Predictive Value of TyG and TyG-BMI Indices for Non-Alcoholic Fatty Liver Disease in High-Altitude Regions of China: A Cross-Sectional Study
Abstract
1. Introduction
2. Materials and Methods
2.1. Study Design
2.2. Data Collection
2.3. Diagnosis of NAFLD
2.4. Definitions of Exposures and Other Covariates
| Algorithm 1 Formula to Calculate Hepatic Indices: TyG, TyG-BMI, TyG-ALT and HSI | 
| TyG = Ln [TG (mg/dL) × FPG (mg/dL)/2]; TyG-BMI = TyG × BMI (kg/m2); TyG-ALT = Ln (TG × FPG)×ALT (IU/L); HSI = 8 × AST/ALT + BMI + 2 (if female) + 2 (if diabetes), with diabetes defined as an FPG > 7.0 mmol/L [22].  | 
2.5. Statistical Analysis
3. Results
3.1. Demographic Characteristics and Laboratory Results of Participants
3.2. Associations Between TyG, TyG-BMI, and NAFLD
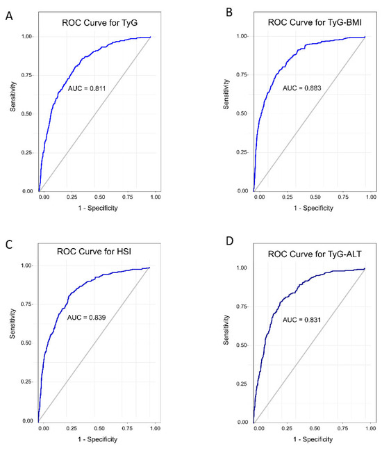
3.3. ROC Curve Analysis of Hepatic Indices in Assessing NAFLD
4. Discussion
5. Conclusions
Author Contributions
Funding
Institutional Review Board Statement
Informed Consent Statement
Data Availability Statement
Acknowledgments
Conflicts of Interest
References
- Younossi, Z.M.; Golabi, P.; Paik, J.M.; Henry, A.; Van Dongen, C.; Henry, L. The global epidemiology of nonalcoholic fatty liver disease (NAFLD) and nonalcoholic steatohepatitis (NASH): A systematic review. Hepatology 2023, 77, 1335–1347. [Google Scholar] [CrossRef]
 - Younossi, Z.M. Non-alcoholic fatty liver disease-A global public health perspective. J. Hepatol. 2019, 70, 531–544. [Google Scholar] [CrossRef] [PubMed]
 - Targher, G.; Corey, K.E.; Byrne, C.D.; Roden, M. The complex link between NAFLD and type 2 diabetes mellitus-mechanisms and treatments. Nat. Rev. Gastroenterol. Hepatol. 2021, 18, 599–612. [Google Scholar] [CrossRef] [PubMed]
 - Simental-Mendía, L.E.; Rodríguez-Morán, M.; Guerrero-Romero, F. The product of fasting glucose and triglycerides as surrogate for identifying insulin resistance in apparently healthy subjects. Metab. Syndr. Relat. Disord. 2008, 6, 299–304. [Google Scholar] [CrossRef] [PubMed]
 - Watt, M.J.; Miotto, P.M.; De Nardo, W.; Montgomery, M.K. The Liver as an Endocrine Organ-Linking NAFLD and Insulin Resistance. Endocr. Rev. 2019, 40, 1367–1393. [Google Scholar] [CrossRef]
 - Zhang, Y.; Wang, F.; Tang, J.; Shen, L.; He, J.; Chen, Y. Association of triglyceride glucose-related parameters with all-cause mortality and cardiovascular disease in NAFLD patients: NHANES 1999–2018. Cardiovasc. Diabetol. 2024, 23, 262. [Google Scholar] [CrossRef] [PubMed]
