Incidence of Diabetic Retinopathy in Individuals with Type 2 Diabetes: A Study Using Real-World Data
Abstract
1. Introduction
2. Materials and Methods
2.1. Study Design, Setting and Population
2.2. Definition of Eligibility Criteria
2.3. Definition of Variables
2.4. Statistical Analysis
2.5. Institutional Review Board Statement
3. Results
3.1. Clinical Characteristics upon Inclusion
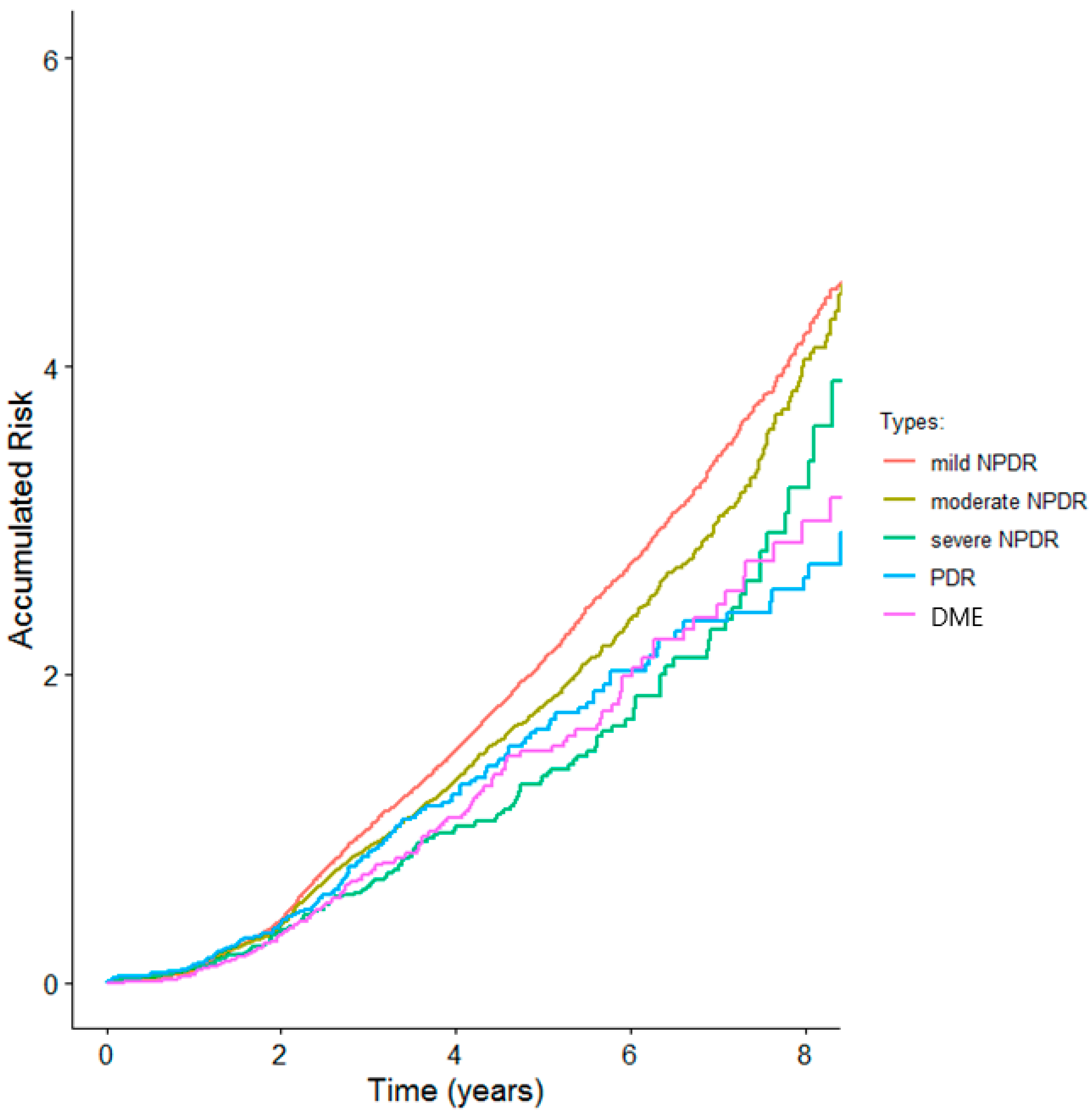
3.2. Incidence of Diabetic Retinopathy and Risk Factors
4. Discussion
5. Conclusions
Supplementary Materials
Author Contributions
Funding
Institutional Review Board Statement
Informed Consent Statement
Data Availability Statement
Conflicts of Interest
References
- Zimmet, P.; Alberti, K.G.; Magliano, D.J.; Bennett, P.H. Diabetes mellitus statistics on prevalence and mortality: Facts and fallacies. Nat. Rev. Endocrinol. 2016, 12, 616–622. [Google Scholar] [CrossRef] [PubMed]
- Cheung, N.; Mitchell, P.; Wong, T.Y. Diabetic retinopathy. Lancet 2010, 376, 124–136. [Google Scholar] [CrossRef]
- International Diabetes Federation. IDF Diabetes Atlas, 10th ed.; International Diabetes Federation: Brussels, Belgium, 2021. [Google Scholar]
- Jian, H.J.; Anand, A.; Lai, J.Y.; Huang, C.C.; Ma, D.H.; Lai, C.C.; Chang, H.T. Ultrahigh-Efficacy VEGF Neutralization Using Carbonized Nanodonuts: Implications for Intraocular Anti-Angiogenic Therapy. Adv. Healthc. Mater. 2024, 13, e2302881. [Google Scholar] [CrossRef] [PubMed]
- Lee, L.J.; Yu, A.P.; Cahill, K.E.; Oglesby, A.K.; Tang, J.; Qiu, Y.; Birnbaum, H.G. Direct and indirect costs among employees with diabetic retinopathy in the United States. Curr. Med. Res. Opin. 2008, 24, 1549–1559. [Google Scholar] [CrossRef] [PubMed]
- Simó, R.; Hernández, C. Neurodegeneration in the diabetic eye: New insights and therapeutic perspectives. Trends Endocrinol. Metab. 2014, 25, 23–33. [Google Scholar] [CrossRef]
- Solomon, S.D.; Chew, E.; Duh, E.J.; Sobrin, L.; Sun, J.K.; VanderBeek, B.L.; Wykoff, C.C.; Gardner, T.W. Diabetic Retinopathy: A Position Statement by the American Diabetes Association. Diabetes Care 2017, 40, 412–418. [Google Scholar] [CrossRef]
- Yau, J.W.Y.; Rogers, S.L.; Kawasaki, R.; Lamoureux, E.L.; Kowalski, J.W.; Bek, T.; Chen, S.J.; Dekker, J.M.; Fletcher, A.; Grauslund, J.; et al. Global prevalence and major risk factors of diabetic retinopathy. Diabetes Care 2012, 35, 556–564. [Google Scholar] [CrossRef]
