Assessing the Efficacy and Safety of Extubation Protocols in the Intensive Care Unit Following Transoral Robotic Surgery for Obstructive Sleep Apnea Syndrome: A Retrospective Cohort Study
Abstract
1. Introduction
2. Materials and Methods
2.1. Study Design and Settings
2.2. Study Participants
2.3. Variables
2.4. Outcomes
2.5. Statistics
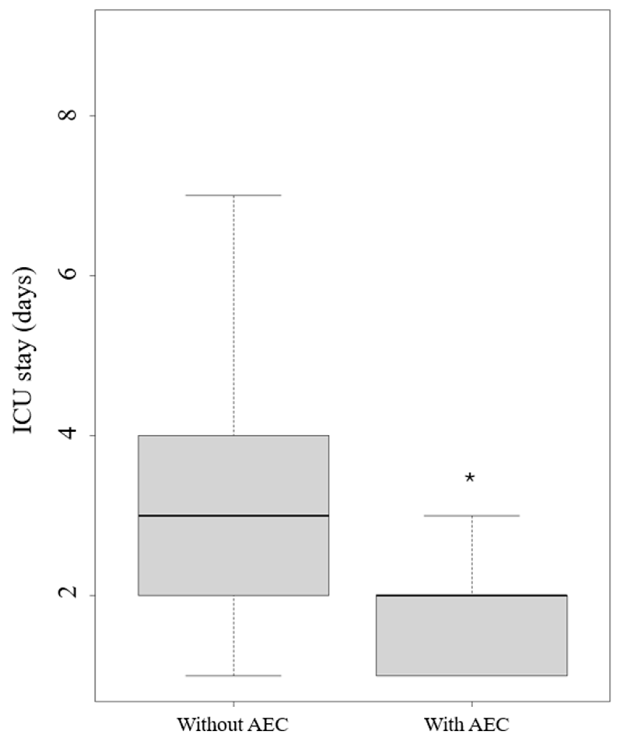
3. Results
Conventional vs. HFNC management
4. Discussion
Study Limitations
5. Conclusions
Author Contributions
Funding
Institutional Review Board Statement
Informed Consent Statement
Data Availability Statement
Conflicts of Interest
References
- Melani, A.S.; Croce, S.; Messina, M.; Bargagli, E. Untreated Obstructive Sleep Apnea in Interstitial Lung Disease and Impact on Interstitial Lung Disease Outcomes. Sleep Med. Clin. 2024, 19, 283–294. [Google Scholar] [CrossRef] [PubMed]
- Lui, K.K.; Dave, A.; Sprecher, K.E.; Chappel-Farley, M.G.; Riedner, B.A.; Heston, M.B.; Taylor, C.E.; Carlsson, C.M.; Okonkwo, O.C.; Asthana, S.; et al. Older adults at greater risk for Alzheimer’s disease show stronger associations between sleep apnea severity in REM sleep and verbal memory. Alzheimers Res. Ther. 2024, 16, 102. [Google Scholar] [CrossRef] [PubMed]
- Resende Martinez, A.B.; Barbosa, G.R.; Lopes, M.R.; Barbosa, R.H.A. Sleep apnea and sudden death in the non-cardiac population: A systematic review. Rev. Port. Cardiol. 2024, 43, 279–290. [Google Scholar] [CrossRef] [PubMed]
- Prechaporn, W.; Hantrakul, P.; Ngamjarus, C.; Sukeepaisarnjaroen, W.; Sawanyawisuth, K.; Khamsai, S. Pooled prevalences of obstructive sleep apnea and heart failure: A systematic review and meta-analysis. Heart Fail. Rev. 2024, 29, 811–826. [Google Scholar] [CrossRef]
- Stevens, D.; Title, M.; Spurr, K.; Morrison, D. Positive airway pressure therapy adherence and outcomes in obstructive sleep apnea: An exploratory longitudinal retrospective randomized chart review. Can. J. Respir. Ther. 2024, 60, 28–36. [Google Scholar] [CrossRef]
- Ogbu, I.; Hakobyan, B.; Sossou, C.; Levisman, J.; Obiagwu, C.; Danielian, A. Snoring Survivors: The impact of obstructive sleep apnoea and continuous positive airway pressure use on in-hospital mortality, length of stay and costs among patients hospitalised with acute cardiovascular disease—A retrospective analysis of 2016–2019 National Inpatient Sample Data. BMJ Open 2024, 14, e073991. [Google Scholar] [CrossRef]
- Cavaliere, M.; De Luca, P.; De Santis, C.; Scarpa, A.; Ralli, M.; Di Stadio, A.; Viola, P.; Chiarella, G.; Cassandro, C.; Cassandro, F. Drug-Induced Sleep Endoscopy (DISE) with Simulation Bite to Predict the Success of Oral Appliance Therapy in Treating Obstructive Sleep Apnea/Hypopnea Syndrome (OSAHS). Transl. Med. UniSa 2020, 23, 58–62. [Google Scholar] [CrossRef]
- Kaffenberger, T.M.; Plawecki, A.; Kaki, P.; Boon, M.; Huntley, C. Troubleshooting Upper Airway Stimulation Therapy Using Drug-Induced Sleep Endoscopy. Otolaryngol. Head Neck Surg. 2024, 171, 588–595. [Google Scholar] [CrossRef]
