German Real-World Experience of Patients with Diverse Features of Acute Intermittent Porphyria Treated with Givosiran
Abstract
1. Introduction
2. Patients and Methods
2.1. Enrolment and Assessment
2.2. Dosing
2.3. Data Collection
2.4. Objectives
2.5. Statistical Analysis
3. Results
3.1. General
Population
3.2. Biochemical Response
3.2.1. Three Months
3.2.2. Six Months
3.2.3. Patients’ Biochemical Response in Breakthrough Attacks
3.2.4. Biochemical Response to Givosiran Across Ipnet Clinical Disease Classification
3.3. Clinical Response
3.3.1. Clinical Outcome
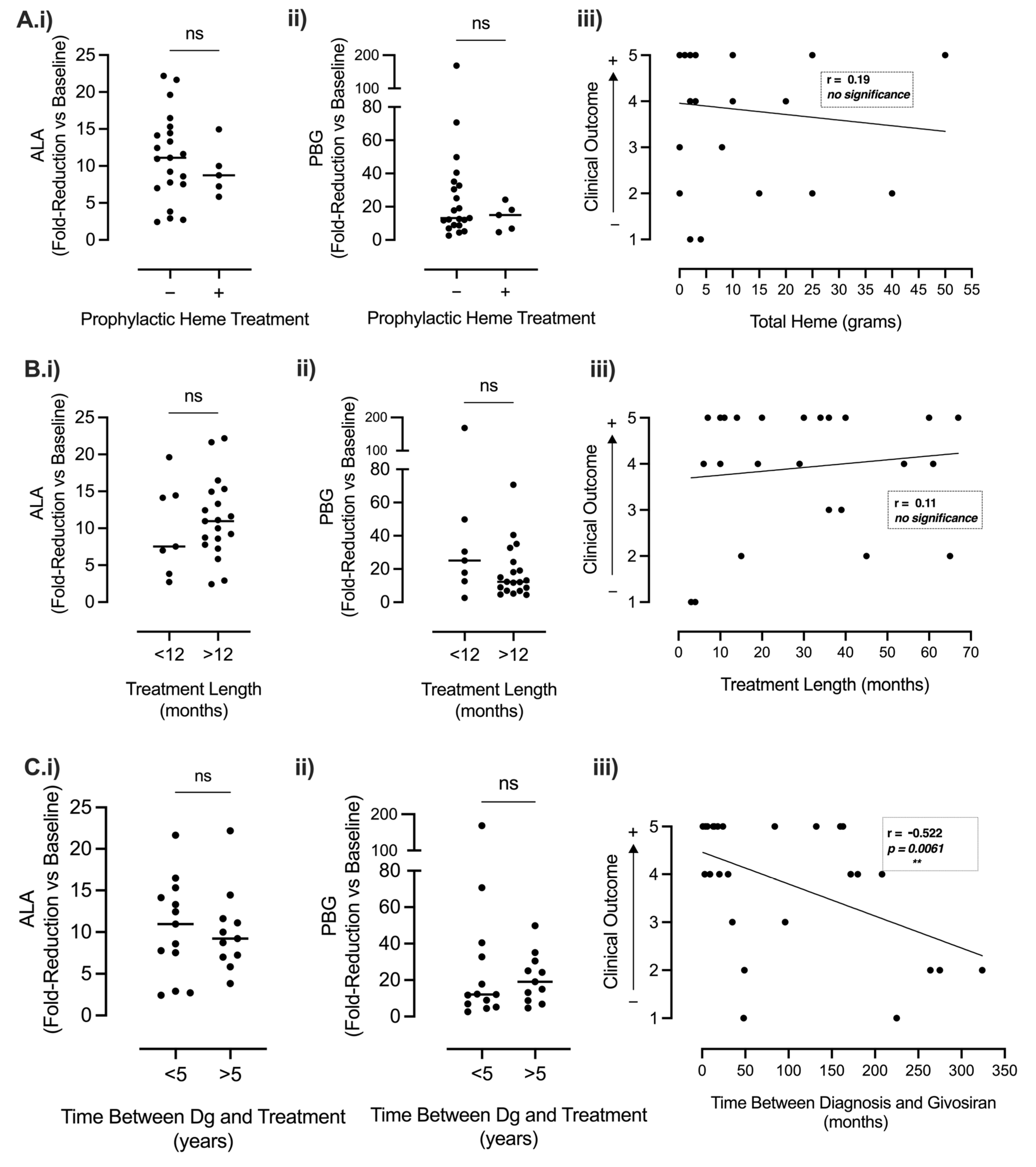
3.3.2. Factors Affecting Clinical Outcome
3.3.3. Patient vs. Physician Perception of Clinical Outcome
3.3.4. Quality of Life (QOL)
3.3.5. Health Scale Index
3.4. Safety
3.4.1. Side Effects
Adverse Events
4. Discussion
5. Conclusions
Supplementary Materials
Author Contributions
Funding
Institutional Review Board Statement
Informed Consent Statement
Data Availability Statement
Acknowledgments
Conflicts of Interest
References
- Wang, B.; Rudnick, S.; Cengia, B.; Bonkovsky, H.L. Acute Hepatic Porphyrias: Review and Recent Progress. Hepatol. Commun. 2019, 3, 193–206. [Google Scholar] [CrossRef] [PubMed]
- Buzzetti, E.; Ventura, P.; Corradini, E. Iron in Porphyrias: Friend or Foe? Diagnostics 2022, 12, 272. [Google Scholar] [CrossRef] [PubMed]
- Dayan, F.; Dayan, E. Porphyrins: One Ring in the Colors of Life. Am. Sci. 2011, 99, 236. [Google Scholar] [CrossRef]
- Besur, S.; Schmeltzer, P.; Bonkovsky, H.L. Acute Porphyrias. J. Emerg. Med. 2015, 49, 305–312. [Google Scholar] [CrossRef]
- Deybach, J.-C.; Badminton, M.; Puy, H.; Sandberg, S.; Frank, J.; Harper, P.; Martasek, P.; Minder, E.; Parker, S.; Thunell, S.; et al. European Porphyria Initiative (EPI): A Platform to Develop a Common Approach to the Management of Porphyrias and to Promote Research in the Field. Physiol. Res. 2006, 55, S67–S73. [Google Scholar] [CrossRef]
- Elder, G.; Harper, P.; Badminton, M.; Sandberg, S.; Deybach, J. The Incidence of Inherited Porphyrias in Europe. J. Inherit. Metab. Dis. 2013, 36, 849–857. [Google Scholar] [CrossRef]
- Bonkovsky, H.L.; Maddukuri, V.C.; Yazici, C.; Anderson, K.E.; Bissell, D.M.; Bloomer, J.R.; Phillips, J.D.; Naik, H.; Peter, I.; Baillargeon, G.; et al. Acute Porphyrias in the USA: Features of 108 Subjects from Porphyrias Consortium. Am. J. Med. 2014, 127, 1233–1241. [Google Scholar] [CrossRef]