- Assi, L.; Chamseddine, F.; Ibrahim, P.; Sabbagh, H.; Rosman, L.; Congdon, N.; Evans, J.; Ramke, J.; Kuper, H.; Burton, M.J.; et al. A Global Assessment of Eye Health and Quality of Life: A Systematic Review of Systematic Reviews. JAMA Ophthalmol. 2021, 139, 526–541. [Google Scholar] [CrossRef]
- Pearce, I.; Simó, R.; Lövestam-Adrian, M.; Wong, D.T.; Evans, M. Association between diabetic eye disease and other complications of diabetes: Implications for care. A systematic review. Diabetes Obes. Metab. 2019, 21, 467–478. [Google Scholar] [CrossRef]
- Cheung, N.; Jie, J.W.; Klein, R.; Couper, D.J.; Sharrett, A.R.; Wong, T.Y. Diabetic retinopathy and the risk of coronary heart disease: The Atherosclerosis Risk in Communities Study. Diabetes Care 2007, 30, 1742–1746. [Google Scholar] [CrossRef]
- Guo, V.Y.; Cao, B.; Wu, X.; Lee, J.J.W.; Zee, B.C.Y. Prospective Association between Diabetic Retinopathy and Cardiovascular Disease-A Systematic Review and Meta-analysis of Cohort Studies. J. Stroke Cerebrovasc. Dis. 2016, 25, 1688–1695. [Google Scholar] [CrossRef] [PubMed]
- Hu, K.; Jiang, M.; Zhou, Q.; Zeng, W.; Lan, X.; Gao, Q.; Mei, F.; Zhao, L.; Chen, F.; Wu, A.; et al. Association of Diabetic Retinopathy with Stroke: A Systematic Review and Meta-Analysis. Front. Neurol. 2021, 12, 626996. [Google Scholar] [CrossRef] [PubMed]
- Wong, K.; Peterson, C.; Theodore, R.; Aitken, K.; Cruz, M.D.; Majersik, J.; DeHavenon, A. Diabetic Retinopathy and Risk of Stroke: A Secondary Analysis of the ACCORD Eye Study. Stroke 2020, 51, 3733–3736. [Google Scholar] [CrossRef] [PubMed]
- Cheung, N.; Rogers, S.; Couper, D.J.; Klein, R.; Sharrett, A.R.; Wong, T.Y. Is diabetic retinopathy an independent risk factor for ischemic stroke? Stroke 2007, 38, 398–401. [Google Scholar] [CrossRef]
- Frith, E.; Loprinzi, P.D. Retinopathy and Mortality. Diabetes Spectr. 2018, 31, 184–188. [Google Scholar] [CrossRef]
- Xu, X.H.; Sun, B.; Zhong, S.; Wei, D.D.; Hong, Z.; Dong, A.Q. Diabetic retinopathy predicts cardiovascular mortality in diabetes: A meta-analysis. BMC Cardiovasc. Disord. 2020, 20, 478. [Google Scholar] [CrossRef]
- Barrot, J.; Real, J.; Vlacho, B.; Romero-Aroca, P.; Simó, R.; Mauricio, D.; Mata-Cases, M.; Castelblanco, E.; Mundet-Tuduri, X.; Franch-Nadal, J.; et al. Diabetic retinopathy as a predictor of cardiovascular morbidity and mortality in subjects with type 2 diabetes. Front. Med. 2022, 9, 945245. [Google Scholar] [CrossRef]
- Pelletier, E.M.; Shim, B.; Ben-Joseph, R.; Caro, J.J. Economic outcomes associated with microvascular complications of type 2 diabetes mellitus: Results from a US claims data analysis. Pharmacoeconomics 2009, 27, 479–490. [Google Scholar] [CrossRef]
