Comparative Effect of Insulin Resistance Reduction and Hormonal Alterations on Type 2 Diabetes Remission After Bariatric Surgery
Abstract
1. Introduction
2. Materials and Methods
2.1. Subjects
2.2. Body Composition Analysis
2.3. Glucose Tolerance Test and Mixed Meal Tests
2.4. Insulin Sensitivity Analysis
2.5. Laboratory Assays
2.6. Statistical Analysis
3. Results
3.1. Baseline Parameters
3.2. Metabolic Changes After Surgery
3.3. Insulin Resistance Changes After Surgery
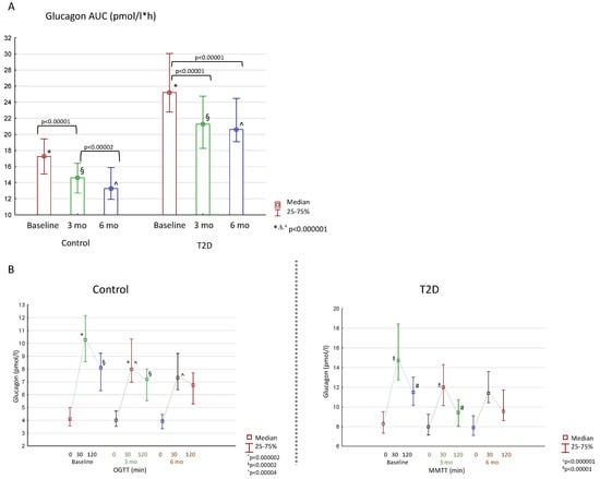
3.4. Hormonal Changes After Surgery
4. Discussion
5. Conclusions
Author Contributions
Funding
Institutional Review Board Statement
Informed Consent Statement
Data Availability Statement
Conflicts of Interest
References
- Davies, M.J.; Aroda, V.R.; Collins, B.S.; Gabbay, R.A.; Green, J.; Maruthur, N.M.; Rosas, S.E.; Del Prato, S.; Mathieu, C.; Mingrone, G.; et al. Management of hyperglycaemia in type 2 diabetes, 2022. A consensus report by the American Diabetes Association (ADA) and the European Association for the Study of Diabetes (EASD). Diabetologia 2022, 65, 1925–1966. [Google Scholar] [CrossRef] [PubMed] [PubMed Central]
- Sjöström, L.; Peltonen, M.; Jacobson, P.; Ahlin, S.; Andersson-Assarson, J.; Anveden, A.; Bouchard, C.; Carlsson, B.; Karason, K.; Lonroth, H.; et al. Association of bariatric surgery with long-term remission of type 2 diabetes and with microvascular and macrovascular complications. JAMA 2014, 311, 2297–2304. [Google Scholar] [CrossRef] [PubMed]
- Mingrone, G.; Panunzi, S.; De Gaetano, A.; Guidone, C.; Iaconelli, A.; Capristo, E.; Chamseddine, G.; Bornstein, S.R.; Rubino, F. Metabolic surgery versus conventional medical therapy in patients with type 2 diabetes: 10-year follow-up of an open-label, single-centre, randomised controlled trial. Lancet 2021, 397, 293–304. [Google Scholar] [CrossRef] [PubMed]
- Yashkov, Y.; Bordan, N.; Torres, A.; Malykhina, A.; Bekuzarov, D. SADI-S 250 vs Roux-en-Y Duodenal Switch (RY-DS): Results of 5-Year Observational Study. Obes Surg. 2021, 31, 570–579. [Google Scholar] [CrossRef] [PubMed]
- De Fronzo, R.A.; Tobin, J.D.; Andres, R. Glucose Clamp Technique: A Method for Quantifying Insulin Secretion and Resistance. Am. J. Physiol. Metab. 1979, 237, E214–E223. [Google Scholar] [CrossRef]
- Stafeev, I.; Michurina, S.; Agareva, M.; Zubkova, E.; Sklyanik, I.; Shestakova, E.; Gavrilova, A.; Sineokaya, M.; Ratner, E.; Menshikov, M.; et al. Visceral mesenchymal stem cells from type 2 diabetes donors activate triglycerides synthesis in healthy adipocytes via metabolites exchange and cytokines secretion. Int. J. Obes. 2023, 47, 732–742. [Google Scholar] [CrossRef] [PubMed]
- Færch, K.; Torekov, S.S.; Vistisen, D.; Johansen, N.B.; Witte, D.R.; Jonsson, A.; Pedersen, O.; Hansen, T.; Lauritzen, T.; Sandbæk, A.; et al. GLP-1 Response to Oral Glucose Is Reduced in Prediabetes, Screen-Detected Type 2 Diabetes, and Obesity and Influenced by Sex: The ADDITION-PRO Study. Diabetes 2015, 64, 2513–2525. [Google Scholar] [CrossRef] [PubMed]