- Lechien, J.R.; Chiesa-Estomba, C.M.; Fakhry, N.; Saussez, S.; Badr, I.; Ayad, T.; Chekkoury-Idrissi, Y.; Melkane, A.E.; Bahgat, A.; Crevier-Buchman, L.; et al. Surgical, clinical, and functional outcomes of transoral robotic surgery used in sleep surgery for obstructive sleep apnea syndrome: A systematic review and meta-analysis. Head Neck 2021, 43, 2216–2239. [Google Scholar] [CrossRef]
- Parotto, M.; Cooper, R.M.; Behringer, E.C. Extubation of the Challenging or Difficult Airway. Curr. Anesthesiol. Rep. 2020, 10, 334–340. [Google Scholar] [CrossRef]
- Russotto, V.; Lascarrou, J.B.; Tassistro, E.; Parotto, M.; Antolini, L.; Bauer, P.; Szułdrzyński, K.; Camporota, L.; Putensen, C.; Pelosi, P.; et al. Efficacy and adverse events profile of videolaryngoscopy in critically ill patients: Subanalysis of the INTUBE study. Br. J. Anaesth. 2023, 131, 607–616. [Google Scholar] [CrossRef] [PubMed]
- Vaithialingam, B.; Arun, B.G. High-flow Tracheal Oxygenation with Airway Exchange Catheter: A Novel Approach. Indian J. Crit. Care Med. 2023, 27, 456. [Google Scholar] [CrossRef] [PubMed]
- Rochwerg, B.; Einav, S.; Chaudhuri, D.; Mancebo, J.; Mauri, T.; Helviz, Y.; Goligher, E.C.; Jaber, S.; Ricard, J.D.; Rittayamai, N.; et al. The role for high flow nasal cannula as a respiratory support strategy in adults: A clinical practice guideline. Intensive Care Med. 2020, 46, 2226–2237. [Google Scholar] [CrossRef] [PubMed]
- Du, F.; Gu, Y.H.; He, Y.C.; Deng, W.F.; Liu, Z.Z. High-flow nasal cannula therapy for pediatric obstructive sleep apnea: A systematic review and meta-analysis. Eur. Rev. Med. Pharmacol. Sci. 2022, 26, 4583–4591. [Google Scholar] [CrossRef]
- Recchia, A.; Cascella, M. Assessing the efficacy and safety of extubation protocols in the Intensive Care Unit following transoral robotic surgery for obstructive sleep apnea syndrome: A single center observational pilot study. Zenodo 2024. [Google Scholar] [CrossRef]
- Kapur, V.K.; Auckley, D.H.; Chowdhuri, S.; Kuhlmann, D.C.; Mehra, R.; Ramar, K.; Harrod, C.G. Clinical Practice Guideline for Diagnostic Testing for Adult Obstructive Sleep Apnea: An American Academy of Sleep Medicine Clinical Practice Guideline. J. Clin. Sleep Med. 2017, 13, 479–504. [Google Scholar] [CrossRef]
- Stekhoven, D.J.; Bühlmann, P. MissForest--non-parametric missing value imputation for mixed-type data. Bioinformatics 2012, 28, 112–118. [Google Scholar] [CrossRef]
- Chi, J.J.; Mandel, J.E.; Weinstein, G.S.; O’Malley, B.W., Jr. Anesthetic considerations for transoral robotic surgery. Anesthesiol. Clin. 2010, 28, 411–422. [Google Scholar] [CrossRef]
- Jeyarajah, J.; Ahmad, I.; Jacovou, E. Anaesthesia and Perioperative Care for Transoral Robotic Surgery. ORL J. Otorhinolaryngol. Relat. Spec. 2018, 80, 125–133. [Google Scholar] [CrossRef] [PubMed]
