Transcutaneous Kilohertz High-Frequency Alternating Current at 10 kHz for Upper-Limb Tremor in People with Parkinson’s Disease: A Double-Blind, Randomized, Crossover Study
Abstract
1. Introduction
2. Materials and Methods
2.1. Study Design and Register
2.2. Participants and Eligibility Criteria
2.3. Intervention
2.4. Measures
2.4.1. Main Outcomes
2.4.2. Secondary Outcomes
2.5. Statistical Analysis
3. Results
3.1. Participants and Current Intensity
3.2. Main Outcomes
3.2.1. Resting Tremor
3.2.2. Postural Tremor
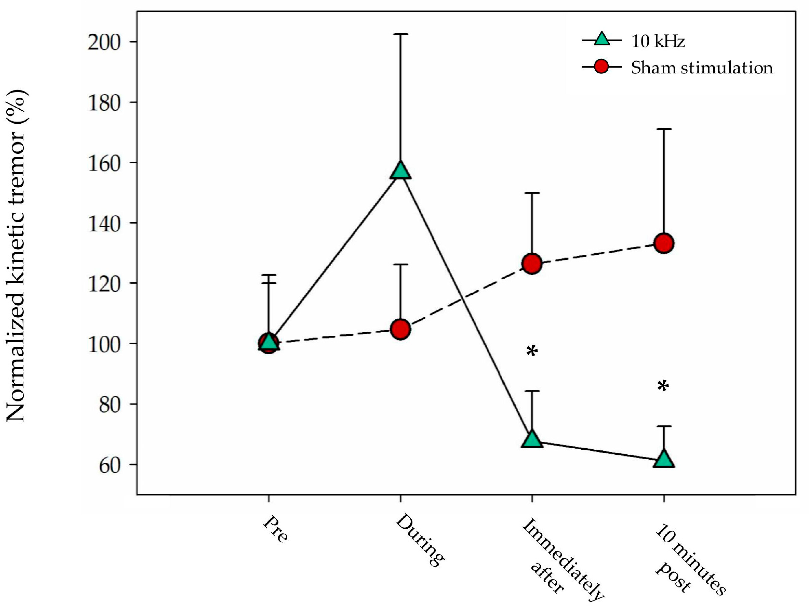
3.2.3. Kinetic Tremor
3.3. Secondary Outcomes
3.3.1. Maximum Isometric Handgrip Strength
3.3.2. Nine-Hole Peg Test—Onset and Total Time
3.3.3. Patient Global Impression of Improvement
3.3.4. Current-Induced Sensations and Skin Adverse Events
3.3.5. Blinding Success
4. Discussion
5. Conclusions
Supplementary Materials
Author Contributions
Funding
Institutional Review Board Statement
Informed Consent Statement
Data Availability Statement
Acknowledgments
Conflicts of Interest
References
- Sveinbjornsdottir, S. The Clinical Symptoms of Parkinson’s Disease. J. Neurochem. 2016, 139 (Suppl. 1), 318–324. [Google Scholar] [CrossRef] [PubMed]
- Postuma, R.B.; Berg, D.; Stern, M.; Poewe, W.; Olanow, C.W.; Oertel, W.; Obeso, J.; Marek, K.; Litvan, I.; Lang, A.E.; et al. MDS Clinical Diagnostic Criteria for Parkinson’s Disease. Mov. Disord. 2015, 30, 1591–1601. [Google Scholar] [CrossRef] [PubMed]
- Chen, W.; Hopfner, F.; Becktepe, J.S.; Deuschl, G. Rest Tremor Revisited: Parkinson’s Disease and Other Disorders. Transl. Neurodegener. 2017, 6, 16. [Google Scholar] [CrossRef] [PubMed]
- Gupta, D.K.; Marano, M.; Zweber, C.; Boyd, J.T.; Kuo, S.H. Prevalence and Relationship of Rest Tremor and Action Tremor in Parkinson’s Disease. Tremor Other Hyperkinet. Mov. 2020, 10, 58. [Google Scholar] [CrossRef]
- Politis, M.; Wu, K.; Molloy, S.; Bain, P.G.; Chaudhuri, K.R.; Piccini, P. Parkinson’s Disease Symptoms: The Patient’s Perspective. Mov. Disord. 2010, 25, 1646–1651. [Google Scholar] [CrossRef]
- Jerčić, K.G.; Blažeković, A.; Borovečki, S.; Borovečki, F. Non-Motor Symptoms of Parkinson’s Disease-Insights from Genetics. J. Neural Transm. 2024, 131, 1277–1284. [Google Scholar] [CrossRef]
- Alster, P.; Madetko-Alster, N. Significance of Dysautonomia in Parkinson’s Disease and Atypical Parkinsonisms. Neurol. Neurochir. Pol. 2024, 58, 147–149. [Google Scholar] [CrossRef]
- Pirker, W.; Katzenschlager, R.; Hallett, M.; Poewe, W. Pharmacological Treatment of Tremor in Parkinson’s Disease Revisited. J. Park. Dis. 2023, 13, 127–144. [Google Scholar] [CrossRef]
- Zach, H.; Dirkx, M.F.; Roth, D.; Pasman, J.W.; Bloem, B.R.; Helmich, R.C. Dopamine-Responsive and Dopamine-Resistant Resting Tremor in Parkinson Disease. Neurology 2020, 95, E1461–E1470. [Google Scholar] [CrossRef]
