Outcomes of Bridging Therapy in Liver Transplantation for Hepatocellular Carcinoma
Abstract
1. Introduction
2. Materials and Methods
2.1. Study Design
2.2. Study End Points
2.3. Data Collection and Statistical Methods
3. Results
4. Discussion
5. Conclusions
Author Contributions
Funding
Institutional Review Board Statement
Informed Consent Statement
Data Availability Statement
Conflicts of Interest
Appendix A
Appendix A.1. Patient 1, Group A
Appendix A.2. Patient 2, Group A
Appendix A.3. Patient 1, Group B
Appendix A.4. Patient 2, Group B
References
- Sung, H.; Ferlay, J.; Siegel, R.L.; Laversanne, M.; Soerjomataram, I.; Jemal, A.; Bray, F. Global Cancer Statistics 2020: GLOBOCAN Estimates of Incidence and Mortality Worldwide for 36 Cancers in 185 Countries. CA Cancer J. Clin. 2021, 71, 209–249. [Google Scholar] [CrossRef] [PubMed]
- Liu, Y.; Liu, L. Changes in the Epidemiology of Hepatocellular Carcinoma in Asia. Cancers 2022, 14, 4473. [Google Scholar] [CrossRef]
- Markakis, G.E.; Koulouris, A.; Tampaki, M.; Cholongitas, E.; Deutsch, M.; Papatheodoridis, G.V.; Koskinas, J. The changing epidemiology of hepatocellular carcinoma in Greece. Ann. Gastroenterol. 2022, 35, 88–94. [Google Scholar] [CrossRef]
- Mazzaferro, V.; Regalia, E.; Doci, R.; Andreola, S.; Pulvirenti, A.; Bozzetti, F.; Montalto, F.; Ammatuna, M.; Morabito, A.; Gennari, L. Liver transplantation for the treatment of small hepatocellular carcinomas in patients with cirrhosis. N. Engl. J. Med. 1996, 334, 693–699. [Google Scholar] [CrossRef]
- Mazzaferro, V.; Bhoori, S.; Sposito, C.; Bongini, M.; Langer, M.; Miceli, R.; Mariani, L. Milan criteria in liver transplantation for hepatocellular carcinoma: An evidence-based analysis of 15 years of experience. Liver Transplant. 2011, 17 (Suppl. S2), S44–S57. [Google Scholar] [CrossRef]
- Di Martino, M.; Ferraro, D.; Pisaniello, D.; Arenga, G.; Falaschi, F.; Terrone, A.; Maniscalco, M.; Galeota Lanza, A.; Esposito, C.; Vennarecci, G. Bridging therapies for patients with hepatocellular carcinoma awaiting liver transplantation: A systematic review and meta-analysis on intention-to-treat outcomes. J. Hepato-Biliary-Pancreat. Sci. 2023, 30, 429–438. [Google Scholar] [CrossRef]
- Bruix, J.; Sherman, M.; Llovet, J.M.; Beaugrand, M.; Lencioni, R.; Burroughs, A.K.; Christensen, E.; Pagliaro, L.; Colombo, M.; Rodés, J. Clinical management of hepatocellular carcinoma. Conclusions of the Barcelona-2000 EASL conference. European Association for the Study of the Liver. J. Hepatol. 2001, 35, 421–430. [Google Scholar] [CrossRef] [PubMed]