 - Rivière, B.; Jaussent, A.; Macioce, V.; Faure, S.; Builles, N.; Lefebvre, P.; Géraud, P.; Picot, M.-C.; Rebuffat, S.; Renard, E.; et al. The triglycerides and glucose (TyG) index: A new marker associated with nonalcoholic steatohepatitis (NASH) in obese patients. Diabetes Metab. 2022, 48, 101345. [Google Scholar] [CrossRef]
 - Kitae, A.; Hashimoto, Y.; Hamaguchi, M.; Obora, A.; Kojima, T.; Fukui, M. The Triglyceride and Glucose Index Is a Predictor of Incident Nonalcoholic Fatty Liver Disease: A Population-Based Cohort Study. Can. J. Gastroenterol. Hepatol. 2019, 2019, 5121574. [Google Scholar] [CrossRef]
 - Khamseh, M.E.; Malek, M.; Abbasi, R.; Taheri, H.; Lahouti, M.; Alaei-Shahmiri, F. Triglyceride Glucose Index and Related Parameters (Triglyceride Glucose-Body Mass Index and Triglyceride Glucose-Waist Circumference) Identify Nonalcoholic Fatty Liver and Liver Fibrosis in Individuals with Overweight/Obesity. Metab. Syndr. Relat. Disord. 2021, 19, 167–173. [Google Scholar] [CrossRef]
 - Sheng, G.; Lu, S.; Xie, Q.; Peng, N.; Kuang, M.; Zou, Y. The usefulness of obesity and lipid-related indices to predict the presence of Non-alcoholic fatty liver disease. Lipids Health Dis. 2021, 20, 134. [Google Scholar] [CrossRef]
 - Yu, R.; Xie, W.; Peng, H.; Lu, L.; Yin, S.; Xu, S.; Hu, Z.; Peng, X.-E. Diagnostic value of triglyceride-glucose index and related parameters in metabolism-associated fatty liver disease in a Chinese population: A cross-sectional study. BMJ Open 2023, 13, e075413. [Google Scholar] [CrossRef] [PubMed]
 - Song, K.; Lee, H.W.; Choi, H.S.; Park, G.; Lee, H.S.; Kim, S.J.; Lee, M.; Suh, J.; Kwon, A.; Kim, H.-S.; et al. Comparison of the Modified TyG Indices and Other Parameters to Predict Non-Alcoholic Fatty Liver Disease in Youth. Biology 2022, 11, 685. [Google Scholar] [CrossRef]
 - Richalet, J.P.; Hermand, E.; Lhuissier, F.J. Cardiovascular physiology and pathophysiology at high altitude. Nat. Rev. Cardiol. 2024, 21, 75–88. [Google Scholar] [CrossRef]
 - Song, K.; Zhang, Y.; Ga, Q.; Bai, Z.; Ge, R.L. High-altitude chronic hypoxia ameliorates obesity-induced non-alcoholic fatty liver disease in mice by regulating mitochondrial and AMPK signaling. Life Sci. 2020, 252, 117633. [Google Scholar] [CrossRef]
 - Lopez-Pascual, A.; Arévalo, J.; Martínez, J.A.; González-Muniesa, P. Inverse Association Between Metabolic Syndrome and Altitude: A Cross-Sectional Study in an Adult Population of Ecuador. Front. Endocrinol. 2018, 9, 658. [Google Scholar] [CrossRef]
 - Jianchuan County. Available online: https://www.tripchinaguide.com/attraction-p225-jianchuan-county.html (accessed on 1 January 2019).