- Pérez-Sánchez, J.R.; Martínez-Álvarez, R.; Martínez Moreno, N.E.; Torres Diaz, C.; Rey, G.; Pareés, I.; Del Barrio A, A.; Álvarez-Linera, J.; Kurtis, M.M. Gamma Knife® Stereotactic Radiosurgery as a Treatment for Essential and Parkinsonian Tremor: Long-Term Experience. Neurologia 2023, 38, 188–196. [Google Scholar] [CrossRef]
- Lu, G.; Luo, L.; Liu, M.; Zheng, Z.; Zhang, B.; Chen, X.; Hua, X.; Fan, H.; Mo, G.; Duan, J.; et al. Outcomes and Adverse Effects of Deep Brain Stimulation on the Ventral Intermediate Nucleus in Patients with Essential Tremor. Neural Plast. 2020, 2020, 2486065. [Google Scholar] [CrossRef] [PubMed]
- Meng, L.; Jin, M.; Zhu, X.; Ming, D. Peripherical Electrical Stimulation for Parkinsonian Tremor: A Systematic Review. Front. Aging Neurosci. 2022, 14, 795454. [Google Scholar] [CrossRef] [PubMed]
- Pascual-Valdunciel, A.; Hoo, G.W.; Avrillon, S.; Barroso, F.O.; Goldman, J.G.; Hernandez-Pavon, J.C.; Pons, J.L. Peripheral Electrical Stimulation to Reduce Pathological Tremor: A Review. J. Neuroeng. Rehabil. 2021, 18, 33. [Google Scholar] [CrossRef] [PubMed]
- Avendaņo-Coy, J.; Serrano-Muņoz, D.; Taylor, J.; Goicoechea-García, C.; Gómez-Soriano, J. Peripheral Nerve Conduction Block by High-Frequency Alternating Currents: A Systematic Review. IEEE Trans. Neural Syst. Rehabil. Eng. 2018, 26, 1131–1140. [Google Scholar] [CrossRef]
- Neudorfer, C.; Chow, C.T.; Boutet, A.; Loh, A.; Germann, J.; Elias, G.J.; Hutchison, W.D.; Lozano, A.M. Kilohertz-Frequency Stimulation of the Nervous System: A Review of Underlying Mechanisms. Brain Stimul. 2021, 14, 513–530. [Google Scholar] [CrossRef]
- Álvarez, D.M.C.; Serrano-Muñoz, D.; Fernández-Pérez, J.J.; Gómez-Soriano, J.; Avendaño-Coy, J. Effect of Percutaneous Electric Stimulation with High-Frequency Alternating Currents on the Sensory-Motor System of Healthy Volunteers: A Double-Blind Randomized Controlled Study. J. Clin. Med. 2022, 11, 1832. [Google Scholar] [CrossRef]
- Serrano-Muñoz, D.; Avendaño-Coy, J.; Simón-Martínez, C.; Taylor, J.; Gómez-Soriano, J. Effect of High-Frequency Alternating Current Transcutaneous Stimulation over Muscle Strength: A Controlled Pilot Study. J. Neuroeng. Rehabil. 2018, 15, 103. [Google Scholar] [CrossRef]
- Kim, Y.; Cho, H.J.; Park, H.S. Technical Development of Transcutaneous Electrical Nerve Inhibition Using Medium-Frequency Alternating Current. J. Neuroeng. Rehabil. 2018, 15, 80. [Google Scholar] [CrossRef]
- Serrano-Muñoz, D.; Avendaño-Coy, J.; Simón-Martínez, C.; Taylor, J.; Gómez-Soriano, J. 20-KHz Alternating Current Stimulation: Effects on Motor and Somatosensory Thresholds. J. Neuroeng. Rehabil. 2020, 17, 22. [Google Scholar] [CrossRef]
- Knutson, J.S.; Chepla, K.J.; Wilson, R.D.; Fu, M.J.; Imka, E.C.; Bender, S.A.; Chae, J.; Kilgore, K.L.; Bhadra, N. First-In-Human Demonstration of High Frequency Electrical Motor Nerve Block: Case Report. Am. J. Phys. Med. Rehabil. 2024. Online ahead of print. [Google Scholar] [CrossRef]