- Heintz, E.; Wirehn, A.B.; Peebo, B.B.; Rosenqvist, U.; Levin, L.Å. Prevalence and healthcare costs of diabetic retinopathy: A population-based register study in Sweden. Diabetologia 2010, 53, 2147–2154. [Google Scholar] [CrossRef]
- Thomas, R.L.; Halim, S.; Gurudas, S.; Sivaprasad, S.; Owens, D.R. IDF Diabetes Atlas: A review of studies utilising retinal photography on the global prevalence of diabetes related retinopathy between 2015 and 2018. Diabetes Res. Clin. Pract. 2019, 157, 107840. [Google Scholar] [CrossRef]
- Rodriguez-Poncelas, A.; Miravet-Jiménez, S.; Casellas, A.; Barrot De, J.F.; Puente, L.; Franch-Nadal, J.; López-Simarro, F.; Mata-Cases, M.; Mundet-Tudurí, X. Prevalence of diabetic retinopathy in individuals with type 2 diabetes who had recorded diabetic retinopathy from retinal photographs in Catalonia (Spain). Br. J. Ophthalmol. 2015, 99, 1628–1633. [Google Scholar] [CrossRef] [PubMed]
- Romero-Aroca, P.; López-Galvez, M.; Martinez-Brocca, M.A.; Pareja-Ríos, A.; Artola, S.; Franch-Nadal, J.; Fernandez-Ballart, J.; Andonegui, J.; Baget-Bernaldiz, M. Changes in the Epidemiology of Diabetic Retinopathy in Spain: A Systematic Review and Meta-Analysis. Healthcare 2022, 10, 1318. [Google Scholar] [CrossRef] [PubMed]
- Romero-Aroca, P.; Fernández-Balart, J.; Baget-Bernaldiz, M.; Martinez-Salcedo, I.; Méndez-Marín, I.; Salvat-Serra, M.; Buil-Calvo, J.A. Changes in the diabetic retinopathy epidemiology after 14 years in a population of Type 1 and 2 diabetic patients after the new diabetes mellitus diagnosis criteria and a more strict control of the patients. J. Diabetes Complicat. 2009, 23, 229–238. [Google Scholar] [CrossRef] [PubMed]
- Sabanayagam, C.; Banu, R.; Chee, M.L.; Lee, R.; Wang, Y.X.; Tan, G.; Jonas, J.B.J.; Lamoureux, E.L.; Cheng, C.-Y.; Klein, B.E.K.; et al. Incidence and progression of diabetic retinopathy: A systematic review. Lancet Diabetes Endocrinol. 2019, 7, 140–149. [Google Scholar] [CrossRef]
- Li, J.Q.; Welchowski, T.; Schmid, M.; Letow, J.; Wolpers, C.; Pascual-Camps, I.; Holz, F.G. Prevalence, incidence and future projection of diabetic eye disease in Europe: A systematic review and meta-analysis. Eur. J. Epidemiol. 2020, 35, 11–23. [Google Scholar] [CrossRef]
- Mata-Cases, M.; Mauricio, D.; Real, J.; Bolíbar, B.; Franch-Nadal, J. Is diabetes mellitus correctly registered and classified in primary care? A population-based study in Catalonia, Spain. Endocrinol. Nutr. 2016, 63, 440–448. [Google Scholar] [CrossRef]