- Dsnick, R.J.; Astrin, K.H. Congenital Erythropoietic Porphyria: Advances in Pathogenesis and Treatment. Br. J. Haematol. 2002, 117, 779–795. [Google Scholar] [CrossRef]
- Bissell, D.M.; Lai, J.C.; Meister, R.K.; Blanc, P.D. Role of Delta-Aminolevulinic Acid in the Symptoms of Acute Porphyria. Am. J. Med. 2014, 128, 313–317. [Google Scholar] [CrossRef]
- Ramanujam, V.S.; Anderson, K.E. Porphyria Diagnostics—Part 1: A Brief Overview of the Porphyrias. Curr. Protoc. Hum. Genet. 2015, 86, 17.20.1–17.20.26. [Google Scholar] [CrossRef]
- Emanuelli, T.; Pagel, F.W.; O Porciúncula, L.; O Souza, D. Effects of 5-Aminolevulinic Acid on the Glutamatergic Neurotransmission. Neurochem. Int. 2003, 42, 115–121. [Google Scholar] [CrossRef]
- Mehta, M.; Rath, G.P.; Padhy, U.P.; Marda, M.; Dash, H.H.; Mahajan, C. Intensive Care Management of Patients with Acute Intermittent Porphyria: Clinical Report of Four Cases and Review of Literature. Indian J. Crit. Care Med. 2010, 14, 88–91. [Google Scholar] [CrossRef]
- Ghadge, N.M.; Martinez, A.; Bass, M.; Winayak, R.; Mathew, M.; Amin, R.; Khan, M.; Kizilbash, N.; Kızılaslan, E.Z. Acute Intermittent Porphyria’s Symptoms and Management: A Narrative Review. Cureus 2023, 15, e36058. [Google Scholar] [CrossRef]
- Stölzel, U.; Doss, M.O.; Schuppan, D. Clinical Guide and Update on Porphyrias. Gastroenterology 2019, 157, 365–381.e4. [Google Scholar] [CrossRef]
- Innala, E.; Bäckström, T.; Bixo, M.; Andersson, C. Evaluation of Gonadotropin-releasing Hormone agonist Treatment for Prevention of Menstrual-related Attacks in Acute Porphyria. Acta Obstet. Gynecol. Scand. 2010, 89, 95–100. [Google Scholar] [CrossRef]
- Stein, P.; Badminton, M.; Barth, J.; Rees, D.; Stewart, M.F. Best Practice Guidelines on Clinical Management of Acute Attacks of Porphyria and Their Complications. Ann. Clin. Biochem. Int. J. Biochem. Lab. Med. 2013, 50, 217–223. [Google Scholar] [CrossRef]
- Grandchamp, B. Acute Intermittent Porphyria. Semin. Liver Dis. 1998, 18, 17–24. [Google Scholar] [CrossRef]
- Stein, P.E.; Edel, Y.; Mansour, R.; Mustafa, R.A.; Sandberg, S.; Members of the Acute Porphyria Expert Panel. Key Terms and Definitions in Acute Porphyrias: Results of an International Delphi Consensus Led by the European Porphyria Network. J. Inherit. Metab. Dis. 2023, 46, 662–674. [Google Scholar] [CrossRef]
- Stein, P.E.; Badminton, M.N.; Rees, D.C. Update Review of the Acute Porphyrias. Br. J. Haematol. 2017, 176, 527–538. [Google Scholar] [CrossRef]