- Nauck, M.A.; Meier, J.J. Incretin hormones: Their role in health and disease. Diabetes Obes. Metab. 2018, 20 (Suppl. S1), 5–21. [Google Scholar] [CrossRef] [PubMed]
- Riddle, M.C.; Cefalu, W.T.; Evans, P.H.; Gerstein, H.C.; Nauck, M.A.; Oh, W.K.; Rothberg, A.E.; le Roux, C.W.; Rubino, F.; Schauer, P.; et al. Consensus Report: Definition and Interpretation of Remission in Type 2 Diabetes. Diabetes Care 2021, 44, 2438–2444. [Google Scholar] [CrossRef] [PubMed] [PubMed Central]
- Færch, K.; Vistisen, D.; Pacini, G.; Torekov, S.S.; Johansen, N.B.; Witte, D.R.; Jonsson, A.; Pedersen, O.; Hansen, T.; Lauritzen, T.; et al. Insulin Resistance Is Accompanied by Increased Fasting Glucagon and Delayed Glucagon Suppression in Individuals with Normal and Impaired Glucose Regulation. Diabetes 2016, 65, 3473–3481. [Google Scholar] [CrossRef] [PubMed]
- Hædersdal, S.; Lund, A.; Knop, F.K.; Vilsbøll, T. The Role of Glucagon in the Pathophysiology and Treatment of Type 2 Diabetes. Mayo Clin. Proc. 2018, 93, 217–239. [Google Scholar] [CrossRef] [PubMed]
- Stahel, P.; Lee, S.J.; Sud, S.K.; Floh, A.; Dash, S. Intranasal glucagon acutely increases energy expenditure without inducing hyperglycaemia in overweight/obese adults. Diabetes Obes. Metab. 2019, 21, 1357–1364. [Google Scholar] [CrossRef] [PubMed]
- Scott, R.V.; Bloom, S.R. Problem or solution: The strange story of glucagon. Peptides 2018, 100, 36–41. [Google Scholar] [CrossRef] [PubMed]
- Samms, R.J.; Coghlan, M.P.; Sloop, K.W. How May GIP Enhance the Therapeutic Efficacy of GLP-1? Trends Endocrinol. Metab. 2020, 31, 410–421. [Google Scholar] [CrossRef] [PubMed]
- Irwin, N.; Gault, V.A.; O’Harte, F.P.M.; Flatt, P.R. Blockade of gastric inhibitory polypeptide (GIP) action as a novel means of countering insulin resistance in the treatment of obesity-diabetes. Peptides 2020, 125, 170203. [Google Scholar] [CrossRef] [PubMed]
- Killion, E.A.; Lu, S.C.; Fort, M.; Yamada, Y.; Veniant, M.M.; Lloyd, D.J. Glucose-Dependent Insulinotropic Polypeptide Receptor Therapies for the Treatment of Obesity, Do Agonists =Antagonists? Endocr. Rev. 2020, 41, bnz002. [Google Scholar] [CrossRef] [PubMed]
- Shestakova, E.A.; Il’in, A.V.; Shestakova, M.V.; Dedov, I.I. Glucose-dependent insulinotropic polypeptide—a new link in the development of obesity. Obes. Metab. 2015, 12, 16–19. (In Russian) [Google Scholar] [CrossRef][Green Version]
- Frías, J.P.; Davies, M.J.; Rosenstock, J.; Perez Manghi, F.C.; Lando, L.F.; Bergman, B.K.; Liu, B.; Cui, X.; Brown, K. SURPASS-2 Investigators. Tirzepatide versus Semaglutide Once Weekly in Patients with Type 2 Diabetes. N. Engl. J. Med. 2021, 385, 503–515. [Google Scholar] [CrossRef] [PubMed]