 - Reinshagen, M.; Kabisch, S.; Pfeiffer, A.F.H.; Spranger, J. Liver Fat Scores for Noninvasive Diagnosis and Monitoring of Nonalcoholic Fatty Liver Disease in Epidemiological and Clinical Studies. J. Clin. Transl. Hepatol. 2023, 11, 1212–1227. [Google Scholar] [CrossRef] [PubMed]
 - Taheri, E.; Pourhoseingholi, M.A.; Moslem, A.; Hassani, A.H.; Mousavi Jarrahi, A.; Asadzadeh Aghdaei, H.; Zali, M.R.; Hatami, B. The triglyceride-glucose index as a clinical useful marker for metabolic associated fatty liver disease (MAFLD): A population-based study among Iranian adults. J. Diabetes Metab. Disord. 2022, 21, 97–107. [Google Scholar] [CrossRef] [PubMed]
 - Liao, Y.; Wang, L.; Liu, F.; Zhou, Y.; Lin, X.; Zhao, Z.; Xu, S.; Tang, D.; Jiao, Y.; Yang, L.; et al. Emerging trends and hotspots in metabolic dysfunction-associated fatty liver disease (MAFLD) research from 2012 to 2021: A bibliometric analysis. Front. Endocrinol. 2023, 14, 1078149. [Google Scholar] [CrossRef]
 - Petzold, G. Role of Ultrasound Methods for the Assessment of NAFLD. J. Clin. Med. 2022, 11, 4581. [Google Scholar] [CrossRef]
 - Libório, A.B.; de Oliveira Neves, F.M.; Torres de Melo, C.B.; Leite, T.T.; de Almeida Leitão, R. Quantitative Renal Echogenicity as a Tool for Diagnosis of Advanced Chronic Kidney Disease in Patients with Glomerulopathies and no Liver Disease. Kidney Blood Press. Res. 2017, 42, 708–716. [Google Scholar] [CrossRef]
 - American Diabetes Association Professional Practice Committee. 2. Classification and Diagnosis of Diabetes: Standards of Medical Care in Diabetes—2022. Diabetes Care 2021, 45 (Suppl. S1), S17–S38. [Google Scholar]
 - Kasper, P.; Martin, A.; Lang, S.; Demir, M.; Steffen, H.M. Hypertension in NAFLD: An uncontrolled burden. J. Hepatol. 2021, 74, 1258–1260. [Google Scholar] [CrossRef] [PubMed]
 - Arima, H.; Nakano, M.; Koirala, S.; Ito, H.; Pandey, B.D.; Pandey, K.; Wada, T.; Yamamoto, T. Unique hemoglobin dynamics in female Tibetan highlanders. Trop. Med. Health 2021, 49, 2. [Google Scholar] [CrossRef] [PubMed]
 - Tao, L.C.; Xu, J.N.; Wang, T.T.; Hua, F.; Li, J.J. Triglyceride-glucose index as a marker in cardiovascular diseases: Landscape and limitations. Cardiovasc. Diabetol. 2022, 21, 68. [Google Scholar] [CrossRef] [PubMed]
 - Alizargar, J.; Bai, C.H.; Hsieh, N.C.; Wu, S.V. Use of the triglyceride-glucose index (TyG) in cardiovascular disease patients. Cardiovasc. Diabetol. 2020, 19, 8. [Google Scholar] [CrossRef]
 - Zhang, Q.; Xiao, S.; Jiao, X.; Shen, Y. The triglyceride-glucose index is a predictor for cardiovascular and all-cause mortality in CVD patients with diabetes or pre-diabetes: Evidence from NHANES 2001–2018. Cardiovasc. Diabetol. 2023, 22, 279. [Google Scholar] [CrossRef]
 - Ma, X.; Zou, H.; Zhan, J.; Gao, J.; Xie, Y. Assessment of the clinical value of five noninvasive predictors of metabolic dysfunction-associated steatotic liver disease in Han Chinese adults. Eur. J. Gastroenterol. Hepatol. 2024, 36, 1209–1219. [Google Scholar] [CrossRef]