- Kuo, H.-C.; Lin, C.-N.; Tang, Y.-F. Prophylactic Heme Arginate Infusion for Acute Intermittent Porphyria. Front. Pharmacol. 2021, 12, 712305. [Google Scholar] [CrossRef]
- Zhao, L.; Wang, X.; Zhang, X.; Liu, X.; Ma, N.; Zhang, Y.; Zhang, S. Therapeutic Strategies for Acute Intermittent Porphyria. Intractable Rare Dis. Res. 2020, 9, 205–216. [Google Scholar] [CrossRef]
- Schmitt, C.; Lenglet, H.; Yu, A.; Delaby, C.; Benecke, A.; Lefebvre, T.; Letteron, P.; Paradis, V.; Wahlin, S.; Sandberg, S.; et al. Recurrent Attacks of Acute Hepatic Porphyria: Major Role of the Chronic Inflammatory Response in the Liver. J. Intern. Med. 2018, 284, 78–91. [Google Scholar] [CrossRef]
- Singal, A.K.; Parker, C.; Bowden, C.; Thapar, M.; Liu, L.; McGuire, B.M. Liver Transplantation in the Management of Porphyria. Hepatology 2014, 60, 1082–1089. [Google Scholar] [CrossRef]
- Moghe, A.; Anderson, K.E. Expanding Experience With Liver Transplantation in Acute Intermittent Porphyria. Liver Transplant. 2021, 27, 477–478. [Google Scholar] [CrossRef] [PubMed]
- Balwani, M.; Sardh, E.; Ventura, P.; Peiró, P.A.; Rees, D.C.; Stölzel, U.; Bissell, D.M.; Bonkovsky, H.L.; Windyga, J.; Anderson, K.E.; et al. Phase 3 Trial of RNAi Therapeutic Givosiran for Acute Intermittent Porphyria. N. Engl. J. Med. 2020, 382, 2289–2301. [Google Scholar] [CrossRef] [PubMed]
- Sardh, E.; Harper, P.; Balwani, M.; Stein, P.; Rees, D.; Bissell, D.M.; Desnick, R.; Parker, C.; Phillips, J.; Bonkovsky, H.L.; et al. Phase 1 Trial of an RNA Interference Therapy for Acute Intermittent Porphyria. N. Engl. J. Med. 2019, 380, 549–558. [Google Scholar] [CrossRef]
- Setten, R.L.; Rossi, J.J.; Han, S.-P. The Current State and Future Directions of RNAi-Based Therapeutics. Nat. Rev. Drug Discov. 2019, 18, 421–446. [Google Scholar] [CrossRef]
- Nair, J.K.; Willoughby, J.L.S.; Chan, A.; Charisse, K.; Alam, R.; Wang, Q.; Hoekstra, M.; Kandasamy, P.; Kel’in, A.V.; Milstein, S.; et al. Multivalent N-Acetylgalactosamine-Conjugated siRNA Localizes in Hepatocytes and Elicits Robust RNAi-Mediated Gene Silencing. J. Am. Chem. Soc. 2014, 136, 16958–16961. [Google Scholar] [CrossRef]
- Kuter, D.J.; Bonkovsky, H.L.; Monroy, S.; Ross, G.; Guillén-Navarro, E.; Cappellini, M.D.; Minder, A.-E.; Hother-Nielsen, O.; Ventura, P.; Jia, G.; et al. Efficacy and Safety of Givosiran for Acute Hepatic Porphyria: Final Results of the Randomized Phase III ENVISION Trial. J. Hepatol. 2023, 79, 1150–1158. [Google Scholar] [CrossRef] [PubMed]