- Mazzaferro, V.; Sposito, C.; Zhou, J.; Pinna, A.D.; De Carlis, L.; Fan, J.; Cescon, M.; Di Sandro, S.; Yi-Feng, H.; Lauterio, A.; et al. Metroticket 2.0 Model for Analysis of Competing Risks of Death After Liver Transplantation for Hepatocellular Carcinoma. Gastroenterology 2018, 154, 128–139. [Google Scholar] [CrossRef] [PubMed]
- Lencioni, R.; Llovet, J.M. Modified RECIST (mRECIST) assessment for hepatocellular carcinoma. Semin. Liver Dis. 2010, 30, 52–60. [Google Scholar] [CrossRef]
- Kulik, L.; Heimbach, J.K.; Zaiem, F.; Almasri, J.; Prokop, L.J.; Wang, Z.; Murad, M.H.; Mohammed, K. Therapies for patients with hepatocellular carcinoma awaiting liver transplantation: A systematic review and meta-analysis. Hepatology 2018, 67, 381–400. [Google Scholar] [CrossRef]
- Pommergaard, H.C.; Rostved, A.A.; Adam, R.; Thygesen, L.C.; Salizzoni, M.; Gómez Bravo, M.A.; Cherqui, D.; De Simone, P.; Boudjema, K.; Mazzaferro, V.; et al. Locoregional treatments before liver transplantation for hepatocellular carcinoma: A study from the European Liver Transplant Registry. Transpl. Int. 2018, 31, 531–539. [Google Scholar] [CrossRef] [PubMed]
- DiNorcia, J.; Florman, S.S.; Haydel, B.; Tabrizian, P.; Ruiz, R.M.; Klintmalm, G.B.; Senguttuvan, S.; Lee, D.D.; Taner, C.B.; Verna, E.C.; et al. Pathologic Response to Pretransplant Locoregional Therapy is Predictive of Patient Outcome After Liver Transplantation for Hepatocellular Carcinoma: Analysis From the US Multicenter HCC Transplant Consortium. Ann. Surg. 2020, 271, 616–624. [Google Scholar] [CrossRef] [PubMed]
- Agopian, V.G.; Harlander-Locke, M.P.; Ruiz, R.M.; Klintmalm, G.B.; Senguttuvan, S.; Florman, S.S.; Haydel, B.; Hoteit, M.; Levine, M.H.; Lee, D.D.; et al. Impact of Pretransplant Bridging Locoregional Therapy for Patients With Hepatocellular Carcinoma Within Milan Criteria Undergoing Liver Transplantation: Analysis of 3601 Patients From the US Multicenter HCC Transplant Consortium. Ann. Surg. 2017, 266, 525–535. [Google Scholar] [CrossRef] [PubMed]
- Morris, P.D.; Laurence, J.M.; Yeo, D.; Crawford, M.; Strasser, S.I.; McCaughan, G.W.; Sandroussi, C. Can response to locoregional therapy help predict longterm survival after liver transplantation for hepatocellular carcinoma? A systematic review. Liver Transplant. 2017, 23, 375–385. [Google Scholar] [CrossRef]
- Nicolini, D.; Agostini, A.; Montalti, R.; Mocchegiani, F.; Mincarelli, C.; Mandolesi, A.; Robertson, N.L.; Candelari, R.; Giovagnoni, A.; Vivarelli, M. Radiological response and inflammation scores predict tumour recurrence in patients treated with transarterial chemoembolization before liver transplantation. World J. Gastroenterol. 2017, 23, 3690–3701. [Google Scholar] [CrossRef]