- Recalde, M.; Rodríguez, C.; Burn, E.; Far, M.; García, D.; Carrere-Molina, J.; Benítez, M.; Moleras, A.; Pistillo, A.; Bolíbar, B.; et al. Data Resource Profile: The Information System for Research in Primary Care (SIDIAP). Int. J. Epidemiol. 2022, 51, e324–e336. [Google Scholar] [CrossRef]
- Early Treatment Diabetic Retinopathy Study Research Group. Early Treatment Diabetic Retinopathy Study design and baseline patient characteristics. ETDRS report number 7. Ophthalmology 1991, 98 (Suppl. S5), 741–756. [Google Scholar] [CrossRef]
- Early Treatment Diabetic Retinopathy Study Research Group. Grading Diabetic Retinopathy from Stereoscopic Color Fundus Photographs—An Extension of the Modified Airlie House Classification: ETDRS Report Number 10. Ophthalmology 1991, 98, 786–806. [Google Scholar] [CrossRef]
- Wilkinson, C.P.; Ferris, F.L.; Klein, R.E.; Lee, P.P.; Agardh, C.D.; Davis, M.; Dills, D.; Kampik, A.; Pararajasegaram, R.; Verdaguer, J.T. Proposed international clinical diabetic retinopathy and diabetic macular edema disease severity scales. Ophthalmology 2003, 110, 1677–1682. [Google Scholar] [CrossRef]
- Romero-Aroca, P.; De La Riva-Fernandez, S.; Valls-Mateu, A.; Sagarra-Alamo, R.; Moreno-Ribas, A.; Soler, N. Changes observed in diabetic retinopathy: Eight-year follow-up of a Spanish population. Br. J. Ophthalmol. 2016, 100, 1366–1371. [Google Scholar] [CrossRef] [PubMed]
- Bastawrous, A.; Mathenge, W.; Wing, K.; Bastawrous, M.; Rono, H.; Weiss, H.A.; Macleod, D.; Foster, A.; Peto, T.; Blows, P.; et al. The incidence of diabetes mellitus and diabetic retinopathy in a population-based cohort study of people age 50 years and over in Nakuru, Kenya. BMC Endocr. Disord. 2017, 17, 19. [Google Scholar] [CrossRef] [PubMed]
- Raman, R.; Ganesan, S.; Pal, S.S.; Gella, L.; Kulothungan, V.; Sharma, T. Incidence and Progression of Diabetic Retinopathy in Urban India: Sankara Nethralaya-Diabetic Retinopathy Epidemiology and Molecular Genetics Study (SN-DREAMS II), Report 1. Ophthalmic Epidemiol. 2017, 24, 294–302. [Google Scholar] [CrossRef]
- Kristinsson, J.K.; Hauksdöttir, H.; Stefánsson, E.; Jónasson, F.; Gíslason, I. Active prevention in diabetic eye disease. A 4-year follow-up. Acta Ophthalmol. Scand. 1997, 75, 249–254. [Google Scholar] [CrossRef]