- Dwan, K.; Li, T.; Altman, D.G.; Elbourne, D. CONSORT 2010 Statement: Extension to Randomised Crossover Trials. BMJ 2019, 366, l4378. [Google Scholar] [CrossRef] [PubMed]
- Association, W.M. World Medical Association Declaration of Helsinki: Ethical Principles for Medical Research Involving Human Subjects. JAMA 2013, 310, 2191–2194. [Google Scholar] [CrossRef]
- Bhatia, K.P.; Bain, P.; Bajaj, N.; Elble, R.J.; Hallett, M.; Louis, E.D.; Raethjen, J.; Stamelou, M.; Testa, C.M.; Deuschl, G. Consensus Statement on the Classification of Tremors. from the Task Force on Tremor of the International Parkinson and Movement Disorder Society. Mov. Disord. 2018, 33, 75–87. [Google Scholar] [CrossRef] [PubMed]
- Álvarez, D.M.C.; Serrano-Muñoz, D.; Fernández-Pérez, J.J.; Gómez-Soriano, J.; Avendaño-Coy, J. Effect of Percutaneous Electrical Stimulation with High-Frequency Alternating Currents at 30 KHz on the Sensory-Motor System. Front. Neurosci. 2023, 17, 1048986. [Google Scholar] [CrossRef] [PubMed]
- Jost, S.T.; Kaldenbach, M.A.; Antonini, A.; Martinez-Martin, P.; Timmermann, L.; Odin, P.; Katzenschlager, R.; Borgohain, R.; Fasano, A.; Stocchi, F.; et al. Levodopa Dose Equivalency in Parkinson’s Disease: Updated Systematic Review and Proposals. Mov. Disord. 2023, 38, 1236–1252. [Google Scholar] [CrossRef]
- Goetz, C.G.; Tilley, B.C.; Shaftman, S.R.; Stebbins, G.T.; Fahn, S.; Martinez-Martin, P.; Poewe, W.; Sampaio, C.; Stern, M.B.; Dodel, R.; et al. Movement Disorder Society-Sponsored Revision of the Unified Parkinson’s Disease Rating Scale (MDS-UPDRS): Scale Presentation and Clinimetric Testing Results. Mov. Disord. 2008, 23, 2129–2170. [Google Scholar] [CrossRef]
- Modestino, E.J.; Reinhofer, A.M.; Blum, K.; Amenechi, C.; O’Toole, P. Hoehn and Yahr Staging of Parkinson’s Disease in Relation to Neuropsychological Measures. Front. Biosci. Landmark Ed. 2018, 23, 1370–1379. [Google Scholar] [CrossRef]
- Adams, C.; Suescun, J.; Haque, A.; Block, K.; Chandra, S.; Ellmore, T.M.; Schiess, M.C. Updated Parkinson’s Disease Motor Subtypes Classification and Correlation to Cerebrospinal Homovanillic Acid and 5-Hydroxyindoleacetic Acid Levels. Clin. Park. Relat. Disord. 2023, 8, 100187. [Google Scholar] [CrossRef]
- Kwon, D.Y.; Kwon, Y.R.; Choi, Y.H.; Eom, G.M.; Ko, J.; Kim, J.W. Quantitative Measures of Postural Tremor at the Upper Limb Joints in Patients with Essential Tremor. Technol. Health Care 2020, 28, 499. [Google Scholar] [CrossRef]
- Bertram, C.P.; Lemay, M.; Stelmach, G.E. The Effect of Parkinson’s Disease on the Control of Multi-Segmental Coordination. Brain Cogn. 2005, 57, 16–20. [Google Scholar] [CrossRef]