- Grąt, M.; Krawczyk, M.; Stypułkowski, J.; Morawski, M.; Krasnodębski, M.; Wasilewicz, M.; Lewandowski, Z.; Grąt, K.; Patkowski, W.; Zieniewicz, K. Prognostic Relevance of a Complete Pathologic Response in Liver Transplantation for Hepatocellular Carcinoma. Ann. Surg. Oncol. 2019, 26, 4556–4565. [Google Scholar] [CrossRef]
- Lee, D.D.; Samoylova, M.; Mehta, N.; Musto, K.R.; Roberts, J.P.; Yao, F.Y.; Harnois, D.M. The mRECIST Classification Provides Insight into Tumor Biology for Patients With Hepatocellular Carcinoma Awaiting Liver Transplantation. Liver Transplant. 2019, 25, 228–241. [Google Scholar] [CrossRef]
- Xu, M.; Doyle, M.M.; Banan, B.; Vachharajani, N.; Wang, X.; Saad, N.; Fowler, K.; Brunt, E.M.; Lin, Y.; Chapman, W.C. Neoadjuvant Locoregional Therapy and Recurrent Hepatocellular Carcinoma after Liver Transplantation. J. Am. Coll. Surg. 2017, 225, 28–40. [Google Scholar] [CrossRef]
- Ramanathan, R.; Sharma, A.; Lee, D.D.; Behnke, M.; Bornstein, K.; Stravitz, R.T.; Sydnor, M.; Fulcher, A.; Cotterell, A.; Posner, M.P.; et al. Multimodality therapy and liver transplantation for hepatocellular carcinoma: A 14-year prospective analysis of outcomes. Transplantation 2014, 98, 100–106. [Google Scholar] [CrossRef]
- Claasen, M.; Sneiders, D.; Rakké, Y.S.; Adam, R.; Bhoori, S.; Cillo, U.; Fondevila, C.; Reig, M.; Sapisochin, G.; Tabrizian, P.; et al. European Society of Organ Transplantation (ESOT) Consensus Report on Downstaging, Bridging and Immunotherapy in Liver Transplantation for Hepatocellular Carcinoma. Transpl. Int. 2023, 36, 11648. [Google Scholar] [CrossRef]
- Lamarque, C.; Segaux, L.; Bachellier, P.; Buchard, B.; Chermak, F.; Conti, F.; Decaens, T.; Dharancy, S.; Di Martino, V.; Dumortier, J.; et al. Evaluation of a delayed liver transplantation strategy for patients with HCC receiving bridging therapy: The DELTA-HCC study. J. Hepatol. 2024, 81, 278–288. [Google Scholar] [CrossRef] [PubMed]
- Butcher, D.A.; Brandis, K.J.; Wang, H.; Spannenburg, L.; Bridle, K.R.; Crawford, D.H.; Liang, X. Long-term survival and postoperative complications of pre-liver transplantation transarterial chemoembolisation in hepatocellular carcinoma: A systematic review and meta-analysis. Eur. J. Surg. Oncol. 2022, 48, 621–631. [Google Scholar] [CrossRef] [PubMed]
- Kostakis, I.D.; Dimitrokallis, N.; Iype, S. Bridging locoregional treatment prior to liver transplantation for cirrhotic patients with hepatocellular carcinoma within the Milan criteria: A systematic review and meta-analysis. Ann. Gastroenterol. 2023, 36, 449–458. [Google Scholar] [CrossRef]