- Klein, R.; Klein, B.E.K.; Moss, S.E.; Cruickshanks, K.J. The Wisconsin Epidemiologic Study of Diabetic Retinopathy. XV. The long-term incidence of macular edema. Ophthalmology 1995, 102, 7–16. [Google Scholar] [CrossRef]
- Varma, R.; Bressler, N.M.; Doan, Q.V.; Gleeson, M.; Danese, M.; Bower, J.K.; Selvin, E.; Dolan, C.; Fine, J.; Colman, S.; et al. Prevalence of and risk factors for diabetic macular edema in the United States. JAMA Ophthalmol. 2014, 132, 1334–1340. [Google Scholar] [CrossRef]
- Chawla, S.; Trehan, S.; Chawla, A.; Jaggi, S.; Chawla, R.; Kumar, V.; Singh, D. Relationship between diabetic retinopathy microalbuminuria and other modifiable risk factors. Prim. Care Diabetes 2021, 15, 567–570. [Google Scholar] [CrossRef]
- Kaarniranta, K.; Valtanen, M.; Keinänen-Kiukaanniemi, S.; Tuomilehto, J.; Lindström, J.; Uusitupa, M. Long-term cumulative incidence of clinically diagnosed retinopathy in the Finnish Diabetes Prevention Study. J. Clin. Endocrinol. Metab. 2024, dgae287. [Google Scholar] [CrossRef]
- Lee, D.H.; Yi, H.C.; Bae, S.H.; Cho, J.H.; Choi, S.W.; Kim, H. Risk factors for retinal microvascular impairment in type 2 diabetic patients without diabetic retinopathy. PLoS ONE 2018, 13, e0202103. [Google Scholar] [CrossRef]
- Girach, A.; Manner, D.; Porta, M. Diabetic microvascular complications: Can patients at risk be identified? A review. Int. J. Clin. Pract. 2006, 60, 1471–1483. [Google Scholar] [CrossRef]
- Hong, J.; Surapaneni, A.; Daya, N.; Selvin, E.; Coresh, J.; Grams, M.E.; Ballew, S.H. Retinopathy and Risk of Kidney Disease in Persons with Diabetes. Kidney Med. 2021, 3, 808–815.e1. [Google Scholar] [CrossRef] [PubMed]
- Ahlqvist, E.; Prasad, R.B.; Groop, L. Subtypes of Type 2 Diabetes Determined from Clinical Parameters. Diabetes 2020, 69, 2086–2093. [Google Scholar] [CrossRef]


| Variables | All [N = 146,506] |
|---|---|
| Sociodemographic and toxic habits | |
| Age (years), mean (SD) | 65.4 (11.2) |
| Non-smoker | 75,770 (52.9%) |
| Current smoker, N (%) | 24,335 (17.0%) |
| Ex-smoker, N (%) | 43,020 (30.1%) |
| Clinical variables, mean (SD) | |
| Diabetes duration, mean (SD) | 5.7 (5.1) |
| BMI (kg/m2) | 30.5 (5.1) |
| SBP (mmHg) | 134 (15) |
| DBP (mmHg) | 77 (10) |
| Laboratory variables, mean (SD) | |
| HbA1c (%) | 7.2 (1.4) |
| Total cholesterol (mg/dL) | 192 (40) |
| HDL cholesterol (mg/dL) | 49 (13) |
| LDL cholesterol (mg/dL) | 113 (34) |
| Triglycerides (mg/dL) | 164 (117) |
| GFR (CKD-EPI; mL/min/1.73 m2) | 58.2 (5.7) |
| UACR | 30.0 (121) |
| Comorbidities, N (%) | |
| Dyslipidemia | 91,293 (62.3%) |