 - Priego-Parra, B.A.; Reyes-Diaz, S.A.; Ordaz-Alvarez, H.R.; Bernal-Reyes, R.; Icaza-Chávez, M.E.; Martínez-Vázquez, S.E.; Amieva-Balmori, M.; Vivanco-Cid, H.; Velasco, J.A.V.-R.; Gracia-Sancho, J.; et al. Diagnostic performance of sixteen biomarkers for MASLD: A study in a Mexican cohort. Clin. Res. Hepatol. Gastroenterol. 2024, 48, 102400. [Google Scholar] [CrossRef]
 - Wang, M.; Chang, M.; Shen, P.; Wei, W.; Li, H.; Shen, G. Application value of triglyceride-glucose index and triglyceride-glucose body mass index in evaluating the degree of hepatic steatosis in non-alcoholic fatty liver disease. Lipids Health Dis. 2023, 22, 186. [Google Scholar] [CrossRef]
 - Hirschler, V. Cardiometabolic risk factors in native populations living at high altitudes. Int. J. Clin. Pract. 2016, 70, 113–118. [Google Scholar] [CrossRef]
 - Dünnwald, T.; Gatterer, H.; Faulhaber, M.; Arvandi, M.; Schobersberger, W. Body Composition and Body Weight Changes at Different Altitude Levels: A Systematic Review and Meta-Analysis. Front. Physiol. 2019, 10, 430. [Google Scholar] [CrossRef] [PubMed]
 - Li, D.; Zhang, M.; Wu, S.; Tan, H.; Li, N. Risk factors and prediction model for nonalcoholic fatty liver disease in northwest China. Sci. Rep. 2022, 12, 13877. [Google Scholar] [CrossRef] [PubMed]
 - Wang, J.; Yan, S.; Cui, Y.; Chen, F.; Piao, M.; Cui, W. The Diagnostic and Prognostic Value of the Triglyceride-Glucose Index in Metabolic Dysfunction-Associated Fatty Liver Disease (MAFLD): A Systematic Review and Meta-Analysis. Nutrients 2022, 14, 4969. [Google Scholar] [CrossRef]
 - Song, S.; Son, D.H.; Baik, S.J.; Cho, W.J.; Lee, Y.J. Triglyceride Glucose-Waist Circumference (TyG-WC) Is a Reliable Marker to Predict Non-Alcoholic Fatty Liver Disease. Biomedicines 2022, 10, 2251. [Google Scholar] [CrossRef]
 - Hu, H.; Han, Y.; Cao, C.; He, Y. The triglyceride glucose-body mass index: A non-invasive index that identifies non-alcoholic fatty liver disease in the general Japanese population. J. Transl. Med. 2022, 20, 398. [Google Scholar] [CrossRef] [PubMed]
 - Godoy-Matos, A.F.; Silva Júnior, W.S.; Valerio, C.M. NAFLD as a continuum: From obesity to metabolic syndrome and diabetes. Diabetol. Metab. Syndr. 2020, 12, 60. [Google Scholar] [CrossRef]
 - Rinella, M.E.; Lazarus, J.V.; Ratziu, V.; Francque, S.M.; Sanyal, A.J.; Kanwal, F.; Romero, D.; Abdelmalek, M.F.; Anstee, Q.M.; Arab, J.P.; et al. A multisociety Delphi consensus statement on new fatty liver disease nomenclature. Hepatology 2023, 78, 1966–1986. [Google Scholar] [CrossRef]
 - Cariou, B.; Byrne, C.D.; Loomba, R.; Sanyal, A.J. Nonalcoholic fatty liver disease as a metabolic disease in humans: A literature review. Diabetes Obes. Metab. 2021, 23, 1069–1083. [Google Scholar] [CrossRef] [PubMed]