- Crocetti, L.; Bozzi, E.; Scalise, P.; Bargellini, I.; Lorenzoni, G.; Ghinolfi, D.; Campani, D.; Balzano, E.; De Simone, P.; Cioni, R. Locoregional Treatments for Bridging and Downstaging HCC to Liver Transplantation. Cancers 2021, 13, 5558. [Google Scholar] [CrossRef]
- Clavien, P.A.; Lesurtel, M.; Bossuyt, P.M.; Gores, G.J.; Langer, B.; Perrier, A. Recommendations for liver transplantation for hepatocellular carcinoma: An international consensus conference report. Lancet Oncol. 2012, 13, e11–e22. [Google Scholar] [CrossRef] [PubMed]
- European Association for the Study of the Liver. EASL Clinical Practice Guidelines: Management of hepatocellular carcinoma. J. Hepatol. 2018, 69, 182–236. [Google Scholar] [CrossRef]
- Ogawa, K.; Takada, Y. Role of Pretransplant Treatments for Patients with Hepatocellular Carcinoma Waiting for Liver Transplantation. Cancers 2022, 14, 396. [Google Scholar] [CrossRef] [PubMed]
- Calderaro, J.; Ziol, M.; Paradis, V.; Zucman-Rossi, J. Molecular and histological correlations in liver cancer. J. Hepatol. 2019, 71, 616–630. [Google Scholar] [CrossRef]
- Seehofer, D.; Nebrig, M.; Denecke, T.; Kroencke, T.; Weichert, W.; Stockmann, M.; Somasundaram, R.; Schott, E.; Puhl, G.; Neuhaus, P. Impact of neoadjuvant transarterial chemoembolization on tumor recurrence and patient survival after liver transplantation for hepatocellular carcinoma: A retrospective analysis. Clin. Transplant. 2012, 26, 764–774. [Google Scholar] [CrossRef]
- Cannon, R.M.; Bolus, D.N.; White, J.A. Irreversible Electroporation as a Bridge to Liver Transplantation. Am. Surg. 2019, 85, 103–110. [Google Scholar] [CrossRef]
- Lai, Q.; Vitale, A.; Iesari, S.; Finkenstedt, A.; Mennini, G.; Onali, S.; Hoppe-Lotichius, M.; Manzia, T.M.; Nicolini, D.; Avolio, A.W.; et al. The Intention-to-Treat Effect of Bridging Treatments in the Setting of Milan Criteria-In Patients Waiting for Liver Transplantation. Liver Transplant. 2019, 25, 1023–1033. [Google Scholar] [CrossRef] [PubMed]
- Hoffmann, K.; Ganten, T.; Gotthardtp, D.; Radeleff, B.; Settmacher, U.; Kollmar, O.; Nadalin, S.; Karapanagiotou-Schenkel, I.; von Kalle, C.; Jäger, D.; et al. Impact of neo-adjuvant Sorafenib treatment on liver transplantation in HCC patients—A prospective, randomized, double-blind, phase III trial. BMC Cancer 2015, 15, 392. [Google Scholar] [CrossRef] [PubMed]
- Facciorusso, A.; Abd El Aziz, M.A.; Sacco, R. Efficacy of Regorafenib in Hepatocellular Carcinoma Patients: A Systematic Review and Meta-Analysis. Cancers 2019, 12, 36. [Google Scholar] [CrossRef] [PubMed]
- Liu, Z.; Fu, Z.; Li, G.; Lin, D. Downstaging of Recurrent Advanced Hepatocellular Carcinoma After Lenvatinib Treatment: Opportunities or Pitfalls? A Case Report. OncoTargets Ther. 2020, 13, 10267–10273. [Google Scholar] [CrossRef] [PubMed]