- Ventura, P.; Sardh, E.; Longo, N.; Balwani, M.; Plutzky, J.; Gouya, L.; Phillips, J.; Rhyee, S.; Fanelli, M.-J.; Sweetser, M.T.; et al. Hyperhomocysteinemia in Acute Hepatic Porphyria (AHP) and Implications for Treatment with Givosiran. Expert Rev. Gastroenterol. Hepatol. 2022, 16, 879–894. [Google Scholar] [CrossRef]
- Horie, Y.; Yasuoka, Y.; Adachi, T. Clinical Features of Acute Attacks, Chronic Symptoms, and Long-Term Complications among Patients with Acute Hepatic Porphyria in Japan: A Real-World Claims Database Study. Orphanet J. Rare Dis. 2023, 18, 384. [Google Scholar] [CrossRef]
- Majeed, C.N.; Ma, C.D.; Xiao, T.; Rudnick, S.; Bonkovsky, H.L. Spotlight on Givosiran as a Treatment Option for Adults with Acute Hepatic Porphyria: Design, Development, and Place in Therapy. Drug Des. Dev. Ther. 2022, 16, 1827–1845. [Google Scholar] [CrossRef]
- Buendía-Martínez, J.; Barreda-Sánchez, M.; Rodríguez-Peña, L.; Ballesta-Martínez, M.J.; López-González, V.; Sánchez-Soler, M.J.; Serrano-Antón, A.T.; Pérez-Tomás, M.E.; Gil-Ferrer, R.; Avilés-Plaza, F.; et al. Health Impact of Acute Intermittent Porphyria in Latent and Non-Recurrent Attacks Patients. Orphanet J. Rare Dis. 2021, 16, 106. [Google Scholar] [CrossRef]
- Wheeden, K.; Howe, D.L.; Burrell, S.; Gill, L.; Chamberlayne, J.; Williams, E.R.; Simon, A.; Ko, J.J.; Mora, J.; Wells, T.; et al. Patient Perspective on Acute Hepatic Porphyria with Sporadic Attacks: A Chronic Disease with Substantial Health-Related Quality of Life Impacts. Adv. Ther. 2022, 39, 4330–4345. [Google Scholar] [CrossRef]
- Gouya, L.; Ventura, P.; Balwani, M.; Bissell, D.M.; Rees, D.C.; Stölzel, U.; Phillips, J.D.; Kauppinen, R.; Langendonk, J.G.; Desnick, R.J.; et al. EXPLORE: A Prospective, Multinational, Natural History Study of Patients with Acute Hepatic Porphyria with Recurrent Attacks. Hepatology 2020, 71, 1546–1558. [Google Scholar] [CrossRef]
- Poli, A.; Schmitt, C.; Moulouel, B.; Mirmiran, A.; Talbi, N.; Rivière, S.; Cerutti, D.; Bouchoule, I.; Faivre, A.; Grobost, V.; et al. Givosiran in Acute Intermittent Porphyria: A Personalized Medicine Approach. Mol. Genet. Metab. 2022, 135, 206–214. [Google Scholar] [CrossRef]
- Di Pierro, E.; De Canio, M.; Mercadante, R.; Savino, M.; Granata, F.; Tavazzi, D.; Nicolli, A.M.; Trevisan, A.; Marchini, S.; Fustinoni, S. Laboratory Diagnosis of Porphyria. Diagnostics 2021, 11, 1343. [Google Scholar] [CrossRef]