- Mandloi, S.; Garg, N.; Naimi, B.; Shah, R.; Kaki, P.; Alnemri, A.; Duffy, A.; Zhan, T.; Kaffenberger, T.M.; Boon, M.S.; et al. Transoral Robotic Surgery Versus Hypoglossal Nerve Stimulation for OSA: A Cost Analysis Study. Laryngoscope 2024. [Google Scholar] [CrossRef] [PubMed]
- Calvo-Henriquez, C.; Boronat-Catala, B.; Rivero-Fernández, I.; Cammaroto, G.; Ibrahim, B.; Lechien, J.R.; Martínez-Capoccioni, G.; Carrasco-Llatas, M.; Capasso, R.; Martin-Martin, C. Safety of tongue base procedures for sleep apnoea in adults: A systematic review and metanalysis from the YO-IFOS study group. Acta Otorrinolaringol. Esp. (Engl. Ed.) 2022, 73, 384–393. [Google Scholar] [CrossRef] [PubMed]
- Baptista, P.M.; Diaz Zufiaurre, N.; Garaycochea, O.; Alcalde Navarrete, J.M.; Moffa, A.; Giorgi, L.; Casale, M.; O’Connor-Reina, C.; Plaza, G. TORS as Part of Multilevel Surgery in OSA: The Importance of Careful Patient Selection and Outcomes. J. Clin. Med. 2022, 11, 990. [Google Scholar] [CrossRef] [PubMed]
- Toppenberg, A.G.L.; Nijboer, T.S.; van der Laan, W.G.W.J.; Wedman, J.; Schwandt, L.Q.; Plaat, R.E.; Witjes, M.J.H.; Wegner, I.; Halmos, G.B. Predictors for Success and Failure in Transoral Robotic Surgery-A Retrospective Study in the North of the Netherlands. Cancers 2024, 16, 1458. [Google Scholar] [CrossRef] [PubMed]
- Tan, D.; Walline, J.H.; Ling, B.; Xu, Y.; Sun, J.; Wang, B.; Shan, X.; Wang, Y.; Cao, P.; Zhu, Q.; et al. High-flow nasal cannula oxygen therapy versus non-invasive ventilation for chronic obstructive pulmonary disease patients after extubation: A multicenter, randomized controlled trial. Crit. Care 2020, 24, 489. [Google Scholar] [CrossRef]
- Thakore, S.; Kundra, P.; Garg, R. A descriptive survey of tracheal extubation practices among Indian anaesthesiologists. Indian J. Anaesth. 2021, 65, 210–215. [Google Scholar] [CrossRef]
- Seet, E.; Waseem, R.; Chan, M.T.V.; Wang, C.Y.; Liao, V.; Suen, C.; Chung, F. Characteristics of Patients with Unrecognized Sleep Apnea Requiring Postoperative Oxygen Therapy. J. Pers. Med. 2022, 12, 1543. [Google Scholar] [CrossRef]






| Overall (n = 67) | |
|---|---|
| AGE | |
| Mean (SD) | 54.57 (11.58) |
| Median (Q1, Q3) | 56 (48.5, 63) |
| Min–Max | 25–74 |
| GENDER | |
| F | 13 (19.4%) |
| M | 54 (80.6%) |
| BMI | |
| Mean (SD) | 28.27 (3.42) |
| Median (Q1, Q3) | 28.1 (25.8, 30.1) |
| Min–Max | 22–42.5 |
| ASA | |
| 1 | 3 (4.5%) |
| 2 | 42 (62.7%) |
| 3 | 22 (32.8%) |
| AHI | |
| Mean (SD) | 26.07 (9.4) |
| Median (Q1, Q3) | 25.5 (21.68, 32.05) |
| Min–Max | 5.5–47.1 |
| Missing | 3 |
| Preop. SpO2 | |
| Mean (SD) | 82.75 (8.18) |
| Median (Q1, Q3) | 83.5 (77, 88.25) |
| Min–Max | 61–96 |
| Missing | 3 |
| COMORBIDITY | |
| Diabetes | 9 (13.4%) |
| Hypertension | 25 (37.3%) |
| Cardiac diseases | 11 (16.4%) |
| Tobacco smoking | 15 (22.4%) |
| Preop. CPAP | 20 (29.9%) |
| Severe OSA | |
| 0 | 21 (31.3%) |
| 1 | 46 (68.7%) |
| Severe OSA + soft palate and tongue base prolapse | |
| 0 | 49 (73.1%) |
| 1 | 18 (26.9%) |
| Severe OSA + soft palate prolapse | |
