90 | 48.40 ± 3.76 | 44.55 ± 4.95 | 37.24 ± 4.92 | <0.001 |
| TFA (cm2) | 354.20 ± 156.58 | 271.47 ± 113.12 | 245.51 ± 107.27 | 209.63 ± 112.79 | 0.002 |
| SFA (cm2) | 156.88 ± 70.41 | 123.01 ± 54.05 | 128.02 ± 46.05 | 104.39 ± 51.17 | 0.025 |
| VFA (cm2) | 197.19 ± 108.87 | 148.45 ± 93.32 | 117.48 ± 80.53 | 109.79 ± 67.12 | 0.007 |
| BMD T-score (g/cm2) | |||||
| Lumbar spine | −0.65 ± 1.03 | −0.77 ± 1.51 | −1.51 ± 1.56 | −2.26 ± 1.36 | 0.001 |
| Proximal femur | −1.39 ± 1.04 | −1.69 ± 1.02 | −2.46 ± 1.00 | −2.81 ± 0.88 | <0.001 |
| Variables | Reference | OR | 95% CI | p-Value |
|---|---|---|---|---|
| SMA (cm2) | 0.96 | 0.94–0.98 | <0.001 | |
| Group | ||||
| Unadjusted | High SMA | 1 | ||
| Moderate SMA | 6.33 | 1.45–27.74 | 0.014 | |
| Low SMA | 8.44 | 1.90–37.59 | 0.005 | |
| Very low SMA | 40.11 | 7.17–224.45 | <0.001 | |
| * Model 1 | High SMA | 1 | ||
| Moderate SMA | 5.24 | 1.16–23.74 | 0.032 | |
| Low SMA | 7.17 | 1.58–32.62 | 0.011 | |
| Very low SMA | 34.77 | 6.12–197.44 | <0.001 | |
| ** Model 2 | High SMA | 1 | ||
| Moderate SMA | 7.56 | 1.07–53.46 | 0.043 | |
| Low SMA | 8.25 | 1.10–61.91 | 0.040 | |
| Very low SMA | 30.59 | 2.42–387.31 | 0.008 |
Disclaimer/Publisher’s Note: The statements, opinions and data contained in all publications are solely those of the individual author(s) and contributor(s) and not of MDPI and/or the editor(s). MDPI and/or the editor(s) disclaim responsibility for any injury to people or property resulting from any ideas, methods, instructions or products referred to in the content. |
© 2024 by the authors. Licensee MDPI, Basel, Switzerland. This article is an open access article distributed under the terms and conditions of the Creative Commons Attribution (CC BY) license (https://creativecommons.org/licenses/by/4.0/).
Share and Cite
Park, H.; Han, S.; Hwang, Y.; Choi, W.; Hong, Y.A.; Chang, Y.-K. Skeletal Muscle Measurements Based on Abdominal Computerized Tomography (CT) Predict Risk of Osteoporosis in Incident Hemodialysis Patients. J. Clin. Med. 2024, 13, 7696. https://doi.org/10.3390/jcm13247696
Park H, Han S, Hwang Y, Choi W, Hong YA, Chang Y-K. Skeletal Muscle Measurements Based on Abdominal Computerized Tomography (CT) Predict Risk of Osteoporosis in Incident Hemodialysis Patients. Journal of Clinical Medicine. 2024; 13(24):7696. https://doi.org/10.3390/jcm13247696
Chicago/Turabian StylePark, Hwajin, Suyeon Han, Yunkyeong Hwang, Wonjung Choi, Yu Ah Hong, and Yoon-Kyung Chang. 2024. "Skeletal Muscle Measurements Based on Abdominal Computerized Tomography (CT) Predict Risk of Osteoporosis in Incident Hemodialysis Patients" Journal of Clinical Medicine 13, no. 24: 7696. https://doi.org/10.3390/jcm13247696
APA StylePark, H., Han, S., Hwang, Y., Choi, W., Hong, Y. A., & Chang, Y.-K. (2024). Skeletal Muscle Measurements Based on Abdominal Computerized Tomography (CT) Predict Risk of Osteoporosis in Incident Hemodialysis Patients. Journal of Clinical Medicine, 13(24), 7696. https://doi.org/10.3390/jcm13247696