- Wang, B.; Ventura, P.; Takase, K.-I.; Thapar, M.; Cassiman, D.; Kubisch, I.; Liu, S.; Sweetser, M.T.; Balwani, M. Disease Burden in Patients with Acute Hepatic Porphyria: Experience from the Phase 3 ENVISION Study. Orphanet J. Rare Dis. 2022, 17, 327. [Google Scholar] [CrossRef]
- Caffrey, A.R.; Borrelli, E.P. The Art and Science of Drug Titration. Ther. Adv. Drug Saf. 2020, 11, 204209862095891. [Google Scholar] [CrossRef]
- Salomone, F.; Di Costanzo, F.; Pecoraro, G.; Viscardi, G.; Viggiano, A.; Napolitano, F.; Santaniello, A.; Formisano, L.; Bianco, R.; Servetto, A. Health-Related Quality of Life Is Underestimated and Underreported in Phase III Clinical Trials in NSCLC. Lung Cancer 2022, 174, 36–44. [Google Scholar] [CrossRef]
- Moghe, A.; Dickey, A.; Erwin, A.; Leaf, R.K.; O’Brien, A.; Quigley, J.G.; Thapar, M.; Anderson, K.E. Acute Hepatic Porphyrias: Recommendations for Diagnosis and Management with Real-World Examples. Mol. Genet. Metab. 2023, 140, 107670. [Google Scholar] [CrossRef] [PubMed]
- Vassiliou, D.; Sardh, E. Homocysteine Elevation in Givosiran Treatment: Suggested ALAS1 siRNA Effect on Cystathionine Beta-Synthase. J. Intern. Med. 2021, 290, 928–930. [Google Scholar] [CrossRef] [PubMed]
- Sardh, E.; Harper, P. RNAi therapy with Givosiran Significantly Reduces Attack Rates in Acute Intermittent Porphyria. J. Intern. Med. 2022, 291, 593–610. [Google Scholar] [CrossRef] [PubMed]
- Syed, Y.Y. Givosiran: A Review in Acute Hepatic Porphyria. Drugs 2021, 81, 841–848. [Google Scholar] [CrossRef]
- Massachi, S.; Epstein, J.; Hurd, J.; Bonkovsky, H.L. Cost Savings with Hemin Versus Givosiran for the Treatment of Patients with Acute Intermittent Porphyria (AIP). J. Med. Econ. 2020, 23, 1441–1449. [Google Scholar] [CrossRef]
- Michielsen, H.; De Vries, J.; Heck, G. Psychometric qualities of a brief self-rated fatigue measure: The Fatigue Assessment Scale. J. Psychosom. Res. 2003, 54, 345–352. [Google Scholar] [CrossRef]








| Total patient number | n = 28 |
| Age (mean ± SD) | 42.7 years (±14.8) |
| Sex | 23f:5m |
| Porphyria classification | 100% AIP, with heterogenous mutations |
| Duration between diagnosis and givosiran treatment, mean (range): | 110.9 months (1–324) |
| Duration of givosiran treatment, mean (range): | 30 months (3–67) |
| Classification (according to Ipnet defined terms) | |
| Sporadic Attacks—Group 1 | n = 13 (46.4.%) |
| Symptomatic High Excreter—Group 2 | n = 5 (17.9%) |
| Prophylactic Heme—Group 3 | n = 5 (17.9%) |
| Recurrent attacks—Group 4 | n = 5 (17.9%) |
| Treatment administered, prior to givosiran: | |
| Glucose | n = 28 (100%) |