| 0 | 54 (80.6%) |
| 1 | 13 (19.4%) |
| TORS for tongue base resection | |
| 1 | 67 (100.0%) |
| Anterolateral pharyngoplasty | |
| 0 | 13 (19.4%) |
| 1 | 54 (80.6%) |
| Tonsillectomy | |
| 0 | 41 (61.2%) |
| 1 | 26 (38.8%) |
| Anterior pharyngoplasty | |
| 0 | 55 (82.1%) |
| 1 | 12 (17.9%) |
| Barbed reposition pharyngoplasty | |
| 0 | 62 (92.5%) |
| 1 | 5 (7.5%) |
| VARIABLE | |
|---|---|
| TORS DURATION (min) | |
| Mean (SD) | 140.60 (38.36) |
| Median (Q1, Q3) | 140 (120, 160) |
| Min–Max | 60–275 |
| EXTUBATION TIME (h) | |
| Mean (SD) | 28.30 (15.11) |
| Median (Q1, Q3) | 22 (20, 25) |
| Min–Max | 0.00–72 |
| AEC Use | 24 (35.8%) |
| HFNC | 21 (31.3%) |
| CONVENTIONAL | 40 (59.7%) |
| ICU STAY (days) | |
| Mean (SD) | 2.73 (1.77) |
| Median (Q1, Q3) | 2 (1, 3) |
| Min–Max | 1–9 |
| HOSPITAL STAY (days) | |
| Mean (SD) | 6.99 (3.02) |
| Median (Q1, Q3) | 7 (5, 8) |
| Min–Max | 3–22 |
| SpO2 < 95 (episodes) | |
| 0 | 45 (68.2%) |
| 1 | 7 (10.6%) |
| 2 | 5 (7.6%) |
| 3 | 4 (6.1%) |
| 4 | 2 (3%) |
| 6 | 2 (3%) |
| 7 | 1 (1.5%) |
| Missing | 1 |
| SpO2 < 92 (episodes) | |
| 0 | 57 (87.7%) |
| 1 | 5 (7.7%) |
| 2 | 2 (3.1%) |
| 4 | 1 (1.5%) |
| Missing | 2 |
| SpO2 < 95 continuous | |
| Mean (SD) | 0.85 (1.61) |
| Median (Q1, Q3) | 0.00 (0.00, 1) |
| Min–Max | 0.00–7 |
| Missing | 1 |
| SpO2 < 92 continuous | |
| Mean (SD) | 0.20 (0.64) |
| Median (Q1, Q3) | 0.00 (0.00, 0.00) |
| Min–Max | 0.00–4 |
| Missing | 2 |
| Conventional | HFNC | p | |
|---|---|---|---|
| n | 46 | 21 | |
| AGE (mean ± SD) | 55.3 (11.78) | 52.95 (11.26) | 0.445 |
| GENDER (M; %) | 37 (80.4) | 17 (81) | 1.000 |
| BMI (mean ± SD) | 28.61 (3.59) | 27.53 (2.97) | 0.236 |
| ASA (n/%) | 0.276 | ||
| 1 | 1 (2.2) | 2 (9.5) | |
| 2 | 28 (60.9) | 14 (66.7) | |
| 3 | 17 (37) | 5 (23.8) | |
| AHI (mean ± SD) | 25.66 (8.76) | 26.99 (10.87) | 0.603 |
| Preop. SpO2 (mean ± SD) | 83.32 (7.96) | 81.50 (8.73) | 0.414 |
| Preop. CPAP (n/%) | 13 (28.3) | 7 (33.3) | 0.894 |
| Severe OSA | 34 (73.9) | 12 (57.1) | 0.276 |
| Severe OSA + soft palate and tongue base prolapse | 13 (28.3) | 5 (23.8) | 0.933 |
| Severe OSA + soft palate prolapse | 5 (10.9) | 8 (38.1) | 0.023 |
| TORS for tongue base resection | 46 (100) | 21 (100) | NA |
| Anterolateral pharyngoplasty | 36 (78.3) | 18 (85.7) | 0.702 |
| Tonsillectomy | 22 (47.8) | 4 (19) | 0.049 |
| Anterior pharyngoplasty | 9 (19.6) | 3 (14.3) | 0.858 |
| Barbed reposition pharyngoplasty | 1 (2.2) | 4 (19) | 0.053 |
| TORS DURATION (min) (mean ± SD) | 136.3 (32.33) | 150 (48.68) | 0.177 |
| EXTUBATION TIME (h) (mean ± SD) | 31.09(17.24) | 22.19 (5.31) | 0.024 |
| AEC (n/%) | 6 (13) | 18 (85.7) | <0.001 |
| ICU STAY (days) (mean ± SD) | 2.89 (1.78) | 2.38 (1.75) | 0.277 |
| HOSPITAL STAY (days) (mean ± SD) | 7.02 (3.15) | 6.9 (2.77) | 0.884 |
| HYPERTENSION (n/%) | 21 (45.7) | 4 (19) | 0.069 |
| DIABETES (n/%) | 7 (15.2) | 2 (9.5) | 0.804 |
| CARDIAC DISEASE (n/%) | 6 (13) | 5 (23.8) | 0.454 |