| Hypertension | 97,854 (66.8%) |
| Chronic kidney disease | 30,234 (23.1%) |
| Coronary heart disease | 13,319 (9.0%) |
| Stroke | 8712 (5.9%) |
| Peripherical artery disease | 5403 (3.6%) |
| Heart failure | 5668 (3.8%) |
| Concomitant treatment, N (%) | |
| Antihypertensive drugs | 107,409 (73.3%) |
| Antidiabetic drugs: | |
| No drugs | 24,341 (16.6%) |
| NIADs combination | 100,620 (68.7%) |
| INS mono therapy | 2881 (1.9%) |
| NIADs + INS | 18,664 (12.7%) |
| Group of Subjects | Patients (Number) | Person-Years | Follow-Up Time, Years (Median) | Events (Number) | Incidence Rate per 1000 Person-Years | Cumulative Incidence |
|---|---|---|---|---|---|---|
| Overall | 146,506 | 984,941.3 | 6.96 | 6881 | 6.99 | 4.69 |
| Mild NPDR | 146,506 | 993,030 | 7.03 | 4946 | 4.98 | 3.38 |
| Moderate NPDR | 146,506 | 1,008,568 | 7.10 | 1482 | 1.47 | 1.01 |
| Severe NPDR | 146,506 | 1,014,329 | 7.12 | 148 | 0.15 | 0.10 |
| PDR | 146,506 | 1,014,170 | 7.12 | 166 | 0.16 | 0.11 |
| DME | 146,506 | 1,014,384 | 7.12 | 139 | 0.13 | 0.09 |
| Group of Subjects | Patients (Number) | Person-Years | Follow-Up (Mean) | Events (Number) | Incidence Rate per 1000 Person-Years | Cumulative Incidence | Hazard Ratio (95% CI) |
|---|---|---|---|---|---|---|---|
| Female | 62,586 | 428,315.8 | 6.84 | 2821 | 6.59 | 4.51 | Ref. |
| Male | 83,920 | 556,625.5 | 6.63 | 4060 | 7.29 | 4.84 | 1.10 (1.04; 1.15) |
| Smoker | |||||||
| Non-smoker | 75,770 | 516,934.9 | 6.82 | 3526 | 6.82 | 4.65 | Ref. |
| Ex-smoker | 43,020 | 279,466.5 | 6.50 | 2063 | 7.38 | 4.80 | 1.06 (1.01; 1.12) |
| Current smoker | 24,335 | 162,656.9 | 6.68 | 1140 | 7.01 | 4.68 | 1.02 (0.95; 1.09) |
| Diabetes duration | |||||||
| 0–5 years | 79,526 | 539,958.9 | 6.79 | 25,608 | 4.83 | 3.28 | Ref. |
| 6–10 years | 45,445 | 309,337.6 | 6.81 | 2536 | 8.20 | 5.58 | 1.72 (1.63; 1.82) |
| >10 years | 21,535 | 135,644.6 | 6.30 | 1737 | 12.81 | 8.07 | 2.62 (2.46; 2.78) |
| HbA1c (%) | |||||||
| <7% | 70,255 | 461,234.5 | 6.57 | 2163 | 4.69 | 3.08 | Ref. |
| 7–8% | 33,825 | 223,610.0 | 6.61 | 1611 | 7.20 | 4.76 | 1.55 (1.45; 1.65) |
| 8.1–10% | 18,316 | 120,436.4 | 6.58 | 1397 | 11.60 | 7.63 | 2.51 (2.35; 2.68) |
| >10% | 6654 | 41,998.8 | 6.31 | 836 | 19.91 | 12.56 | 4.23 (3.90; 4.58) |
| Obesity | |||||||
| BMI ≤ 30 kg/m2 | 64,253 | 419,357.66 | 6.53 | 30.14 | 7.19 | 4.69 | Ref. |
| BMI > 30 kg/m2 | 60,669 | 402,438.0 | 6.63 | 2696 | 6.70 | 4.44 | 0.93 (0.89; 0.98) |
| Comorbidities | |||||||
| Non hypertension | 48,652 | 334,533.9 | 6.88 | 2306 | 6.89 | 4.74 | Ref. |