 - Francque, S.M.; van der Graaff, D.; Kwanten, W.J. Non-alcoholic fatty liver disease and cardiovascular risk: Pathophysiological mechanisms and implications. J. Hepatol. 2021, 74, 940–951. [Google Scholar] [CrossRef]
 - Lee, B.W.; Lee, Y.H.; Park, C.Y.; Rhee, E.J.; Lee, W.Y.; Kim, N.H.; Choi, K.M.; Park, K.G.; Choi, Y.K.; Cha, B.S.; et al. Non-Alcoholic Fatty Liver Disease in Patients with Type 2 Diabetes Mellitus: A Position Statement of the Fatty Liver Research Group of the Korean Diabetes Association. Diabetes Metab. J. 2020, 44, 382–401. [Google Scholar] [CrossRef]
 - Chen, Z.; Yu, Y.; Cai, J.; Li, H. Emerging Molecular Mechanisms of NAFLD in the Context of Metabolic Dysfunction. Nat. Rev. Gastroenterol. Hepatol. 2021, 18, 230–243. [Google Scholar]
 - Eslam, M.; Newsome, P.N.; Sarin, S.K.; Anstee, Q.M.; Targher, G.; Romero-Gomez, M.; Zelber-Sagi, S.; Wong, V.W.-S.; Dufour, J.-F.; Schattenberg, J.M.; et al. A new definition for metabolic dysfunction-associated fatty liver disease: An international expert consensus statement. J. Hepatol. 2020, 73, 202–209. [Google Scholar] [CrossRef] [PubMed]
 - Stefano, B.; Alessandro, M.; Christopher, D.B.; Amedeo, L.; Giovanni, T. Diagnostic accuracy of ultrasonography for the detection of hepatic steatosis: An updated meta-analysis of observational studies. Metab. Target Organ Damage 2021, 1, 7. [Google Scholar]
 - Chalasani, N.; Younossi, Z.; Lavine, J.E.; Charlton, M.; Cusi, K.; Rinella, M.; Harrison, S.A.; Brunt, E.M.; Sanyal, A.J. The diagnosis and management of nonalcoholic fatty liver disease: Practice guidance from the American Association for the Study of Liver Diseases. Hepatology 2018, 67, 328–357. [Google Scholar] [CrossRef] [PubMed]
 

| Overall (n = 1384)  | Non-NAFLD (n = 996)  | NAFLD (n = 388)  | p Value | |
|---|---|---|---|---|
| Female N (%) | 525 (37.9%) | 444 (44.6%) | 81 (20.9%) | <0.001 | 
| Age (yrs) | 42.4 ± 11.7 | 41.4 ± 12.0 | 44.8 ± 10.5 | <0.001 | 
| BMI (kg/m2) | 24.2 ± 3.3 | 23.1 ± 2.9 | 27.0 ± 2.8 | <0.001 | 
| SBP (mmHg) | 121 ± 15 | 119 ± 15 | 126 ± 14 | <0.001 | 
| DBP (mmHg) | 76 ± 11 | 74 ± 11 | 81 ± 11 | <0.001 | 
| Urea (mmol/L) | 5.47 ± 2.81 | 5.41 ± 2.83 | 5.61 ± 2.78 | 0.285 | 
| Creatinine (μmol/L) | 70.1 ± 20.8 | 68.6 ± 22.2 | 74.0 ± 15.9 | <0.001 | 
| Uric acid (mmol/L) | 347.9 ± 90.4 | 327.0 ± 83.9 | 401.5 ± 84.4 | <0.001 | 
| Total cholesterol (mmol/L) | 5.30 ± 1.07 | 5.16 ± 1.00 | 5.66 ± 1.16 | <0.001 | 
| Triglyceride (mmol/L) | 1.73 ± 1.59 | 1.41 ± 1.29 | 2.57 ± 1.95 | <0.001 | 
| LDL-c (mmol/L) | 3.14 ± 1.87 | 2.97 ± 1.46 | 3.58 ± 2.60 | <0.001 | 
| HDL-c (mmol/L) | 1.67 ± 0.35 | 1.69 ± 0.35 | 1.60 ± 0.34 | <0.001 | 
| Fasting glucose (mmol/L) | 5.16 ± 1.24 | 4.96 ± 0.81 | 5.69 ± 1.85 | <0.001 | 
| Albumin (g/L) | 49.6 ± 15.9 | 49.8 ± 18.6 | 49.1 ± 3.8 | 0.422 | 
| ALT (IU/L) | 28.1 ± 20.8 | 23.9 ± 15.0 | 38.7 ± 28.4 | <0.001 | 
| AST (IU/L) | 26.9 ± 15.8 | 25.6 ± 10.8 | 30.3 ± 23.9 | <0.001 | 
| TyG index | 8.63 ± 0.68 | 8.43 ± 0.58 | 9.14 ± 0.67 | <0.001 | 