- Fatima, F.; Hjelmesæth, J.; Birkeland, K.I.; Gulseth, H.L.; Hertel, J.K.; Svanevik, M.; Sandbu, R.; Småstuen, M.C.; Hartmann, B.; Holst, J.J.; et al. Gastrointestinal Hormones and β-Cell Function After Gastric Bypass and Sleeve Gastrectomy: A Randomized Controlled Trial (Oseberg). J. Clin. Endocrinol. Metab. 2022, 107, e756–e766. [Google Scholar] [CrossRef] [PubMed]
- Miras, A.D.; Kamocka, A.; Pérez-Pevida, B.; Purkayastha, S.; Moorthy, K.; Patel, A.; Chahal, H.; Frost, G.; Bassett, P.; Castagnetto-Gissey, L.; et al. The Effect of Standard Versus Longer Intestinal Bypass on GLP-1 Regulation and Glucose Metabolism in Patients with Type 2 Diabetes Undergoing Roux-en-Y Gastric Bypass: The Long-Limb Study. Diabetes Care 2021, 44, 1082–1090. [Google Scholar] [CrossRef] [PubMed] [PubMed Central]





| Control (n = 44) | T2D (n = 42) | p (U-Test) | |
|---|---|---|---|
| Gender (m/f) n/% | 10/34 (23/77%) | 17/25 (40/60%) | 0.076 * |
| Age (years) | 45.5 [40.5; 49] | 48.5 [42; 54] | 0.019 |
| BMI (kg/m2) | 43.2 [40.3; 46.5] | 42.3 [39.1; 48.3] | 0.826 |
| Waist circumference (WC, cm) | 133 [128; 140] | 128 [121; 137] | 0.042 |
| Hips circumference (HC, cm) | 128.5 [118; 136] | 127 [115; 132] | 0.201 |
| WHR | 1.05 [0.99; 1.12] | 1.05 [0.99; 1.09] | 0.782 |
| HbA1c (%) | 5.5 [5.3; 5.8] | 8.0 [7.2; 8.7] | <0.0003 |
| Total cholesterol (mmol/L) | 5.4 [4.7; 5.8] | 5.3 [4.5; 6.1] | 0.839 |
| LDL (mmol/L) | 3.3 [2.9; 3.7] | 3.4 [2.9; 4.1] | 0.278 |
| HDL (mmol/L) | 1.1 [1.0; 1.5] | 1.1 [1.0; 1.3] | 0.397 |
| Triglycerides (mmol/L) | 1.4 [1.0; 2.0] | 2.6 [1.7; 3.4] | <0.0003 |
| Obesity history (years) | 18 [15; 25] | 20 [15; 27] | 0.120 |
| T2D history (years) | - | 9 [6; 12] | - |
| Baseline | 3 Months | 6 Months | p (Friedman ANOVA) | |
|---|---|---|---|---|
| Control group | ||||
| n = 44 | n = 44 | n = 44 | ||
| Waist circumference (WC, cm) | 133 [128; 140] | 122 [117.5; 130] | 115 [110; 120] | <0.00001 |
| Hips circumference (HC, cm) | 128.5 [118; 136] | 119.5 [109; 126] | 109 [100.5; 114] | <0.00001 |
| WHR | 1.05 [0.99; 1.12] | 1.04 [1.0; 1.09] | 1.07 [1.03; 1.11] | 0.002 |
| Total cholesterol (mmol/L) | 5.4 [4.7; 5.8] | 5.0 [4.3; 5.3] | 4.8 [4.3; 5.1] | <0.0002 |
| LDL (mmol/L) | 3.3 [2.9; 3.7] | 3.1 [2.6; 3.5] | 3.0 [2.5; 3.4] | <0.00001 |
| HDL (mmol/L) | 1.1 [1.0; 1.5] | 1.4 [1.2; 1.7] | 1.6 [1.3; 2.0] | <0.00001 |
| Triglycerides (mmol/L) | 1.4 [1.0; 2.0] | 1.2 [0.9; 1.8] | 1.1 [0.9; 1.7] | <0.00001 |
| T2D group | ||||
| n = 42 | n = 42 | n = 42 | ||
| Waist circumference (WC, cm) | 128 [121; 137] | 109.5 [105; 120] | 105 [101; 115] | <0.00001 |
| Hips circumference (HC, cm) | 127 [115; 132] | 116 [108; 128] | 113 [104; 123] | <0.00001 |
| WHR | 1.05 [0.99; 1.09] | 0.96 [0.93; 1.0] | 0.96 [0.92; 0.98] | <0.00002 |
| Total cholesterol (mmol/L) | 5.3 [4.5; 6.1] | 4.5 [3.7; 5.0] | 4.2 [3.7; 4.8] | <0.00001 |