- Earhart, G.M.; Cavanaugh, J.T.; Ellis, T.; Ford, M.P.; Foreman, K.B.; Dibble, L. The 9-Hole PEG Test of Upper Extremity Function: Average Values, Test-Retest Reliability, and Factors Contributing to Performance in People with Parkinson Disease. J. Neurol. Phys. Ther. 2011, 35, 157–163. [Google Scholar] [CrossRef] [PubMed]
- Proud, E.L.; Bilney, B.; Miller, K.J.; Morris, M.E.; McGinley, J.L. Measuring Hand Dexterity in People With Parkinson’s Disease: Reliability of Pegboard Tests. Am. J. Occup. Ther. 2019, 73, 7304205050p1–7304205050p8. [Google Scholar] [CrossRef] [PubMed]
- Fasano, A.; Mazzoni, A.; Falotico, E. Reaching and Grasping Movements in Parkinson’s Disease: A Review. J. Park. Dis. 2022, 12, 1083. [Google Scholar] [CrossRef] [PubMed]
- Savas, S.; Kilavuz, A.; Kayhan Koçak, F.Ö.; Cavdar, S. Comparison of Grip Strength Measurements by Widely Used Three Dynamometers in Outpatients Aged 60 Years and Over. J. Clin. Med. 2023, 12, 4260. [Google Scholar] [CrossRef]
- Villafañe, J.H.; Valdes, K.; Buraschi, R.; Martinelli, M.; Bissolotti, L.; Negrini, S. Reliability of the Handgrip Strength Test in Elderly Subjects With Parkinson Disease. Hand 2016, 11, 54. [Google Scholar] [CrossRef]
- Busner, J.; Targum, S.D. The Clinical Global Impressions Scale: Applying a Research Tool in Clinical Practice. Psychiatry 2007, 4, 28. [Google Scholar]
- James, K.E.; Block, D.A.; Lee, K.K.; Kraemer, H.C.; Fuller, R.K. An Index for Assessing Blindness in a Multi-Centre Clinical Trial: Disulfiram for Alcohol Cessation—A VA Cooperative Study. Stat. Med. 1996, 15, 1421–1434. [Google Scholar] [CrossRef]
- Xu, T.; Chen, K.; Li, G. The More Data, the Better? Demystifying Deletion-Based Methods in Linear Regression with Missing Data. Stat. Interface 2022, 15, 515–526. [Google Scholar] [CrossRef]
- Kang, H. The Prevention and Handling of the Missing Data. Korean J. Anesthesiol. 2013, 64, 402. [Google Scholar] [CrossRef]
- Lakens, D. Calculating and Reporting Effect Sizes to Facilitate Cumulative Science: A Practical Primer for t-Tests and ANOVAs. Front. Psychol. 2013, 4, 863. [Google Scholar] [CrossRef]
- Rosenthal, R.; Rubin, D.B. R Equivalent: A Simple Effect Size Indicator. Psychol. Methods 2003, 8, 492–496. [Google Scholar] [CrossRef] [PubMed]
- Bang, H.; Flaherty, S.P.; Kolahi, J.; Park, J. Blinding Assessment in Clinical Trials: A Review of Statistical Methods and a Proposal of Blinding Assessment Protocol. Clin. Res. Regul. Aff. 2010, 27, 42–51. [Google Scholar] [CrossRef]
- Jitkritsadakul, O.; Thanawattano, C.; Anan, C.; Bhidayasiri, R. Tremor’s Glove-an Innovative Electrical Muscle Stimulation Therapy for Intractable Tremor in Parkinson’s Disease: A Randomized Sham-Controlled Trial. J. Neurol. Sci. 2017, 381, 331–340. [Google Scholar] [CrossRef] [PubMed]
- Boom, M.; Preston, E.; Salmon, R.; Ada, L.; Flynn, A. Reliability of Hand-Held Dynamometry for Measuring Force Production in People with Parkinson’s Disease. Internet J. Allied Health Sci. Pract. 2023, 21, 3. [Google Scholar] [CrossRef]