- Facciorusso, A.; Tartaglia, N.; Villani, R.; Serviddio, G.; Ramai, D.; Mohan, B.P.; Chandan, S.; Abd El Aziz, M.A.; Evangelista, J.; Cotsoglou, C.; et al. Lenvatinib versus sorafenib as first-line therapy of advanced hepatocellular carcinoma: A systematic review and meta-analysis. Am. J. Transl. Res. 2021, 13, 2379–2387. [Google Scholar]
- Golse, N.; Radenne, S.; Rode, A.; Ducerf, C.; Mabrut, J.-Y.; Merle, P. Liver transplantation after neoadjuvant sorafenib therapy: Preliminary experience and literature review. Exp. Clin. Transplant. 2018, 16, 227–236. [Google Scholar]
- Saleh, Y.; Abu Hejleh, T.; Abdelrahim, M.; Shamseddine, A.; Chehade, L.; Alawabdeh, T.; Mohamad, I.; Sammour, M.; Turfa, R. Hepatocellular Carcinoma: The Evolving Role of Systemic Therapies as a Bridging Treatment to Liver Transplantation. Cancers 2024, 16, 2081. [Google Scholar] [CrossRef]




| PICO | Description |
|---|---|
| Patient | Patients undergoing bridging locoregional treatment before liver transplantation due to hepatocellular carcinoma within Milan criteria. |
| Intervention | Locoregional treatment (radiofrequency ablation or/and transarterial chemoembolization) for hepatocellular carcinoma as a bridge to liver transplantation. |
| Comparison | Patients within Milan criteria without bridging locoregional treatment prior to liver transplantation. |
| Outcome | Metroticket 2.0 score, percentage of tumor necrosis, overall survival, recurrence-free survival. |
| Patient Characteristics | Group A (n = 10) | Group B (n = 11) | p Value |
|---|---|---|---|
| Sex M/F No. | 7/3 | 11/0 | 0.0902 |
| Age, median (IQR 1), years | 60.5 (53.5–64.0) | 57 (49.5–61.0) | 0.7316 |
| Primary liver disease: HCV 2 cirrhosis/HBV 3 cirrhosis/Mixed viral cirrhosis/Alcoholic cirrhosis/Other | 5/1/3/0/1 | 1/4/1/5/0 | - |
| Metroticket 2.0 score (%), median (IQR) | 75.9 (73.15–77.48) | 86.6 (81.35–87.60) | <0.0001 |
| MELD 4 score, median (IQR) | 9.5 (8.0–11.75) | 12 (10.0–17.50) | 0.0665 |
| Child-Pugh score, median (IQR) | 5.5 (5.0–6.75) | 9 (6.0–9.0) | 0.0737 |
| Charlson Comorbidity Index, median (IQR) | 6 (5.25–6.0) | 7 (5.0–7.5) | 0.7125 |
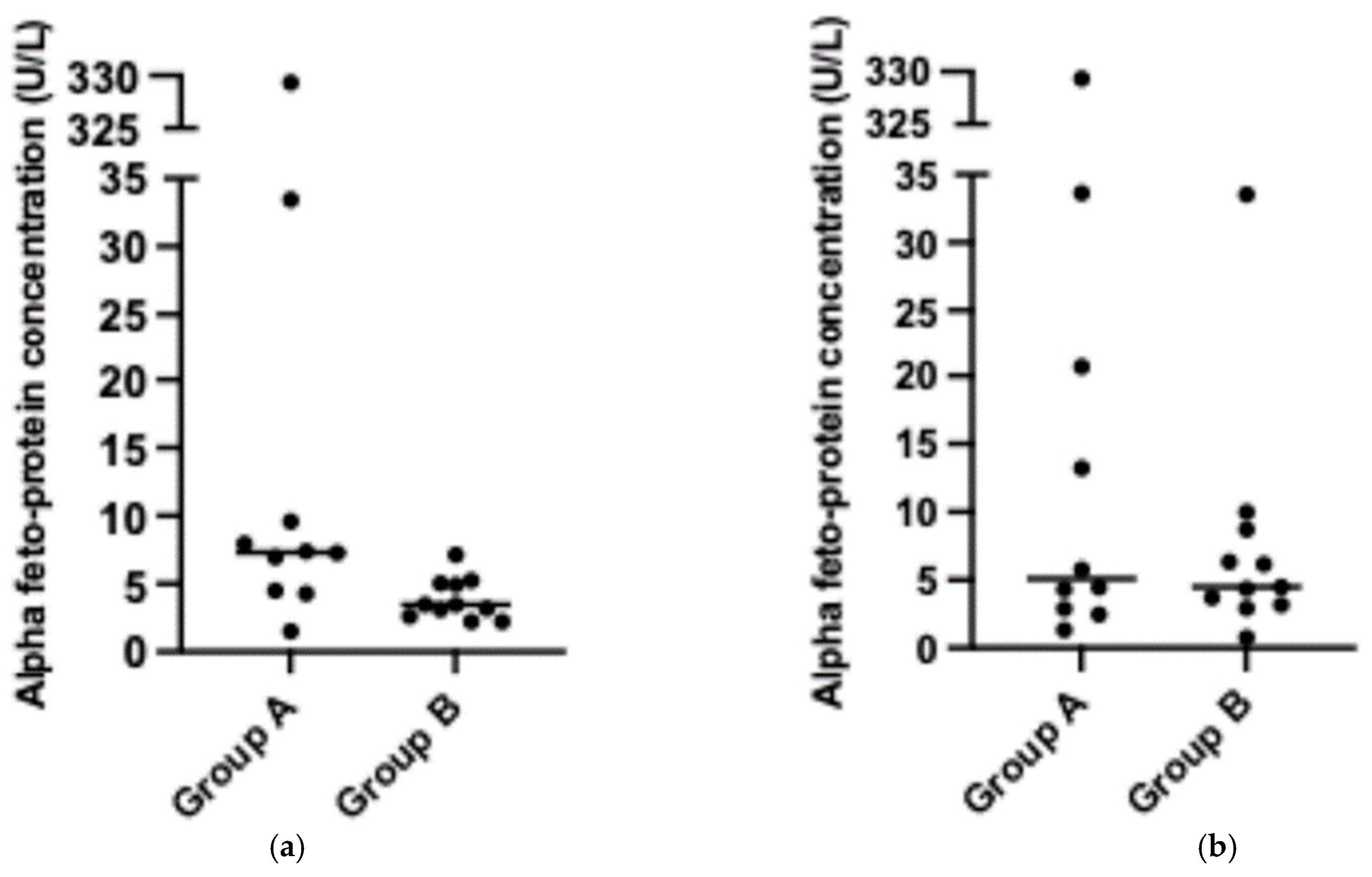
| AFP 5 concentration (U/L), median (IQR) | 7.33 (5.11–9.18) | 3.46 (2.86–5.0) | 0.012 |
| Transplantation waiting time (days), median (IQR) | 115.5 (41.75–139.75) | 116 (41.0–300.0) | 0.4679 |
| Primary number of tumors, median (IQR) | 1 (1–2) | 1 (0–1) | 0.0708 |
| Primary size of tumors (mm), median (IQR) | 17.5 (11.75–27.5) | 8 (0–16.0) | 0.0197 |
| Outcome | Group A (n = 10) | Group B (n = 11) | p Value |