| LDL (mmol/L) | 3.4 [2.9; 4.1] | 3.1 [2.7; 3.7] | 3.1 [2.6; 3.6] | <0.00001 |
| HDL (mmol/L) | 1.1 [1.0; 1.3] | 1.2 [1.0; 1.4] | 1.3 [1.2; 1.5] | <0.00001 |
| Triglycerides (mmol/L) | 2.6 [1.7; 3.4] | 2.0 [1.3; 2.4] | 1.8 [1.3; 2.2] | <0.00001 |
| Baseline | 3 Months | 6 Months | |
|---|---|---|---|
| Number of T2D patients taking antidiabetic drugs (% of total group) | |||
| Monotherapy | 11 (26.2%) | 17 (40.5%) | 9 (21.4%) |
| Dual therapy | 19 (45.2%) | 4 (9.5%) | 2 (4.8%) |
| incl. on insulin | 1 | 0 | 0 |
| Triple therapy | 12 (28.6%) | 0 | 0 |
| incl. on insulin | 5 | 0 | 0 |
| Classes of antidiabetic drugs (n.% of total group) | |||
| Metformin | 33 (78.6%) | 20 (47.6%) | 11 (26.2%) |
| DPP-4 inhibitors | 17 (40.5%) | 3 (7.1%) | 2 (4.8%) |
| SGLT-2 inhibitors | 13 (31%) | 2 (4.8%) | 0 |
| SUs | 16 (38.1%) | 0 | 0 |
| Basal insulin | 6 (14.3%) | 0 | 0 |
Disclaimer/Publisher’s Note: The statements, opinions and data contained in all publications are solely those of the individual author(s) and contributor(s) and not of MDPI and/or the editor(s). MDPI and/or the editor(s) disclaim responsibility for any injury to people or property resulting from any ideas, methods, instructions or products referred to in the content. |
© 2024 by the authors. Licensee MDPI, Basel, Switzerland. This article is an open access article distributed under the terms and conditions of the Creative Commons Attribution (CC BY) license (https://creativecommons.org/licenses/by/4.0/).
Share and Cite
Shestakova, E.; Stafeev, I.; Yashkov, Y.; Yurasov, A.; Tomilova, A.; Parfyonova, Y.; Shestakova, M.; Dedov, I. Comparative Effect of Insulin Resistance Reduction and Hormonal Alterations on Type 2 Diabetes Remission After Bariatric Surgery. J. Clin. Med. 2024, 13, 6998. https://doi.org/10.3390/jcm13226998
Shestakova E, Stafeev I, Yashkov Y, Yurasov A, Tomilova A, Parfyonova Y, Shestakova M, Dedov I. Comparative Effect of Insulin Resistance Reduction and Hormonal Alterations on Type 2 Diabetes Remission After Bariatric Surgery. Journal of Clinical Medicine. 2024; 13(22):6998. https://doi.org/10.3390/jcm13226998
Chicago/Turabian StyleShestakova, Ekaterina, Iurii Stafeev, Yury Yashkov, Anatoly Yurasov, Alina Tomilova, Yelena Parfyonova, Marina Shestakova, and Ivan Dedov. 2024. "Comparative Effect of Insulin Resistance Reduction and Hormonal Alterations on Type 2 Diabetes Remission After Bariatric Surgery" Journal of Clinical Medicine 13, no. 22: 6998. https://doi.org/10.3390/jcm13226998
APA StyleShestakova, E., Stafeev, I., Yashkov, Y., Yurasov, A., Tomilova, A., Parfyonova, Y., Shestakova, M., & Dedov, I. (2024). Comparative Effect of Insulin Resistance Reduction and Hormonal Alterations on Type 2 Diabetes Remission After Bariatric Surgery. Journal of Clinical Medicine, 13(22), 6998. https://doi.org/10.3390/jcm13226998