- Hu, Z.; Xu, S.; Hao, M.; Xiao, Q.; Lan, N. The Impact of Evoked Cutaneous Afferents on Voluntary Reaching Movement in Patients with Parkinson’s Disease. J. Neural Eng. 2019, 16, 036029. [Google Scholar] [CrossRef]
- Arroyo, A.; Periáñez, J.A.; Ríos-Lago, M.; Lubrini, G.; Andreo, J.; Benito-León, J.; Louis, E.D.; Romero, J.P. Components Determining the Slowness of Information Processing in Parkinson’s Disease. Brain Behav. 2021, 11, e02031. [Google Scholar] [CrossRef]
- Johnson, M.I.; Paley, C.A.; Jones, G.; Mulvey, M.R.; Wittkopf, P.G. Efficacy and Safety of Transcutaneous Electrical Nerve Stimulation (TENS) for Acute and Chronic Pain in Adults: A Systematic Review and Meta-Analysis of 381 Studies (the Meta-TENS Study). BMJ Open 2022, 12, e051073. [Google Scholar] [CrossRef]
- Louis, E.D. The Primary Type of Tremor in Essential Tremor Is Kinetic Rather than Postural: Cross-Sectional Observation of Tremor Phenomenology in 369 Cases. Eur. J. Neurol. 2012, 20, 725. [Google Scholar] [CrossRef]
- Cosmo, C.; Baptista, A.F.; De Araújo, A.N.; Do Rosário, R.S.; Miranda, J.G.V.; Montoya, P.; De Sena, E.P. A Randomized, Double-Blind, Sham-Controlled Trial of Transcranial Direct Current Stimulation in Attention-Deficit/Hyperactivity Disorder. PLoS ONE 2015, 10, e0135371. [Google Scholar] [CrossRef]
- Megía-García, Á.; Serrano-Muñoz, D.; Taylor, J.; Avendaño-Coy, J.; Comino-Suárez, N.; Gómez-Soriano, J. Transcutaneous Spinal Cord Stimulation Enhances Quadriceps Motor Evoked Potential in Healthy Participants: A Double-Blind Randomized Controlled Study. J. Clin. Med. 2020, 9, 3275. [Google Scholar] [CrossRef]
- Leffa, D.T.; Grevet, E.H.; Dotto Bau, C.H.; Schneider, M.; Ferrazza, C.P.; da Silva, R.F.; Miranda, M.S.; Picon, F.; Pigatto, S.; Sanches, P.; et al. Transcranial Direct Current Stimulation vs Sham for the Treatment of Inattention in Adults With Attention-Deficit/Hyperactivity Disorder: The TUNED Randomized Clinical Trial. JAMA Psychiatry 2022, 79, 847–856. [Google Scholar] [CrossRef]


| Demographic Data (n = 16) | |
|---|---|
| Outcomes (Units) | Mean (SD) |
| Gender (female/male) | 10/6 |
| Age (years) | 68.9 (8.3) |
| BMI (kg/m2) | 26.9 (4.1) |
| Dominant hand (right/left) | 15/1 |
| Clinical data (n = 16) | |
| Time since PD onset (years) | 5.5 (4.6) |
| Hand with more tremor (right/left) | 7/9 |
| Levodopa equivalent dose (mg) | 751.8 (440.6) |
| MMSE | 28.7 (2.8) |
| H&Y stages (I/II/III) | 4/7/5 |
| MDS-UPDRS | |
| Part I—(fatigue) | 1.1 (1.0) |
| Part II | 14.8 (6.5) |
| Part III | 32.1 (7.8) |
| Predominant tremor | |
| Rest tremor n (%) | 14 (88) |
| Mixed tremor n (%) | 2 (12) |
| Predominant Motor subtype | |
| Akinetic-rigid n (%) | 9 (56) |
| Tremor-dominant n (%) | 5 (31) |