| TyG-BMI | 209.77 ± 37.92 | 195.61 ± 30.42 | 246.13 ± 30.32 | <0.001 | 
| TyG Index | Case (%) | Model 1 | Model 2 | 
| Q1 | 14 (4.05) | 1.00 (ref) | 1.00 (ref) | 
| Q2 | 50 (14.45) | 4.01 (2.17–7.40) | 2.41 (1.24–4.68) | 
| Q3 | 106 (30.64) | 10.47 (5.86–18.74) | 4.57 (2.42–8.61) | 
| Q4 | 218 (63.01) | 40.39 (22.67–71.96) | 16.04 (8.51–30.25) | 
| TyG-BMI | Case (%) | Model 1 | Model 2 | 
| Q1 | 11 (3.18) | 1.00 (ref) | 1.00 (ref) | 
| Q2 | 38 (10.98) | 3.76 (1.89–7.48) | 3.26 (1.63–6.54) | 
| Q3 | 105 (30.35) | 13.27 (6.98–25.23) | 11.13 (5.79–21.40) | 
| Q4 | 234 (67.63) | 63.63 (33.50–120.84) | 48.55 (25.12–93.81) | 
| AUC | 95% CI | SE | Optimal Cutoff | Sensitivity | Specificity | Youden Index | |
|---|---|---|---|---|---|---|---|
| TyG | 0.811 | 0.787–0.836 | 0.013 | 8.63 | 0.806 | 0.675 | 0.481 | 
| TyG-BMI | 0.883 | 0.864–0.902 | 0.009 | 218.08 | 0.832 | 0.780 | 0.612 | 
| HSI | 0.839 | 0.817–0.863 | 0.011 | 33.96 | 0.814 | 0.629 | 0.443 | 
| TyG-ALT | 0.831 | 0.808–0.855 | 0.012 | 12.02 | 0.781 | 0.660 | 0.441 | 
Disclaimer/Publisher’s Note: The statements, opinions and data contained in all publications are solely those of the individual author(s) and contributor(s) and not of MDPI and/or the editor(s). MDPI and/or the editor(s) disclaim responsibility for any injury to people or property resulting from any ideas, methods, instructions or products referred to in the content.  | 
© 2024 by the authors. Licensee MDPI, Basel, Switzerland. This article is an open access article distributed under the terms and conditions of the Creative Commons Attribution (CC BY) license (https://creativecommons.org/licenses/by/4.0/).
Share and Cite
Wang, X.; Wang, Z.; Du, W.; Ma, X.; Ma, J.; Chen, Z.; Gao, C.; Chen, X. Predictive Value of TyG and TyG-BMI Indices for Non-Alcoholic Fatty Liver Disease in High-Altitude Regions of China: A Cross-Sectional Study. J. Clin. Med. 2024, 13, 7423. https://doi.org/10.3390/jcm13237423
Wang X, Wang Z, Du W, Ma X, Ma J, Chen Z, Gao C, Chen X. Predictive Value of TyG and TyG-BMI Indices for Non-Alcoholic Fatty Liver Disease in High-Altitude Regions of China: A Cross-Sectional Study. Journal of Clinical Medicine. 2024; 13(23):7423. https://doi.org/10.3390/jcm13237423
Chicago/Turabian StyleWang, Xuejie, Ziqiu Wang, Wen Du, Xiaobo Ma, Jun Ma, Zijin Chen, Chenni Gao, and Xiaonong Chen. 2024. "Predictive Value of TyG and TyG-BMI Indices for Non-Alcoholic Fatty Liver Disease in High-Altitude Regions of China: A Cross-Sectional Study" Journal of Clinical Medicine 13, no. 23: 7423. https://doi.org/10.3390/jcm13237423
APA StyleWang, X., Wang, Z., Du, W., Ma, X., Ma, J., Chen, Z., Gao, C., & Chen, X. (2024). Predictive Value of TyG and TyG-BMI Indices for Non-Alcoholic Fatty Liver Disease in High-Altitude Regions of China: A Cross-Sectional Study. Journal of Clinical Medicine, 13(23), 7423. https://doi.org/10.3390/jcm13237423
        