| TOBACCO SMOKE (n/%) | 7 (15.2) | 8 (38.1) | 0.077 |
| SpO2 < 95 (episodes, n/%) | 0.324 | ||
| 0 | 28 (62.2) | 17 (81) | |
| 1 | 5 (11.1) | 2 (9.5) | |
| 2 | 4 (8.9) | 1 (4.8) | |
| 3 | 4 (8.9) | 0 (0.0) | |
| 4 | 2 (4.4) | 0 (0.0) | |
| 5 | 2 (4.4) | 0 (0.0) | |
| 6 | 0 (0.0) | 1 (4.8) | |
| SpO2 < 92 (episodes, n/%) | 0.331 | ||
| 1 | 38 (86.4) | 19 (90.5) | |
| 2 | 4 (9.1) | 1 (4.8) | |
| 3 | 2 (4.5) | 0 (0.0) | |
| 4 | 0 (0.0) | 1 (4.8) | |
| SpO2 < 95 continuous (mean ± SD) | 1.00 (1.62) | 0.52 (1.57) | 0.266 |
| SpO2 < 92 continuous (mean ± SD) | 0.18 (0.5) | 0.24 (0.89) | 0.744 |
Disclaimer/Publisher’s Note: The statements, opinions and data contained in all publications are solely those of the individual author(s) and contributor(s) and not of MDPI and/or the editor(s). MDPI and/or the editor(s) disclaim responsibility for any injury to people or property resulting from any ideas, methods, instructions or products referred to in the content. |
© 2024 by the authors. Licensee MDPI, Basel, Switzerland. This article is an open access article distributed under the terms and conditions of the Creative Commons Attribution (CC BY) license (https://creativecommons.org/licenses/by/4.0/).
Share and Cite
Recchia, A.; Cascella, M.; Copetti, M.; Barile, A.; Bignami, E.G.; D’Ecclesia, A.; Izzi, A.; Manuali, A.; Marchello, V.; Mincolelli, G.; et al. Assessing the Efficacy and Safety of Extubation Protocols in the Intensive Care Unit Following Transoral Robotic Surgery for Obstructive Sleep Apnea Syndrome: A Retrospective Cohort Study. J. Clin. Med. 2024, 13, 6786. https://doi.org/10.3390/jcm13226786
Recchia A, Cascella M, Copetti M, Barile A, Bignami EG, D’Ecclesia A, Izzi A, Manuali A, Marchello V, Mincolelli G, et al. Assessing the Efficacy and Safety of Extubation Protocols in the Intensive Care Unit Following Transoral Robotic Surgery for Obstructive Sleep Apnea Syndrome: A Retrospective Cohort Study. Journal of Clinical Medicine. 2024; 13(22):6786. https://doi.org/10.3390/jcm13226786
Chicago/Turabian StyleRecchia, Andreaserena, Marco Cascella, Massimiliano Copetti, Alessio Barile, Elena Giovanna Bignami, Aurelio D’Ecclesia, Antonio Izzi, Aldo Manuali, Vincenzo Marchello, Giuseppe Mincolelli, and et al. 2024. "Assessing the Efficacy and Safety of Extubation Protocols in the Intensive Care Unit Following Transoral Robotic Surgery for Obstructive Sleep Apnea Syndrome: A Retrospective Cohort Study" Journal of Clinical Medicine 13, no. 22: 6786. https://doi.org/10.3390/jcm13226786
APA StyleRecchia, A., Cascella, M., Copetti, M., Barile, A., Bignami, E. G., D’Ecclesia, A., Izzi, A., Manuali, A., Marchello, V., Mincolelli, G., & Del Gaudio, A. (2024). Assessing the Efficacy and Safety of Extubation Protocols in the Intensive Care Unit Following Transoral Robotic Surgery for Obstructive Sleep Apnea Syndrome: A Retrospective Cohort Study. Journal of Clinical Medicine, 13(22), 6786. https://doi.org/10.3390/jcm13226786