| Mixed n (%) | 2 (13) |
| Outcomes (Units) | 10 kHz | Sham | |||
|---|---|---|---|---|---|
| Time | Within-Intervention Change from Pre Mean (SD) [p-Value] | Within-Intervention Change from Pre Mean (SD) [p-Value] | Between-Intervention Change Mean (SD) [p-Value] | Effect Size [CI 95%] | |
| Rest tremor (%) | ∆ During | −32.9 (128.5) [0.45] c | −6.4 (88.7) [0.24] c | −26.5 (100.8) [0.59] c | −0.15 e |
| ∆ Post | 2.1 (77.5) [0.53] c | −23.1 (57.9) [0.16] c | 25.2 (97.0) [0.06] c | 0.54 e | |
| ∆ Post10 | −22.0 (74.2) [0.16] c | 174.3 (467.2) [0.37] c | −196.3 (530.8) [0.43] c | −0.23 e | |
| Postural tremor (%) | ∆ During | −33.0 (120.9) [0.42] c | −6.1 (107.8) [0.12] c | −26.9 (122.3) [0.97] c | −0.01 e |
| ∆ Post | −41.0 (133.8) [0.20] c | −37.0 (103.1) [0.046] c | −4.0 (109.3) [0.45] b | −0.04 [−0.6, 0.5] d | |
| ∆ Post10 | −56.5 (122.7) [0.01] c | −40.7 (92.1) [0.17] c | −15.8 (79.1) [0.24] b | −0.20 [−0.7, 0.4] d | |
| Kinetic tremor (%) | ∆ During | 56.7 (166.7) [0.15] c | 4.7 (67.1) [0.42] c | 52.1 (177.4) [0.51] c | 0.18 e |
| ∆ Post | −32.3 (63.3) [0.03] c | 26.4 (114.2) [0.35] c | −58.7 (123.0) [0.055] b | −0.48 [−1.0, 0.1] d | |
| ∆ Post10 | −38.9 (60.6) [0.03] c | 33.2 (133.8) [0.51] c | −72.1 (166.2) [0.22] c | −0.34 e | |
| Handgrip strength (%) | ∆ During | −5.1 (10.5) [0.42] a | 1.5 (6.8) [1.00] a | −6.6 (10.0) [0.01] b | −0.66 [−1.2, −0.1] d |
| ∆ Post | −1.8 (12.3) [1.00] a | 1.2 (6.6) [1.00] a | −3.1 (12.0) [0.16] b | −0.26 [−0.8, 0.2] d | |
| ∆ Post10 | 1.0 (9.4) [1.00] a | 2.4 (10.1) [1.00] a | −1.4 (13.7) [0.34] b | −0.10 [−0.6. 0.4] d | |
| NHPT onset time (%) | ∆ During | 7.9 (33.9) [1.00] a | 9.2 (21.4) [0.97] a | −1.3 (35.2) [0.45] b | −0.04 [−0.6, 0.5] d |
| ∆ Post | −12.4 (48.0) [1.00] a | −13.8 (30.7) [0.88] a | 1.5 (56.5) [0.47] b | 0.03 [−0.5, 0.6] d | |
| ∆ Post10 | −26.9 (28.3) [0.04] a | −14.6 (33.7) [0.97] a | −12.4 (36.2) [0.13] b | −0.34 [−0.9, 0.2] d | |
| NHPT total time (%) | ∆ During | 17.5 (34.6) [0.06] c | 8.2 (15.8) [0.12] c | 9.3 (42.6) [0.41] c | 0.22 e |
| ∆ Post | 4.6 (16.9) [0.10] c | −0.4 (22.6) [0.80] c | 5.0 (29.1) [0.27] b | 0.17 [−0.4, 0.7] d | |
| ∆ Post10 | −4.9 (12.5) [0.17] c | −1.1 (14.9) [0.73] c | −3.8 (20.7) [0.25] b | −0.18 [−0.7, 0.3] d |
| Outcomes | 10 kHz (n = 16) | Sham (n = 16) | p Value |
|---|---|---|---|
| Tingling n (%) | 16 (100) | 16 (100) | 1.00 a |
| Numbness n (%) | 4 (25.0) | 1 (6.3) | 0.33 a |
| Heaviness n (%) | 2 (12.5) | 1 (6.3) | 1.00 a |
| Pain n (%) | 2 (12.5) | 1 (6.3) | 1.00 a |
| Warmth n (%) | 2 (12.5) | 0 (0.0) | 0.48 a |
| Erythema n (%) | 4 (25.0) | 0 (0.0) | 0.10 a |
| Unpleasantness. VAS cm Mean (SD) | 1.7 (1.9) | 0.8 (0.9) | 0.03 b |
| Participants Blinding (n = 16) | ||||
|---|---|---|---|---|
| Methods | Index | p-Value | 95% CI | Conclusion |
| James’ BI | 0.38 | 0.03 | 0.28 to 0.48 | Unblinded |