|---|---|---|---|
| At-transplant Metroticket 2.0 score (%), median (IQR 1) | 81.7 (76.28–86.48) | 85.4 (80.25–86.55) | 0.4340 |
| At-transplant MELD 2 score, median (IQR) | 9.5 (8.25–11.75) | 10 (9.5–13.0) | 0.3367 |
| At-transplant Child-Pugh Score, median (IQR) | 5.5 (5.0–7.0) | 6 (5.0–9.0) | 0.4414 |
| At-transplant AFP 3 concentration (U/L), median (IQR) | 5.10 (3.26–18.81) | 4.48 (3.45–7.53) | 0.7564 |
| Outcome | Group A (n = 10) | Group B (n = 11) | p Value |
|---|---|---|---|
| Explant Metroticket 2.0 score (%), median (IQR 1) | 69.9 (53.5–70.5) | 76.5 (73.2–76.9) | 0.0036 |
| Explant number of tumors, median (IQR) | 1.5 (0.25–2) | 1 (1.0–2.5) | 0.6415 |
| Explant size of tumors (mm), median (IQR) | 31 (7–40) | 20 (16–25) | 0.2430 |
| Explant tumor grade: I/II/III/IV | 1/6/0/0 | 2/7/2/0 | - |
| Microvascular invasion: yes/no | 3/4 | 1/10 | 0.2451 |
| Number of total necrotic tumors (%) | 3 (30.0%) | - | - |
| Necrosis percentage in tumors (%), median (IQR) | 90 (42.5–100) | - | - |
| Milan criteria: within/outside | 5/5 | 10/1 | 0.0635 |
Disclaimer/Publisher’s Note: The statements, opinions and data contained in all publications are solely those of the individual author(s) and contributor(s) and not of MDPI and/or the editor(s). MDPI and/or the editor(s) disclaim responsibility for any injury to people or property resulting from any ideas, methods, instructions or products referred to in the content. |
© 2024 by the authors. Licensee MDPI, Basel, Switzerland. This article is an open access article distributed under the terms and conditions of the Creative Commons Attribution (CC BY) license (https://creativecommons.org/licenses/by/4.0/).
Share and Cite
Remiszewski, P.; Topolewski, P.; Łaski, D.; Drobińska, A. Outcomes of Bridging Therapy in Liver Transplantation for Hepatocellular Carcinoma. J. Clin. Med. 2024, 13, 6633. https://doi.org/10.3390/jcm13226633
Remiszewski P, Topolewski P, Łaski D, Drobińska A. Outcomes of Bridging Therapy in Liver Transplantation for Hepatocellular Carcinoma. Journal of Clinical Medicine. 2024; 13(22):6633. https://doi.org/10.3390/jcm13226633
Chicago/Turabian StyleRemiszewski, Piotr, Paweł Topolewski, Dariusz Łaski, and Anna Drobińska. 2024. "Outcomes of Bridging Therapy in Liver Transplantation for Hepatocellular Carcinoma" Journal of Clinical Medicine 13, no. 22: 6633. https://doi.org/10.3390/jcm13226633
APA StyleRemiszewski, P., Topolewski, P., Łaski, D., & Drobińska, A. (2024). Outcomes of Bridging Therapy in Liver Transplantation for Hepatocellular Carcinoma. Journal of Clinical Medicine, 13(22), 6633. https://doi.org/10.3390/jcm13226633