| Heme (acute) | n = 26 (92.8%) |
| Heme (prophylactic) | n = 6 (21.4%) |
| GnRH | n = 1 (3.6%) |
| Opioids | n = 8 (28.6%) |
| Side Effects and Adverse Events (AE) | Patients % (n = 26) |
|---|---|
| Decreased renal function | 30.7 (8) |
| GFR < 30 mL/min | 11.5 (3) |
| Renal failure | 0 |
| Muscular cramps | 38 (10) |
| Nausea | 27 (7) |
| Pancreatitis | 0 |
| Vascular events | 3.8 (1) |
| Liver enzyme elevation < 1.5 ULN | 15.4 (4) |
| Liver enzyme elevation > 1.5 ULN | 7.7 (2) |
| Homocysteinemia | 100 (26) |
Disclaimer/Publisher’s Note: The statements, opinions and data contained in all publications are solely those of the individual author(s) and contributor(s) and not of MDPI and/or the editor(s). MDPI and/or the editor(s) disclaim responsibility for any injury to people or property resulting from any ideas, methods, instructions or products referred to in the content. |
© 2024 by the authors. Licensee MDPI, Basel, Switzerland. This article is an open access article distributed under the terms and conditions of the Creative Commons Attribution (CC BY) license (https://creativecommons.org/licenses/by/4.0/).
Share and Cite
Kubisch, I.; Wohmann, N.; Wissniowski, T.T.; Stauch, T.; Oettel, L.; Diehl-Wiesenecker, E.; Somasundaram, R.; Stölzel, U. German Real-World Experience of Patients with Diverse Features of Acute Intermittent Porphyria Treated with Givosiran. J. Clin. Med. 2024, 13, 6779. https://doi.org/10.3390/jcm13226779
Kubisch I, Wohmann N, Wissniowski TT, Stauch T, Oettel L, Diehl-Wiesenecker E, Somasundaram R, Stölzel U. German Real-World Experience of Patients with Diverse Features of Acute Intermittent Porphyria Treated with Givosiran. Journal of Clinical Medicine. 2024; 13(22):6779. https://doi.org/10.3390/jcm13226779
Chicago/Turabian StyleKubisch, Ilja, Nils Wohmann, Thaddäus Till Wissniowski, Thomas Stauch, Lucienne Oettel, Eva Diehl-Wiesenecker, Rajan Somasundaram, and Ulrich Stölzel. 2024. "German Real-World Experience of Patients with Diverse Features of Acute Intermittent Porphyria Treated with Givosiran" Journal of Clinical Medicine 13, no. 22: 6779. https://doi.org/10.3390/jcm13226779
APA StyleKubisch, I., Wohmann, N., Wissniowski, T. T., Stauch, T., Oettel, L., Diehl-Wiesenecker, E., Somasundaram, R., & Stölzel, U. (2024). German Real-World Experience of Patients with Diverse Features of Acute Intermittent Porphyria Treated with Givosiran. Journal of Clinical Medicine, 13(22), 6779. https://doi.org/10.3390/jcm13226779