| Bang’s BI-Active/2 × 5 | 0.81 | p < 0.001 | 0.73 to 0.92 | Unblinded |
| Bang’s BI-Placebo/2 × 5 | −0.40 | 0.98 | −0.73 to −0.08 | Opposite guess |
| Assessor blinding (n = 16) | ||||
| Methods | Index | p-Value | 95% CI | Conclusion |
| James’s BI | 0.21 | p < 0.001 | 0.09 to 0.34 | Unblinded |
| Bang’s BI-Active/2 × 5 | 0.53 | p < 0.001 | 0.42 to 0.64 | Unblinded |
| Bang’s BI-Placebo/2 × 5 | 0.62 | p < 0.001 | 0.41 to 0.84 | Unblinded |
Disclaimer/Publisher’s Note: The statements, opinions and data contained in all publications are solely those of the individual author(s) and contributor(s) and not of MDPI and/or the editor(s). MDPI and/or the editor(s) disclaim responsibility for any injury to people or property resulting from any ideas, methods, instructions or products referred to in the content. |
© 2024 by the authors. Licensee MDPI, Basel, Switzerland. This article is an open access article distributed under the terms and conditions of the Creative Commons Attribution (CC BY) license (https://creativecommons.org/licenses/by/4.0/).
Share and Cite
Fernández-Pérez, J.J.; Avendaño-Coy, J.; Serrano-Muñoz, D.; Oliveira Barroso, F.; Montero-Pardo, C.; López-Moreno, B.; Lerín-Calvo, A.; Romero Muñoz, J.P.; Gómez-Soriano, J. Transcutaneous Kilohertz High-Frequency Alternating Current at 10 kHz for Upper-Limb Tremor in People with Parkinson’s Disease: A Double-Blind, Randomized, Crossover Study. J. Clin. Med. 2024, 13, 7566. https://doi.org/10.3390/jcm13247566
Fernández-Pérez JJ, Avendaño-Coy J, Serrano-Muñoz D, Oliveira Barroso F, Montero-Pardo C, López-Moreno B, Lerín-Calvo A, Romero Muñoz JP, Gómez-Soriano J. Transcutaneous Kilohertz High-Frequency Alternating Current at 10 kHz for Upper-Limb Tremor in People with Parkinson’s Disease: A Double-Blind, Randomized, Crossover Study. Journal of Clinical Medicine. 2024; 13(24):7566. https://doi.org/10.3390/jcm13247566
Chicago/Turabian StyleFernández-Pérez, Juan J., Juan Avendaño-Coy, Diego Serrano-Muñoz, Filipe Oliveira Barroso, Cristina Montero-Pardo, Beatriz López-Moreno, Alfredo Lerín-Calvo, Juan P. Romero Muñoz, and Julio Gómez-Soriano. 2024. "Transcutaneous Kilohertz High-Frequency Alternating Current at 10 kHz for Upper-Limb Tremor in People with Parkinson’s Disease: A Double-Blind, Randomized, Crossover Study" Journal of Clinical Medicine 13, no. 24: 7566. https://doi.org/10.3390/jcm13247566
APA StyleFernández-Pérez, J. J., Avendaño-Coy, J., Serrano-Muñoz, D., Oliveira Barroso, F., Montero-Pardo, C., López-Moreno, B., Lerín-Calvo, A., Romero Muñoz, J. P., & Gómez-Soriano, J. (2024). Transcutaneous Kilohertz High-Frequency Alternating Current at 10 kHz for Upper-Limb Tremor in People with Parkinson’s Disease: A Double-Blind, Randomized, Crossover Study. Journal of Clinical Medicine, 13(24), 7566. https://doi.org/10.3390/jcm13247566