| Hypertension | 97,854 | 650,407.3 | 6.65 | 4575 | 7.03 | 4.68 | 1.01 (0.96; 1.06) |
| Non-macrovascular disease | 122,397 | 834,773.6 | 6.82 | 5601 | 6.71 | 4.58 | Ref. |
| Macrovascular disease | 24,109 | 150,167.6 | 6.25 | 1280 | 8.52 | 5.31 | 1.24 (1.17; 1.32) |
| Non-chronic kidney disease | 100,412 | 680,823.1 | 6.68 | 4370 | 6.51 | 4.35 | Ref. |
| Chronic kidney disease | 30,239 | 185,456.0 | 6.13 | 1659 | 8.95 | 5.49 | 1.35 (1.27; 1.42) |
Disclaimer/Publisher’s Note: The statements, opinions and data contained in all publications are solely those of the individual author(s) and contributor(s) and not of MDPI and/or the editor(s). MDPI and/or the editor(s) disclaim responsibility for any injury to people or property resulting from any ideas, methods, instructions or products referred to in the content. |
© 2024 by the authors. Licensee MDPI, Basel, Switzerland. This article is an open access article distributed under the terms and conditions of the Creative Commons Attribution (CC BY) license (https://creativecommons.org/licenses/by/4.0/).
Share and Cite
Hernández-Teixidó, C.; Barrot de la Puente, J.; Miravet Jiménez, S.; Fernández-Camins, B.; Mauricio, D.; Romero Aroca, P.; Vlacho, B.; Franch-Nadal, J. Incidence of Diabetic Retinopathy in Individuals with Type 2 Diabetes: A Study Using Real-World Data. J. Clin. Med. 2024, 13, 7083. https://doi.org/10.3390/jcm13237083
Hernández-Teixidó C, Barrot de la Puente J, Miravet Jiménez S, Fernández-Camins B, Mauricio D, Romero Aroca P, Vlacho B, Franch-Nadal J. Incidence of Diabetic Retinopathy in Individuals with Type 2 Diabetes: A Study Using Real-World Data. Journal of Clinical Medicine. 2024; 13(23):7083. https://doi.org/10.3390/jcm13237083
Chicago/Turabian StyleHernández-Teixidó, Carlos, Joan Barrot de la Puente, Sònia Miravet Jiménez, Berta Fernández-Camins, Didac Mauricio, Pedro Romero Aroca, Bogdan Vlacho, and Josep Franch-Nadal. 2024. "Incidence of Diabetic Retinopathy in Individuals with Type 2 Diabetes: A Study Using Real-World Data" Journal of Clinical Medicine 13, no. 23: 7083. https://doi.org/10.3390/jcm13237083
APA StyleHernández-Teixidó, C., Barrot de la Puente, J., Miravet Jiménez, S., Fernández-Camins, B., Mauricio, D., Romero Aroca, P., Vlacho, B., & Franch-Nadal, J. (2024). Incidence of Diabetic Retinopathy in Individuals with Type 2 Diabetes: A Study Using Real-World Data. Journal of Clinical Medicine, 13(23), 7083. https://doi.org/10.3390/jcm13237083

